Nonlinear Inverse Analysis for Predicting the Tensile Properties of Strain-Softening and Strain-Hardening UHPFRC
Abstract
1. Introduction
2. Experimental Program
2.1. Materials and Test Setup
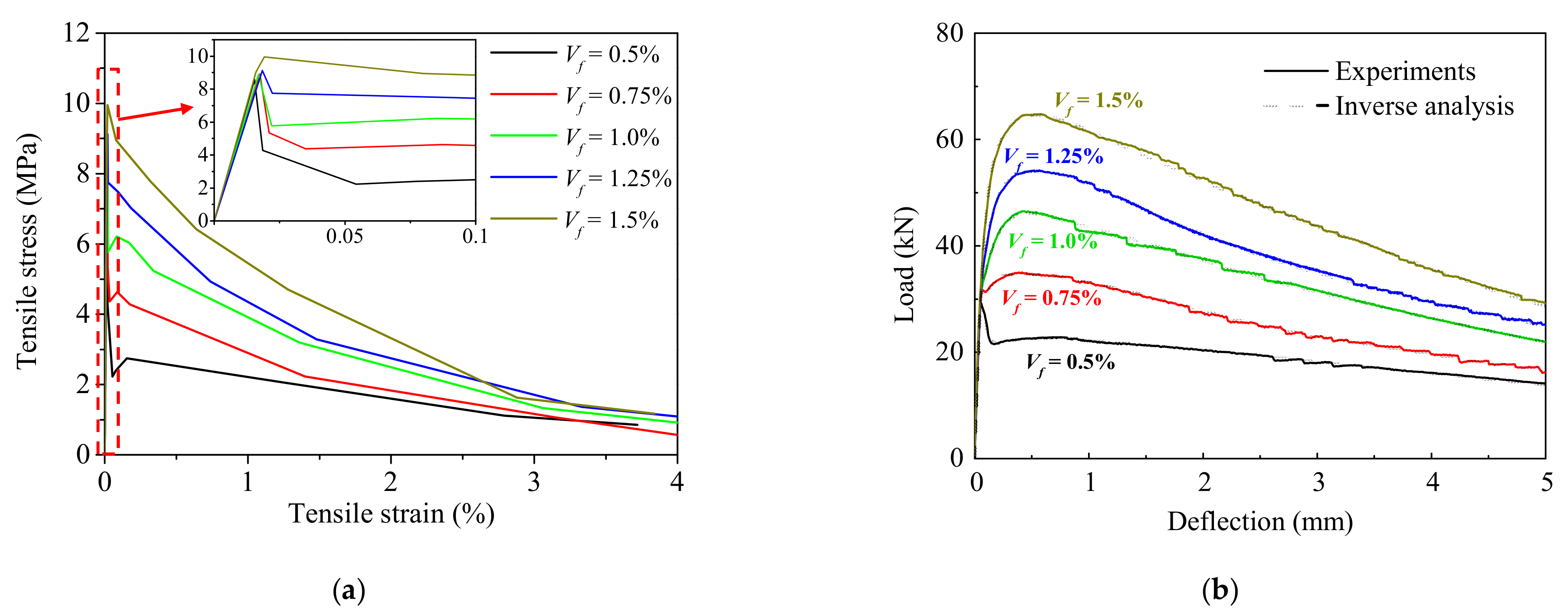
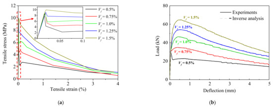
2.2. Experimental Results
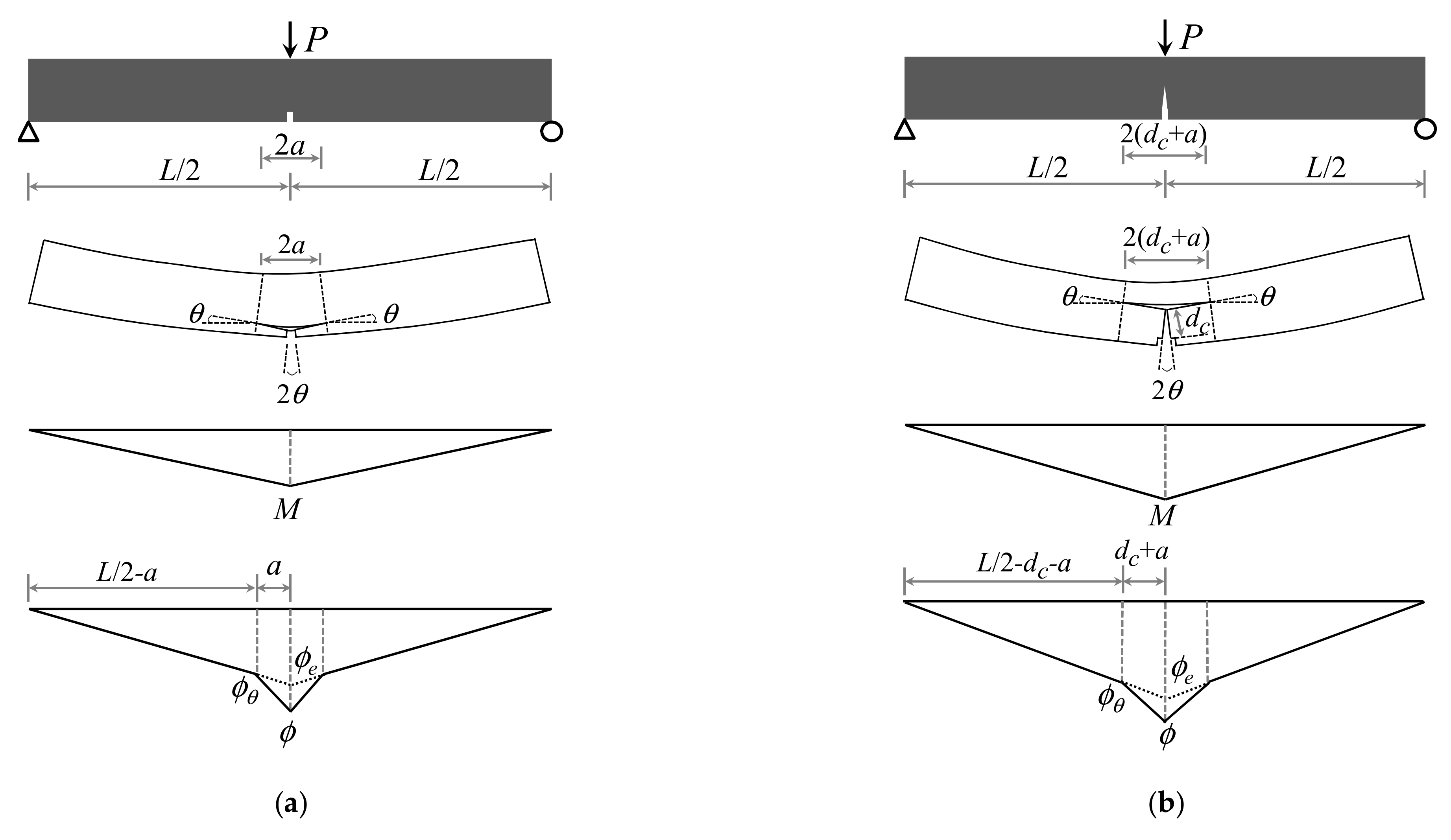
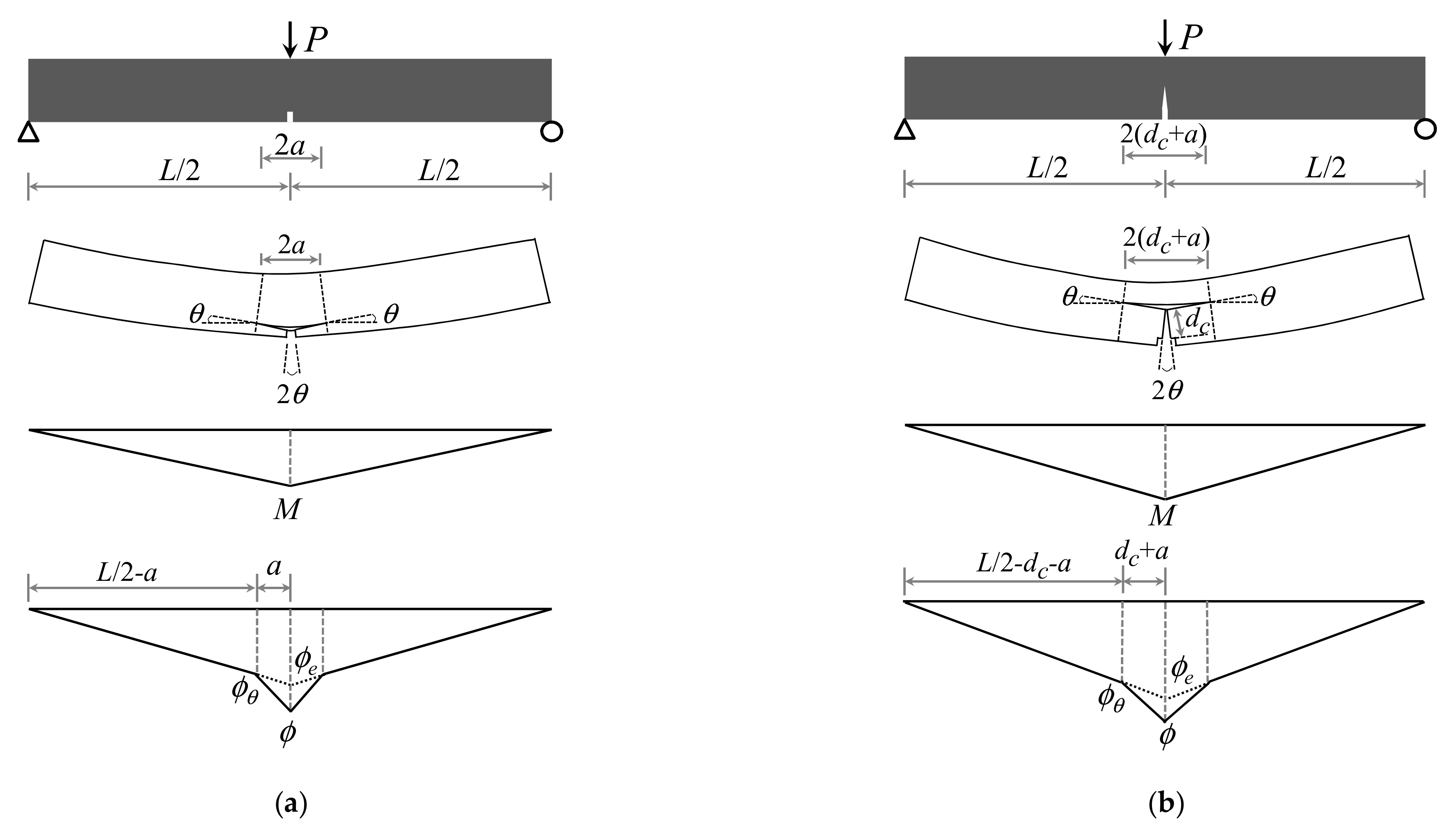
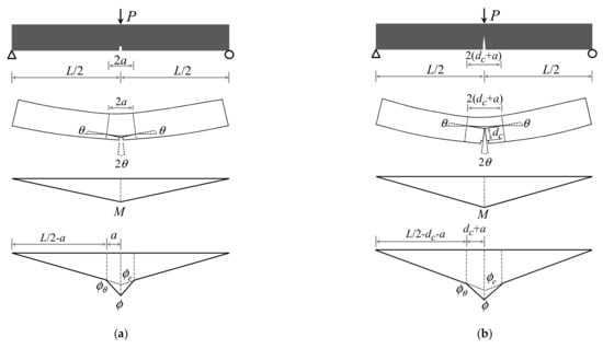
3. Derivation of Nonlinear Inverse Method
3.1. Proposed Stress–Strain Relationship
3.2. Derivation of Closed Form Moment–Curvature Formulation
3.3. Load–Deflection Response
3.4. Algorithm to Predict the Tensile Properties
- Firstly, the σ-ε relationship is divided into n pieces according to the different precision requirement. Then, some initial parameters, including specimen size and constant coefficient, should be determined;
- An initial value is assigned to the stress σi+1, and then the moment–curvature response can be generated using Equations (12) and (13). Next, the load–deflection response for a notched beam can be calculated by using Equations (18) and (19);
- The stress σi+1 is adjusted, and then step 2 is repeated until the calculated load–deflection response fit the experimental results within acceptable error tolerance;
- The stress–strain relationship and the approximate load–deflection curve can be obtained by repeating steps 2 and 3.
4. Verification of Nonlinear Inverse Method
4.1. Comparison with Direct Tensile Test Results
4.2. Comparison with Existing Inverse Method
4.3. Summary of Method Verification
5. Application of the Proposed Method for Parametric Studies
5.1. Application of Predicting Tensile Behavior
5.2. Effect of the Number of Segments
5.3. Effect of Notch-to-Depth Ratio
5.4. Effect of Postcracking Strength
6. Conclusions
- The verifications indicated that the segmented stress–strain model used in the nonlinear inverse analysis was capable of describing various tensile properties of the UHPFRC, including strain softening and strain hardening. Both the tensile strain–stress relationship and the load–deflection response showed good agreement between the experimental and analytical results. However, the accuracy of the predicted result was significantly affected by the scatter of the experimental load–deflection response;
- A high sensitivity of the proposed method was observed with a fiber volume fraction varying from 0.5% to 4%. The deflection-softening behavior was simulated for the UHPFRC beams with the fiber volume fraction of 0.5%, in accord with test result. That the strain-softening behavior resulted in a deflection-hardening response was also identified by the prediction. For a strain-softening UHPFRC with deflection-hardening behavior in bending, the deflection corresponding to the bending strength was insensitive to the fiber volume fraction;
- For the strain-hardening UHPFRC, the predicted ultimate tensile strength was highly sensitive to the number of segments. The overestimation of the ultimate tensile strength was less than 4% with increasing the number of segments to five. However, with reducing the number of segments to three, the overestimation of the postcracking strength reached around 10%. Therefore, this method with a controllable accuracy can be adapted for academic research and structural design;
- The load–deflection response of the UHPFRC beam specimens was significantly affected by the notch-to-depth ratio. With a lower notch-to-depth ratio, the deflection-hardening behavior was more obvious, and softening occurred more quickly. Nonetheless, the bending strength was slightly affected by the notch-to-depth ratio;
- For a strain-softening material, a significant deflection-hardening response was observed with the postcracking strength larger than 75% of the first cracking strength and the corresponding transition strain of 0.15%. Both the postcracking strength and the transition strain are most important factors to the bending strength and ductility of the strain-softening UHPFRC.
Author Contributions
Funding
Institutional Review Board Statement
Informed Consent Statement
Data Availability Statement
Acknowledgments
Conflicts of Interest
References
- Walraven, J.C. High performance fibre reinforced concrete: Progress in knowledge and design codes. Mater. Struct. 2009, 42, 1247–1260. [Google Scholar] [CrossRef]
- Yoo, D.-Y.; Yoon, Y.-S. A review on structural behavior, design, and application of ultra-high-performance fiber-reinforced concrete. Int. J. Concr. Struct. Mater. 2016, 10, 125–142. [Google Scholar] [CrossRef]
- Zhou, M.; Lu, W.; Song, J.; Lee, G.C. Application of ultra-high performance concrete in bridge engineering. Constr. Build. Mater. 2018, 186, 1256–1267. [Google Scholar] [CrossRef]
- Bian, C.; Wang, J.Y. Mechanical and damage mechanisms of reinforced ultra high performance concrete under tensile loading. Constr. Build. Mater. 2019, 226, 259–279. [Google Scholar] [CrossRef]
- Leung, C.K.Y.; Lee, A.Y.F.; Lai, R. A new testing configuration for shrinkage cracking of shotcrete and fiber reinforced shotcrete. Cem. Concr. Res. 2006, 36, 740–748. [Google Scholar] [CrossRef]
- Nematollahi, B.; Voo, Y.L.; Rashid, R.S.M. Structural behavior of precast Ultra-High Performance Fiber Reinforced Concrete (UHPFRC) cantilever retaining walls: Part II–Full scale experimental testing. KSCE J. Civ. Eng. 2014, 18, 1481–1495. [Google Scholar] [CrossRef]
- Sun, Q.X.; Liu, C. Experimental study and calculation method on the flexural resistance of reinforced concrete beam strengthened using high strain-hardening ultra high performance concrete. Struct. Concr. 2021, 22, 1741–1759. [Google Scholar] [CrossRef]
- Naaman, A.E.; Reinhardt, H.W. Proposed classification of HPFRC composites based on their tensile response. Mater. Struct. 2006, 39, 547–555. [Google Scholar] [CrossRef]
- Dixit, A.; Du, H.; Pang, S.D. Carbon capture in ultra-high performance concrete using pressurized CO2 curing. Constr. Build. Mater. 2021, 288, 123076. [Google Scholar] [CrossRef]
- Yoo, D.-Y.; Banthia, N. Mechanical and structural behaviors of ultra-high performance fiber-reinforced concrete subjected to impact and blast. Constr. Build. Mater. 2017, 149, 416–431. [Google Scholar] [CrossRef]
- Shaikh, F.U.A.; Luhar, S.; Arel, H.Ş.; Luhar, I. Performance evaluation of Ultra-high performance fibre reinforced concrete—A review. Constr. Build. Mater. 2020, 232, 117152. [Google Scholar] [CrossRef]
- Leutbecher, T.; Rebling, J. Predicting the postcracking strength of ultra-high performance fiber reinforced concrete by means of three-point bending tests according to EN 14651. Struct. Concr. 2019, 20, 2081–2095. [Google Scholar] [CrossRef]
- Huang, H.; Gao, X.; Teng, L. Fiber alignment and its effect on mechanical properties of UHPC: An overview. Constr. Build. Mater. 2021, 296, 123741. [Google Scholar] [CrossRef]
- Vandewalle, L.; Nemegeer, D.; Balazs, G.L.; Barr, B.; Bartos, P.; Banthia, N.; Brandt, A.M.; Criswell, M.; Denarie, F.; Prisco, M.D.; et al. Rilem TC 162-TDF: Test and design methods for steel fibre reinforced concrete: Uni-axial tension test for steel fibre reinforced concrete. Mater. Struct. 2001, 34, 3–6. [Google Scholar]
- NF P18-710; National Addition to Eurocode 2—Design of Concrete Structures: Specifique Rules for Ultra-High Performance Fibrereinforced Concrete (UHPFRC). AFNOR—French standard institute: Paris, French, 2016.
- Wang, J.Y.; Guo, J.Y. Damage investigation of ultra high performance concrete under direct tensile test using acoustic emission techniques. Cem. Concr. Compos. 2018, 88, 17–28. [Google Scholar] [CrossRef]
- Wille, K.; El-Tawil, S.; Naaman, A.E. Properties of strain hardening ultra high performance fiber reinforced concrete (UHP-FRC) under direct tensile loading. Cem. Concr. Compos. 2014, 48, 53–66. [Google Scholar] [CrossRef]
- Savino, V.; Lanzoni, L.; Tarantino, A.M.; Viviani, M. Tensile constitutive behavior of high and ultra-high performance fibre-reinforced-concretes. Constr. Build. Mater. 2018, 186, 525–536. [Google Scholar] [CrossRef]
- Park, S.H.; Kim, D.J.; Ryu, G.S.; Koh, K.T. Tensile behavior of ultra high performance hybrid fiber reinforced concrete. Cem. Concr. Compos. 2012, 34, 172–184. [Google Scholar] [CrossRef]
- EN 14651; Test Method for Metallic Fibered Concrete–Measuring the Flexural Tensile Strength (Limit of Proportionality (LOP), Residual). European Committee for Standardization: Brussels, Belgium, 2007.
- ASTM C1609/C1609M-12; Standard Test Method for Flexural Performance of Fiber-Reinforced Concrete (Using Beam with Third-Point Loading). ASTM International: West Conshohocken, PA, USA, 2012.
- JCI-S-003-2007; Method of Test for Bending Moment–Curvature of FRCC. Japan Concrete Institute: Tokyo, Japan, 2007.
- CNR-DT 204; Guidelines for Design, Construction and Production Control of Fiber Reinforced Concrete Structures. National Research Council of Italy: Roman, Italy, 2006.
- Baby, F.; Graybeal, B.; Marchand, P.; Toutlemonde, F. UHPFRC tensile behavior characterization: Inverse analysis of four-point bending test results. Mater. Struct. 2013, 46, 1337–1354. [Google Scholar] [CrossRef]
- Savino, V.; Lanzoni, L.; Tarantino, A.M.; Viviani, M. An extended model to predict the compressive, tensile and flexural strengths of HPFRCs and UHPFRCs: Definition and experimental validation. Compos. Part B Eng. 2019, 163, 681–689. [Google Scholar] [CrossRef]
- Mezquida-Alcaraz, E.J.; Navarro-Gregori, J.; Serna-Ros, P. Direct procedure to characterize the tensile constitutive behavior of strain-softening and strain-hardening UHPFRC. Cem. Concr. Compos. 2021, 115, 103854. [Google Scholar] [CrossRef]
- Lo Monte, F.; Ferrara, L. Tensile behavior identification in ultra-high performance fibre reinforced cementitious composites: Indirect tension tests and back analysis of flexural test results. Mater. Struct. 2020, 53, 145. [Google Scholar] [CrossRef]
- Qian, S.; Li, V.C. Simplified inverse method for determining the tensile strain capacity of strain hardening cementitious composites. J. Adv. Concr. Technol. 2007, 5, 235–246. [Google Scholar] [CrossRef]
- López, J.Á.; Serna, P.; Navarro-Gregori, J.; Coll, H. A simplified five-point inverse analysis method to determine the tensile properties of UHPFRC from unnotched four-point bending tests. Compos. Part B Eng. 2016, 91, 189–204. [Google Scholar] [CrossRef]
- Mobasher, B.; Bakhshi, M.; Barsby, C. Backcalculation of residual tensile strength of regular and high performance fiber reinforced concrete from flexural tests. Constr. Build. Mater. 2014, 70, 243–253. [Google Scholar] [CrossRef]
- Elsaigh, W.A.; Robberts, J.M.; Kearsley, E.P. Modeling the behavior of steel-fiber reinforced concrete ground slabs. I: Development of material model. J. Transp. Eng. 2011, 137, 882–888. [Google Scholar] [CrossRef][Green Version]
- López, J.Á.; Serna, P.; Navarro-Gregori, J.; Camacho, E. An inverse analysis method based on deflection to curvature transformation to determine the tensile properties of UHPFRC. Mater. Struct. 2015, 48, 3703–3718. [Google Scholar] [CrossRef]
- Yoo, D.Y.; Lee, J.H.; Yoon, Y.S. Effect of fiber content on mechanical and fracture properties of ultra-high performance fiber reinforced cementitious composites. Compos. Struct. 2013, 106, 742–753. [Google Scholar] [CrossRef]
- Casanova, P.; Rossi, P. Analysis of metallic fibre-reinforced concrete beams submitted to bending. Mater. Struct. 1996, 29, 354–361. [Google Scholar] [CrossRef]
- Thomas, T. CEB–FIP Model Code 2010: Design Code; Comité Euro International du Béton: London, UK, 2010. [Google Scholar]
















| Water | Cement | Silica Fume | Fine Aggregate | Coarse Aggregate | Superplasticizer |
|---|---|---|---|---|---|
| 0.24 | 1 | 0.23 | 1.08 | 1.24 | 0.034 |
| Diameter (mm) | Length (mm) | Aspect Ratio (Lf/Df) | Elastic Modulus (GPa) | Tensile Strength (MPa) | Density (kg/m3) |
|---|---|---|---|---|---|
| 0.2 | 16 | 80 | 200 | 2500 | 7850 |
| Test Group | fc (MPa) | E0 (GPa) | PMOR (kN) | δMOR (mm) |
|---|---|---|---|---|
| Vf = 0.5% | 139.9(2.65) | 55.40(0.68) | 29.5(0.78) | 0.05(0.001) |
| Vf = 0.75% | 135.2(3.21) | 50.96(0.97) | 35.2(0.64) | 0.42(0.026) |
| Vf = 1.0% | 134.2(2.37) | 52.24(1.39) | 47.1(2.13) | 0.47(0.065) |
| Vf = 1.25% | 140.6(1.80) | 49.31(0.55) | 54.4(0.35) | 0.51(0.063) |
| Vf = 1.5% | 147.3(1.74) | 56.52(0.83) | 65.1(2.42) | 0.53(0.059) |
| Test Series | Lf/df (mm/mm) | Vf (%) | L (mm) | b (mm) | d (mm) | a (mm) | E0 (GPa) | κ | ν |
|---|---|---|---|---|---|---|---|---|---|
| 1 | 9/0.175 | 2.5 | 500 | 150 | 150 | 25 | 46.1 | 1.2 | 0.2 |
| 2 | 17/0.2 | 1 | 500 | 150 | 150 | 25 | 45.0 | 1.2 | 0.2 |
| Test Series | Lf/df (mm/mm) | Vf (%) | L (mm) | b (mm) | d (mm) | a (mm) | E0 (GPa) | fc (MPa) | κ | ν |
|---|---|---|---|---|---|---|---|---|---|---|
| UH-V1 | 13/0.2 | 1 | 300 | 100 | 100 | 10 | 51.0 | 197.1 | 1.2 | 0.2 |
| UH-V2 | 2 | 50.5 | 201.6 | |||||||
| UH-V3 | 3 | 52.5 | 207.2 | |||||||
| UH-V4 | 4 | 48.5 | 185.1 |
Publisher’s Note: MDPI stays neutral with regard to jurisdictional claims in published maps and institutional affiliations. |
© 2022 by the authors. Licensee MDPI, Basel, Switzerland. This article is an open access article distributed under the terms and conditions of the Creative Commons Attribution (CC BY) license (https://creativecommons.org/licenses/by/4.0/).
Share and Cite
Guo, Y.-Q.; Wang, J.-Y.; Gu, J.-B. Nonlinear Inverse Analysis for Predicting the Tensile Properties of Strain-Softening and Strain-Hardening UHPFRC. Materials 2022, 15, 3067. https://doi.org/10.3390/ma15093067
Guo Y-Q, Wang J-Y, Gu J-B. Nonlinear Inverse Analysis for Predicting the Tensile Properties of Strain-Softening and Strain-Hardening UHPFRC. Materials. 2022; 15(9):3067. https://doi.org/10.3390/ma15093067
Chicago/Turabian StyleGuo, Yi-Qing, Jun-Yan Wang, and Jin-Ben Gu. 2022. "Nonlinear Inverse Analysis for Predicting the Tensile Properties of Strain-Softening and Strain-Hardening UHPFRC" Materials 15, no. 9: 3067. https://doi.org/10.3390/ma15093067
APA StyleGuo, Y.-Q., Wang, J.-Y., & Gu, J.-B. (2022). Nonlinear Inverse Analysis for Predicting the Tensile Properties of Strain-Softening and Strain-Hardening UHPFRC. Materials, 15(9), 3067. https://doi.org/10.3390/ma15093067
