Monolayer SnI2: An Excellent p-Type Thermoelectric Material with Ultralow Lattice Thermal Conductivity
Abstract
:1. Introduction
2. Computational Methods
3. Results and Discussion
3.1. Geometry and Electronic Structure
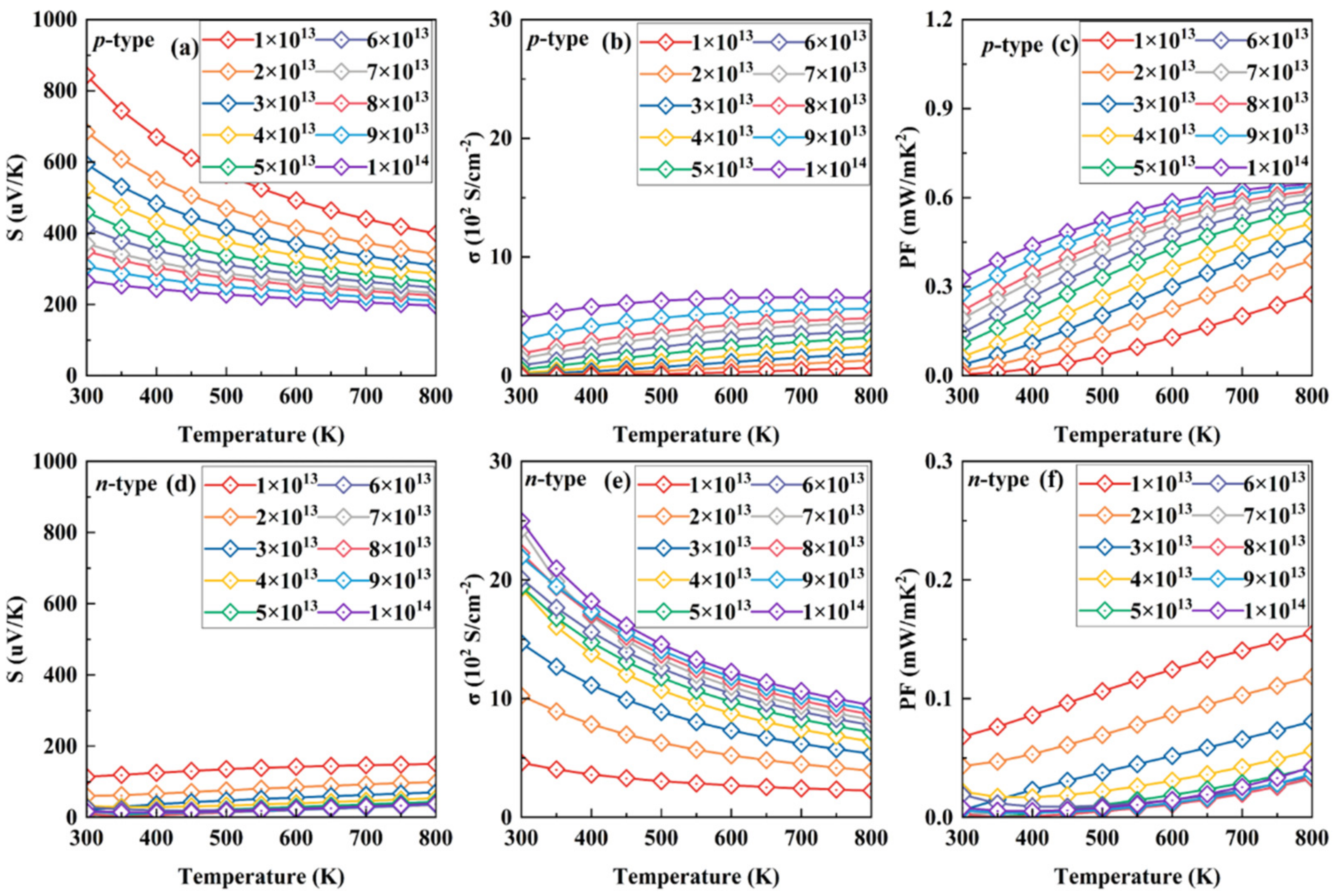
3.2. Electronic Transport Properties
3.3. Phonon Transport Properties
3.4. Thermoelectric Figure of Merit
4. Conclusions
Supplementary Materials
Author Contributions
Funding
Institutional Review Board Statement
Informed Consent Statement
Data Availability Statement
Conflicts of Interest
References
- Pei, Y.; Shi, X.; LaLonde, A.; Wang, H.; Chen, L.; Snyder, G.J. Convergence of electronic bands for high performance bulk thermoelectrics. Nature 2011, 473, 66–69. [Google Scholar] [CrossRef] [PubMed]
- Tan, G.; Zhao, L.D.; Kanatzidis, M.G. Rationally Designing High-Performance Bulk Thermoelectric Materials. Chem. Rev. 2016, 116, 12123–12149. [Google Scholar] [CrossRef] [PubMed]
- Zhao, L.D.; Tan, G.; Hao, S.; He, J.; Pei, Y.; Chi, H.; Wang, H.; Gong, S.; Xu, H.; Dravid, V.P.; et al. Ultrahigh power factor and thermoelectric performance in hole-doped single-crystal SnSe. Science 2016, 351, 141–144. [Google Scholar] [CrossRef] [PubMed] [Green Version]
- Zhang, X.; Zhao, L.-D. Thermoelectric materials: Energy conversion between heat and electricity. J. Mater. 2015, 1, 92–105. [Google Scholar] [CrossRef] [Green Version]
- Zhao, L.D.; Chang, C.; Tan, G.J.; Kanatzidis, M.G. SnSe: A remarkable new thermoelectric material. Energy Environ. Sci. 2016, 9, 3044–3060. [Google Scholar] [CrossRef]
- Zhao, L.D.; He, J.; Wu, C.I.; Hogan, T.P.; Zhou, X.; Uher, C.; Dravid, V.P.; Kanatzidis, M.G. Thermoelectrics with earth abundant elements: High performance p-type PbS nanostructured with SrS and CaS. J. Am. Chem. Soc. 2012, 134, 7902–7912. [Google Scholar] [CrossRef]
- Zhao, L.D.; Wu, H.J.; Hao, S.Q.; Wu, C.I.; Zhou, X.Y.; Biswas, K.; He, J.Q.; Hogan, T.P.; Uher, C.; Wolverton, C.; et al. All-scale hierarchical thermoelectrics: MgTe in PbTe facilitates valence band convergence and suppresses bipolar thermal transport for high performance. Energy Environ. Sci. 2013, 6, 3346–3355. [Google Scholar] [CrossRef]
- Pei, Y.Z.; May, A.F.; Snyder, G.J. Self-Tuning the Carrier Concentration of PbTe/Ag2Te Composites with Excess Ag for High Thermoelectric Performance. Adv. Energy Mater. 2011, 1, 291–296. [Google Scholar] [CrossRef]
- Zebarjadi, M.; Joshi, G.; Zhu, G.; Yu, B.; Minnich, A.; Lan, Y.; Wang, X.; Dresselhaus, M.; Ren, Z.; Chen, G. Power factor enhancement by modulation doping in bulk nanocomposites. Nano Lett. 2011, 11, 2225–2230. [Google Scholar] [CrossRef]
- Shi, X.; Yang, J.; Salvador, J.R.; Chi, M.; Cho, J.Y.; Wang, H.; Bai, S.; Yang, J.; Zhang, W.; Chen, L. Multiple-filled skutterudites: High thermoelectric figure of merit through separately optimizing electrical and thermal transports. J. Am. Chem. Soc. 2011, 133, 7837–7846. [Google Scholar] [CrossRef]
- Zhang, Y.; Skoug, E.; Cain, J.; Ozoliņš, V.; Morelli, D.; Wolverton, C. First-principles description of anomalously low lattice thermal conductivity in thermoelectric Cu-Sb-Se ternary semiconductors. Phys. Rev. B 2012, 85, 054306. [Google Scholar] [CrossRef] [Green Version]
- Liu, P.-F.; Bo, T.; Xu, J.; Yin, W.; Zhang, J.; Wang, F.; Eriksson, O.; Wang, B.-T. First-principles calculations of the ultralow thermal conductivity in two-dimensional group-IV selenides. Phys. Rev. B 2018, 98, 235426. [Google Scholar] [CrossRef]
- Guo, R.Q.; Wang, X.J.; Kuang, Y.D.; Huang, B.L. First-principles study of anisotropic thermoelectric transport properties of IV-VI semiconductor compounds SnSe and SnS. Phys. Rev. B 2015, 92, 115202. [Google Scholar] [CrossRef] [Green Version]
- Feng, Z.Z.; Jia, T.T.; Zhang, J.H.; Wang, Y.X.; Zhang, Y.S. Dual effects of lone-pair electrons and rattling atoms in CuBiS2 on its ultralow thermal conductivity. Phys. Rev. B 2017, 96, 235205. [Google Scholar] [CrossRef]
- Nielsen, M.D.; Ozolins, V.; Heremans, J.P. Lone pair electrons minimize lattice thermal conductivity. Energy Environ. Sci. 2013, 6, 570–578. [Google Scholar] [CrossRef]
- Liu, H.; Yuan, X.; Lu, P.; Shi, X.; Xu, F.; He, Y.; Tang, Y.; Bai, S.; Zhang, W.; Chen, L.; et al. Ultrahigh thermoelectric performance by electron and phonon critical scattering in Cu2 Se1-x Ix. Adv. Mater. 2013, 25, 6607–6612. [Google Scholar] [CrossRef] [Green Version]
- Wu, B.; Zhou, Y.; Hu, M. Two-Channel Thermal Transport in Ordered-Disordered Superionic Ag2Te and Its Traditionally Contradictory Enhancement by Nanotwin Boundary. J. Phys. Chem. Lett. 2018, 9, 5704–5709. [Google Scholar] [CrossRef]
- Luo, Y.; Yang, X.; Feng, T.; Wang, J.; Ruan, X. Vibrational hierarchy leads to dual-phonon transport in low thermal conductivity crystals. Nat. Commun. 2020, 11, 2554. [Google Scholar] [CrossRef]
- Ravindran, P.; Delin, A.; Ahuja, R.; Johansson, B.; Auluck, S.; Wills, J.M.; Eriksson, O. Optical properties of monoclinic SnI2from relativistic first-principles theory. Phys. Rev. B 1997, 56, 6851–6861. [Google Scholar] [CrossRef] [Green Version]
- Zhong, M.; Zhang, S.; Huang, L.; You, J.; Wei, Z.; Liu, X.; Li, J. Large-scale 2D PbI2 monolayers: Experimental realization and their indirect band-gap related properties. Nanoscale 2017, 9, 3736–3741. [Google Scholar] [CrossRef]
- Yagmurcukardes, M.; Peeters, F.M.; Sahin, H. Electronic and vibrational properties of PbI2: From bulk to monolayer. Phys. Rev. B 2018, 98, 085431. [Google Scholar] [CrossRef] [Green Version]
- Zhang, Y.M.; Hou, B.; Wu, Y.; Chen, Y.; Xia, Y.-J.; Mei, H.; Kong, M.R.; Peng, L.; Shao, H.Z.; Cao, J.; et al. Towards high-temperature electron-hole condensate phase in monolayer tetrels metal halides: Ultra-long excitonic lifetimes, phase diagram and exciton dynamics. Mater. Today Phys. 2022, 22, 100604. [Google Scholar] [CrossRef]
- Sandoval, S.; Kepic, D.; Perez Del Pino, A.; Gyorgy, E.; Gomez, A.; Pfannmoeller, M.; Tendeloo, G.V.; Ballesteros, B.; Tobias, G. Selective Laser-Assisted Synthesis of Tubular van der Waals Heterostructures of Single-Layered PbI2 within Carbon Nanotubes Exhibiting Carrier Photogeneration. ACS Nano 2018, 12, 6648–6656. [Google Scholar] [CrossRef] [Green Version]
- Peng, B.; Mei, H.D.; Zhang, H.; Shao, H.Z.; Xu, K.; Ni, G.; Jin, Q.Y.; Soukoulis, C.M.; Zhu, H.Y. High thermoelectric efficiency in monolayer PbI2 from 300 K to 900 K. Inorg. Chem. Front. 2019, 6, 920–928. [Google Scholar] [CrossRef] [Green Version]
- Fan, Q.; Huang, J.W.; Dong, N.N.; Hong, S.; Yan, C.; Liu, Y.C.; Qiu, J.S.; Wang, J.; Sun, Z.Y. Liquid Exfoliation of Two-Dimensional PbI2 Nanosheets for Ultrafast Photonics. ACS Photonics 2019, 6, 1051–1057. [Google Scholar] [CrossRef]
- Howie, R.A.; Moser, W.; Trevena, I.C. The crystal structure of tin(II) iodide. Acta Crystallogr. B Struct. Sci. Cryst. Eng. Mater. 1972, 28, 2965–2971. [Google Scholar] [CrossRef] [Green Version]
- Yuan, Q.Q.; Zheng, F.; Shi, Z.Q.; Li, Q.Y.; Lv, Y.Y.; Chen, Y.; Zhang, P.; Li, S.C. Direct Growth of van der Waals Tin Diiodide Monolayers. Adv. Sci. 2021, 8, 2100009. [Google Scholar] [CrossRef]
- Arab, A.; Li, Q. Anisotropic thermoelectric behavior in armchair and zigzag mono- and fewlayer MoS2 in thermoelectric generator applications. Sci. Rep. 2015, 5, 13706. [Google Scholar] [CrossRef] [Green Version]
- Kresse, G.; Furthmuller, J. Efficient iterative schemes for ab initio total-energy calculations using a plane-wave basis set. Phys. Rev. B Condens. Matter. 1996, 54, 11169–11186. [Google Scholar] [CrossRef]
- Blochl, P.E. Projector augmented-wave method. Phys. Rev. B Condens. Matter 1994, 50, 17953–17979. [Google Scholar] [CrossRef] [Green Version]
- Blochl, P.E.; Jepsen, O.; Andersen, O.K. Improved tetrahedron method for Brillouin-zone integrations. Phys. Rev. B Condens. Matter. 1994, 49, 16223–16233. [Google Scholar] [CrossRef] [PubMed]
- Kresse, G.; Joubert, D. From ultrasoft pseudopotentials to the projector augmented-wave method. Phys. Rev. B 1999, 59, 1758–1775. [Google Scholar] [CrossRef]
- Heyd, J.; Scuseria, G.E. Assessment and validation of a screened Coulomb hybrid density functional. J. Chem. Phys. 2004, 120, 7274–7280. [Google Scholar] [CrossRef] [PubMed]
- Madsen, G.K.H.; Singh, D.J. BoltzTraP. A code for calculating band-structure dependent quantities. Comput. Phys. Commun. 2006, 175, 67–71. [Google Scholar] [CrossRef] [Green Version]
- Bardeen, J.; Shockley, W. Deformation Potentials and Mobilities in Non-Polar Crystals. Phys. Rev. 1950, 80, 72–80. [Google Scholar] [CrossRef]
- Lee, M.S.; Mahanti, S.D. Validity of the rigid band approximation in the study of the thermopower of narrow band gap semiconductors. Phys. Rev. B 2012, 85, 165149. [Google Scholar] [CrossRef] [Green Version]
- Cai, Y.; Zhang, G.; Zhang, Y.W. Polarity-reversed robust carrier mobility in monolayer MoS2 nanoribbons. J. Am. Chem. Soc. 2014, 136, 6269–6275. [Google Scholar] [CrossRef] [Green Version]
- Zhu, X.L.; Liu, P.F.; Zhang, J.; Zhang, P.; Zhou, W.X.; Xie, G.; Wang, B.T. Monolayer SnP3: An excellent p-type thermoelectric material. Nanoscale 2019, 11, 19923–19932. [Google Scholar] [CrossRef]
- Baroni, S.; de Gironcoli, S.; Dal Corso, A.; Giannozzi, P. Phonons and related crystal properties from density-functional perturbation theory. Rev. Mod. Phys. 2001, 73, 515–562. [Google Scholar] [CrossRef] [Green Version]
- Togo, A.; Oba, F.; Tanaka, I. First-principles calculations of the ferroelastic transition between rutile-type andCaCl2-typeSiO2at high pressures. Phys. Rev. B 2008, 78, 134106. [Google Scholar] [CrossRef] [Green Version]
- Li, W.; Carrete, J.; Katcho, N.A.; Mingo, N. ShengBTE: A solver of the Boltzmann transport equation for phonons. Comput. Phys. Commun. 2014, 185, 1747–1758. [Google Scholar] [CrossRef]
- Tong, Z.; Li, S.; Ruan, X.; Bao, H. Comprehensive first-principles analysis of phonon thermal conductivity and electron-phonon coupling in different metals. Phys. Rev. B 2019, 100, 144306. [Google Scholar] [CrossRef] [Green Version]
- Li, S.; Wang, A.; Hu, Y.; Gu, X.; Tong, Z.; Bao, H. Anomalous thermal transport in metallic transition-metal nitrides originated from strong electron–phonon interactions. Mater. Today Phys. 2020, 15, 100256. [Google Scholar] [CrossRef]
- Wang, Y.X.; Xu, N.; Li, D.Y.; Zhu, J. Thermal Properties of Two Dimensional Layered Materials. Adv. Funct. Mater. 2017, 27, 1604134. [Google Scholar] [CrossRef]
- Peng, B.; Zhang, H.; Shao, H.; Xu, Y.; Zhang, R.; Lu, H.; Zhang, D.W.; Zhu, H. First-Principles Prediction of Ultralow Lattice Thermal Conductivity of Dumbbell Silicene: A Comparison with Low-Buckled Silicene. ACS Appl. Mater. Interfaces 2016, 8, 20977–20985. [Google Scholar] [CrossRef]
- Onodera, T.; Morita, Y.; Nagumo, R.; Miura, R.; Suzuki, A.; Tsuboi, H.; Hatakeyama, N.; Endou, A.; Takaba, H.; Dassenoy, F.; et al. A computational chemistry study on friction of h-MoS(2). Part II. Friction anisotropy. J. Phys. Chem. B 2010, 114, 15832–15838. [Google Scholar] [CrossRef]
- Zhao, L.D.; Zhang, X.; Wu, H.; Tan, G.; Pei, Y.; Xiao, Y.; Chang, C.; Wu, D.; Chi, H.; Zheng, L.; et al. Enhanced Thermoelectric Properties in the Counter-Doped SnTe System with Strained Endotaxial SrTe. J. Am. Chem. Soc. 2016, 138, 2366–2373. [Google Scholar] [CrossRef]
- Wang, D.Y.; He, W.K.; Chang, C.; Wang, G.T.; Wang, J.F.; Zhao, L.D. Thermoelectric transport properties of rock-salt SnSe: First-principles investigation. J. Mater. Chem. C 2018, 6, 12016–12022. [Google Scholar] [CrossRef]
- Huang, S.; Wang, Z.Y.; Xiong, R.; Yu, H.Y.; Shi, J. Significant enhancement in thermoelectric performance of Mg3Sb2 from bulk to two-dimensional mono layer. Nano Energy 2019, 62, 212–219. [Google Scholar] [CrossRef]
- Wang, N.; Li, M.; Xiao, H.; Zu, X.; Qiao, L. Layered LaCuOSe: A Promising Anisotropic Thermoelectric Material. Phys. Rev. Appl. 2020, 13, 024038. [Google Scholar] [CrossRef]
- Tong, Z.; Dumitrica, T.; Frauenheim, T. Ultralow Thermal Conductivity in Two-Dimensional MoO3. Nano Lett. 2021, 21, 4351–4356. [Google Scholar] [CrossRef] [PubMed]
- Zhu, X.-L.; Liu, P.-F.; Wu, Y.-Y.; Zhang, P.; Xie, G.; Wang, B.-T. Significant enhancement of the thermoelectric properties of CaP3 through reducing the dimensionality. Adv. Mater. 2020, 1, 3322–3332. [Google Scholar] [CrossRef]
- Liu, D.; Every, A.G.; Tománek, D. Continuum approach for long-wavelength acoustic phonons in quasi-two-dimensional structures. Phys. Rev. B 2016, 94, 165432. [Google Scholar] [CrossRef] [Green Version]
- Lindsay, L.; Li, W.; Carrete, J.; Mingo, N.; Broido, D.A.; Reinecke, T.L. Phonon thermal transport in strained and unstrained graphene from first principles. Phys. Rev. B 2014, 89, 155426. [Google Scholar] [CrossRef]
- Wang, H.; Zhou, E.; Duan, F.; Wei, D.; Zheng, X.; Tang, C.; Ouyang, T.; Yao, Y.; Qin, G.; Zhong, J. Unique Arrangement of Atoms Leads to Low Thermal Conductivity: A Comparative Study of Monolayer Mg2C. J. Phys. Chem. Lett. 2021, 12, 10353–10358. [Google Scholar] [CrossRef]
- Hippalgaonkar, K.; Wang, Y.; Ye, Y.; Qiu, D.Y.; Zhu, H.; Wang, Y.; Moore, J.; Louie, S.G.; Zhang, X. High thermoelectric power factor in two-dimensional crystals of MoS2. Phys. Rev. B 2017, 95, 115407. [Google Scholar] [CrossRef] [Green Version]
- Lin, H.; Tan, G.; Shen, J.N.; Hao, S.; Wu, L.M.; Calta, N.; Malliakas, C.; Wang, S.; Uher, C.; Wolverton, C.; et al. Concerted Rattling in CsAg5 Te3 Leading to Ultralow Thermal Conductivity and High Thermoelectric Performance. Angew. Chem. Int. Ed. Engl. 2016, 55, 11431–11436. [Google Scholar] [CrossRef]
- Ma, N.; Li, Y.Y.; Chen, L.; Wu, L.M. alpha-CsCu5Se3: Discovery of a Low-Cost Bulk Selenide with High Thermoelectric Per formance. J. Am. Chem. Soc. 2020, 142, 5293–5303. [Google Scholar] [CrossRef]
- Gibson, Q.D.; Zhao, T.; Daniels, L.M.; Walker, H.C.; Daou, R.; Hebert, S.; Zanella, M.; Dyer, M.S.; Claridge, J.B.; Slater, B.; et al. Low thermal conductivity in a modular inorganic material with bonding anisotropy and mismatch. Science 2021, 373, 1017–1022. [Google Scholar] [CrossRef]




| Direction | Type | E1 (eV) | Cii (J/m2) | m* (m0) | u (cm−2V−1S−1)) | τ (fs) |
|---|---|---|---|---|---|---|
| Zigzag | e | −4.44 | 17.92 | 0.59 | 42.52 | 17.41 |
| h | −4.43 | 17.92 | 0.73 | 40.16 | 16.72 | |
| Armchair | e | −4.25 | 17.42 | 0.84 | 30.48 | 15.17 |
| h | −4.49 | 17.42 | 0.68 | 35.14 | 13.60 |
| Material | κL (W/mK) | ZT | |
|---|---|---|---|
| SnI2 | 0.26 | 4.01 (800 K) | This work |
| SnS | 1.5 | 1.00 (750 K) | Ref. [13] |
| SnSe | 0.6 | 1.50 (750 K) | Ref. [13] |
| SnP3 | 4.97 | 3.46 (500 K) | Ref. [38] |
| SnSe | 1.12 | 0.85 (900 K) | Ref. [48] |
| LaCuOSe | 0.84 | 2.71 (900 K) | Ref. [50] |
Publisher’s Note: MDPI stays neutral with regard to jurisdictional claims in published maps and institutional affiliations. |
© 2022 by the authors. Licensee MDPI, Basel, Switzerland. This article is an open access article distributed under the terms and conditions of the Creative Commons Attribution (CC BY) license (https://creativecommons.org/licenses/by/4.0/).
Share and Cite
Xie, Q.-Y.; Liu, P.-F.; Ma, J.-J.; Kuang, F.-G.; Zhang, K.-W.; Wang, B.-T. Monolayer SnI2: An Excellent p-Type Thermoelectric Material with Ultralow Lattice Thermal Conductivity. Materials 2022, 15, 3147. https://doi.org/10.3390/ma15093147
Xie Q-Y, Liu P-F, Ma J-J, Kuang F-G, Zhang K-W, Wang B-T. Monolayer SnI2: An Excellent p-Type Thermoelectric Material with Ultralow Lattice Thermal Conductivity. Materials. 2022; 15(9):3147. https://doi.org/10.3390/ma15093147
Chicago/Turabian StyleXie, Qing-Yu, Peng-Fei Liu, Jiang-Jiang Ma, Fang-Guang Kuang, Kai-Wang Zhang, and Bao-Tian Wang. 2022. "Monolayer SnI2: An Excellent p-Type Thermoelectric Material with Ultralow Lattice Thermal Conductivity" Materials 15, no. 9: 3147. https://doi.org/10.3390/ma15093147
APA StyleXie, Q.-Y., Liu, P.-F., Ma, J.-J., Kuang, F.-G., Zhang, K.-W., & Wang, B.-T. (2022). Monolayer SnI2: An Excellent p-Type Thermoelectric Material with Ultralow Lattice Thermal Conductivity. Materials, 15(9), 3147. https://doi.org/10.3390/ma15093147

