Magnetic Properties of A2Ni2TeO6 (A = K, Li): Zigzag Order in the Honeycomb Layers of Ni2+ Ions Induced by First and Third Nearest-Neighbor Spin Exchanges
Abstract
1. Introduction
2. Sample Preparation and X-ray Diffraction
2.1. K2Ni2TeO6
2.2. Li2Ni2TeO6
3. Results and Discussion
3.1. Magnetic Properties
3.1.1. Magnetic Susceptibility and Magnetization
3.1.2. Electron Spin Resonance
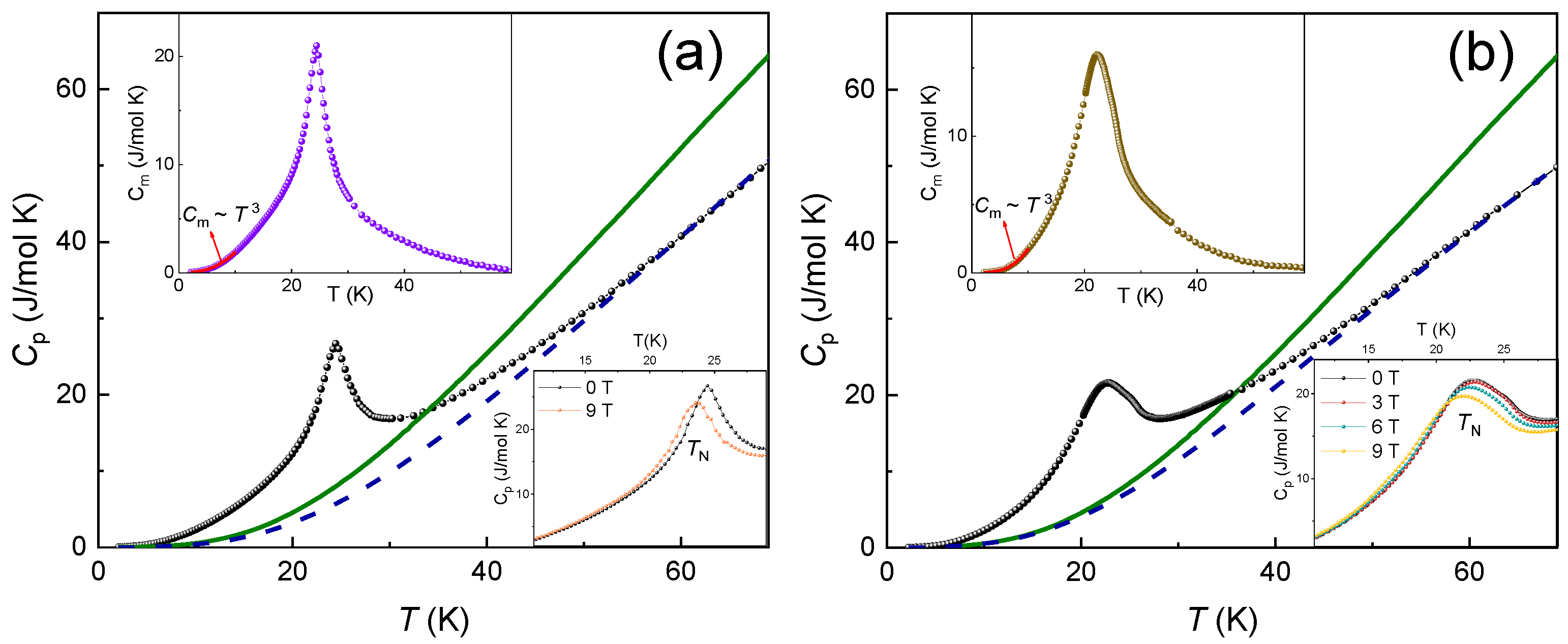
3.1.3. Specific Heat
3.2. Spin Exchanges Leading to a Zigzag Magnetic Order
3.2.1. Computational Details
3.2.2. Spin Exchanges and Zigzag Order
4. Concluding Remarks
Supplementary Materials
Author Contributions
Funding
Data Availability Statement
Conflicts of Interest
References
- Vasiliev, A.; Volkova, O.; Zvereva, E.; Markina, M. Milestones of low-D quantum magnetism. NPG Quantum Mater. 2018, 3, 18–30. [Google Scholar] [CrossRef]
- Kitaev, A. Anyons in an exactly solved model and beyond. Ann. Phys. 2006, 321, 2–111. [Google Scholar] [CrossRef]
- Singh, Y.; Manni, S.; Reuther, J.; Berlijn, T.; Thomale, R.; Ku, W.; Trebst, S.; Gegenwart, P. Relevance of the Heisenberg-Kitaev model for the honeycomb lattice iridates A2IrO7. Phys. Rev. Lett. 2012, 108, 127203. [Google Scholar] [CrossRef] [PubMed]
- Stavropoulos, P.P.; Pereira, D.; Kee, H.Y. Microscopic mechanism for a higher-spin Kitaev Model. Phys. Rev. Lett. 2019, 123, 037203. [Google Scholar] [CrossRef]
- Singh, Y.; Gegenwart, P. Antiferromagnetic Mott insulating state in single crystals of the honeycomb lattice material Na2IrO3. Phys. Rev. B 2010, 82, 064412. [Google Scholar] [CrossRef]
- Ye, F.; Chi, S.; Cao, H.; Chakoumakos, B.C.; Fernandez-Baca, J.A.; Custelceanu, R.; Qi, T.F.; Korneta, O.B.; Cao, G. Direct evidence of a zigzag spin-chain structure in the honeycomb lattice: A neutron and x-ray diffraction investigation of single-crystal Na2IrO3. Phys. Rev. B 2012, 85, 180403. [Google Scholar] [CrossRef]
- Liu, X.; Berlijn, T.; Yin, W.-G.; Ku, W.; Tsvelik, A.; Kim, Y.J.; Gretarsson, H.; Singh, Y.; Gegenwart, P.; Hill, J.P. Long-range magnetic ordering in Na2IrO3. Phys. Rev. B 2011, 83, 220403. [Google Scholar] [CrossRef]
- Sandilands, L.J.; Tian, Y.; Plumb, K.W.; Kim, Y.J.; Burch, K.S. Scattering Continuum and Possible Fractionalized Excitations in α-RuCl3. Phys. Rev. Lett. 2015, 114, 147201. [Google Scholar] [CrossRef]
- Sears, J.A.; Songvilay, M.K.; Plumb, W.; Clancy, J.P.; Qiu, Y.; Zhao, Y.; Parshall, D.; Kim, Y.J. Magnetic order in α-RuCl3: A honeycomb-lattice quantum magnet with strong spin-orbit coupling. Phys. Rev. B 2015, 91, 144420. [Google Scholar] [CrossRef]
- Kasahara, Y.; Ohnishi, T.; Mizukami, Y.; Tanaka, O.; Ma, S.; Sugii, K.; Kurita, N.; Tanaka, H.; Nasu, J.; Motome, Y.; et al. Majorana quantization and half-integer thermal quantum Hall effect in a Kitaev spin liquid. Nature 2018, 559, 227–231. [Google Scholar] [CrossRef]
- Takayama, T.; Kato, A.; Dinnebier, R.; Nuss, J.; Kono, H.; Veiga, L.S.I.; Fabbris, G.; Haskel, D.; Takagi, H. Hyperhoneycomb Iridate β-Li2IrO3 as a platform for Kitaev magnetism. Phys. Rev. Lett. 2015, 114, 077202. [Google Scholar] [CrossRef] [PubMed]
- Katukuri, V.M.; Yadav, R.; Hozoi, L.; Nishimoto, S.; van den Brink, J. The vicinity of hyper-honeycomb β-Li2IrO3 to a three-dimensional Kitaev spin liquid state. Sci. Rep. 2016, 6, 29585. [Google Scholar] [CrossRef]
- Zvereva, E.A.; Stratan, M.I.; Ovchenkov, Y.A.; Nalbandyan, V.B.; Lin, J.-Y.; Vavilova, E.L.; Iakovleva, M.F.; Abdel-Hafiez, M.; Silhanek, A.V.; Chen, X.-J.; et al. Zigzag antiferromagnetic quantum ground state in monoclinic honeycomb lattice antimonates A3Ni2SbO6 (A = Li, Na). Phys. Rev. B 2015, 92, 144401. [Google Scholar] [CrossRef]
- Kurbakov, A.I.; Korshunov, A.N.; Podchezertsev, S.Y.; Malyshev, A.L.; Evstigneeva, M.A.; Damay, F.; Park, J.; Koo, C.; Klingeler, R.; Zvereva, E.A.; et al. Zigzag spin structure in layered honeycomb Li3Ni2SbO6: A combined diffraction and antiferromagnetic resonance study. Phys. Rev. B 2017, 96, 024417. [Google Scholar] [CrossRef]
- Koo, H.-J.; Kremer, R.; Whangbo, M.-H. Unusual Spin Exchanges Mediated by the Molecular Anion P2S64−: Theoretical Analyses of the Magnetic Ground States, Magnetic Anisotropy and Spin Exchanges of MPS3 (M = Mn, Fe, Co, Ni). Molecules 2021, 26, 1410. [Google Scholar] [CrossRef]
- Powder Diffraction File; International Centre for Diffraction Data: Newtown Square, PA, USA, 2009; entry 00-059-0445.
- Grundish, N.S.; Seymour, I.D.; Henkelman, G.; Goodenough, J.B. Electrochemical Properties of Three Li2Ni2TeO6 Structural Polymorphs. Chem. Mater. 2019, 31, 9379–9388. [Google Scholar] [CrossRef]
- Masese, T.; Yoshii, K.; Yamaguchi, Y.; Okumura, T.; Huang, Z.-D.; Kato, M.; Kubota, K.; Furutani, J.; Orikasa, Y.; Senoh, H.; et al. Rechargeable potassium-ion batteries with honeycomb-layered tellurates as high voltage cathodes and fast potassium-ion conductors. Nat. Comm. 2018, 9, 3823–3835. [Google Scholar] [CrossRef]
- Matsubara, N.; Nocerino, E.; Forslund, O.K.; Zubayer, A.; Papadopoulos, K.; Andreica, D.; Sugiyama, J.; Palm, R.; Guguchia, Z.; Cottrell, S.P.; et al. Magnetism and ion diffusion in honeycomb layered oxide K2Ni2TeO6. Sci. Rep. 2020, 10, 18305–18318. [Google Scholar] [CrossRef]
- Xiang, H.J.; Lee, C.; Koo, H.-J.; Gong, X.; Whangbo, M.-H. Magnetic properties and energy-mapping analysis. Dalton Trans. 2013, 42, 823–853. [Google Scholar] [CrossRef]
- Whangbo, M.-H.; Xiang, H.J. Magnetic Properties from the Perspectives of Electronic Hamiltonian: Spin Exchange Parameters, Spin Orientation and Spin-Half Misconception. In Handbook in Solid State Chemistry, Volume 5: Theoretical Descriptions; Wiley: Hoboken, NJ, USA, 2017; pp. 285–343. [Google Scholar]
- Evstigneeva, M.A.; Nalbandyan, V.B.; Petrenko, A.A.; Medvedev, B.S.; Kataev, A.A. A New Family of Fast Sodium Ion Conductors: Na2M2TeO6 (M = Ni, Co, Zn, Mg). Chem. Mater. 2011, 23, 1174–1181. [Google Scholar] [CrossRef]
- Paulsen, J.M.; Donaberger, R.A.; Dahn, J.R. Layered T2-, O6-, O2-, and P2-Type A2/3[M’2+1/3M4+2/3]O2 Bronzes, A = Li, Na; M’ = Ni, Mg; M = Mn, Ti. Chem. Mater. 2000, 12, 2257–2267. [Google Scholar] [CrossRef]
- Shannon, R. Revised effective ionic radii and systematic studies of interatomic distances in halides and chalcogenides. Acta Cryst. 1976, A32, 751–767. [Google Scholar] [CrossRef]
- Gagné, O.; Hawthorne, F. Comprehensive derivation of bond-valence parameters for ion pairs involving oxygen. Acta Cryst. 2015, B71, 562–578. [Google Scholar] [CrossRef] [PubMed]
- Bain, G.A.; Berry, J.F. Diamagnetic Corrections and Pascal’s Constants. J. Chem. Educ. 2008, 85, 532–536. [Google Scholar] [CrossRef]
- Rushbrook, G.S.; Wood, P.J. On the Curie points and high temperature susceptibilities of Heisenberg model ferromagnetics. Mol. Phys. 1958, 1, 257–283. [Google Scholar] [CrossRef]
- Abragam, A.; Bleaney, B. Electron Paramagnetic Resonance of Transition Ions; Clarendon Press: Oxford, UK, 1970; 700p. [Google Scholar]
- Joshi, J.P.; Bhat, S.V. On the analysis of broad Dysonian electron paramagnetic resonance spectra. J. Magn. Reson. 2004, 168, 284–287. [Google Scholar] [CrossRef]
- Kawasaki, K. Anomalous Spin Relaxation near the Magnetic Transition. Prog. Theor. Phys. 1968, 39, 285–311. [Google Scholar] [CrossRef][Green Version]
- Kawasaki, K. Ultrasonic attenuation and ESR linewidth near magnetic critical points. Phys. Lett. A 1968, 26A, 543. [Google Scholar] [CrossRef]
- Mori, H.; Kawasaki, K. Antiferromagnetic Resonance Absorbtion. Prog. Theor. Phys. 1962, 28, 971–987. [Google Scholar] [CrossRef][Green Version]
- Huber, D.L. Critical-Point Anomalies in the Electron-Paramagnetic-Resonance Linewidth and in the Zero-Field Relaxation Time of Antiferromagnets. Phys. Rev. B 1972, 6, 3180–3186. [Google Scholar] [CrossRef]
- Richards, P.M. Critical exponents for NMR and ESR linewidths in a two-dimensional antiferromagnet. Solid State Commun. 1973, 13, 253–256. [Google Scholar] [CrossRef]
- Anders, A.G.; Volotski, S.V. EPR in 1-d and 2-d antiferromagnetic systems. J. Magn. Magn. Mater. 1983, 31–34, 1169–1170. [Google Scholar] [CrossRef]
- Zvereva, E.A.; Savelieva, O.A.; Titov, Y.D.; Evstigneeva, M.A.; Nalbandyan, V.B.; Kao, C.N.; Lin, J.-Y.; Presniakov, I.A.; Sobolev, A.V.; Ibragimov, S.A.; et al. A new layered triangular antiferromagnet Li4FeSbO6: Spin order, field-induced transitions and anomalous critical behavior. Dalton Trans. 2013, 42, 1550–1566. [Google Scholar] [CrossRef] [PubMed]
- Fisher, M.E. Lattice statistics in a magnetic field, I. A two-dimensional super-exchange antiferromagnet. Proc. R. Soc. Lond. Ser. A 1960, 254, 66–85. [Google Scholar]
- Fisher, M.E. Relation between the specific heat and susceptibility of an antiferromagnet. Philos. Mag. 1962, 7, 1731–1743. [Google Scholar] [CrossRef]
- Losee, D.B.; McElearney, J.N.; Shankle, G.E.; Carlin, R.L.; Cresswell, P.J.; Robinson, W.T. An anisotropic low-dimensiomal Izing system, [(CH3)3NH]CoCl32H2O: Its structure and canted antiferromagnetic behavior. Phys. Rev. B 1973, 8, 2185–2199. [Google Scholar] [CrossRef]
- Blöchl, P.E. Projector augmented-wave method. Phys. Rev. B 1994, 50, 17953–17979. [Google Scholar] [CrossRef]
- Kresse, G.; Joubert, D. From ultrasoft pseudopotentials to the projector augmented-wave method. Phys. Rev. B 1999, 59, 1758–1775. [Google Scholar] [CrossRef]
- Kresse, G.; Furthmüller, J. Efficient iterative schemes for ab initio total-energy calculations using a plane-wave basis set. Phys. Rev. B 1996, 54, 11169–11186. [Google Scholar] [CrossRef]
- Perdew, J.P.; Burke, K.; Ernzerhof, M. Generalized gradient approximation made simple. Phys. Rev. Lett. 1996, 77, 3865–3868. [Google Scholar] [CrossRef]
- Dudarev, S.L.; Botton, G.A.; Savrasov, S.Y.; Humphreys, C.J.; Sutton, A.P. Electron-energy-loss spectra and the structural stability of nickel oxide: An LSDA+U study. Phys. Rev. B 1998, 57, 1505. [Google Scholar] [CrossRef]
- Whangbo, M.-H.; Koo, H.-J.; Kremer, R.K. Spin Exchanges between Transition Metal Ions Governed by the Ligand p-Orbitals in Their Magnetic Orbitals. Molecules 2021, 26, 531. [Google Scholar] [CrossRef] [PubMed]
- Sudorgin, N.G.; Nalbandyan, V.B. Quantitative X-ray monitoring of electrode processes in sealed cells. Reduction of zirconium β-molybdate by lithium. Soviet Electrochem. 1992, 28, 100–102. [Google Scholar]






| Source | a, Å | b, Å | c, Å | V, Å3 |
|---|---|---|---|---|
| [16] | 8.9667 (18) | 5.1574 (14) | 10.1878 (26) | 471.1 |
| [17] | 8.9925 (4) | 5.1469 (2) | 10.1691 (5) | 470.7 |
| This work | 8.9945 (19) | 5.1488 (12) | 10.1628 (18) | 470.6 |
| (a) Average bond lengths | |||
| Bonds | Sum of Ionic Radii [24] | X-ray Diffraction [17] | Optimized (This Work) |
| Li-O | 1.98 | 2.20 | 2.08 |
| Ni-O | 2.07 | 2.13 | 2.07 |
| Te-O | 1.94 | 1.87 | 1.97 |
| (b) Oxidation states from bond valence sum analysis [25] | |||
| Expected a | X-ray Diffraction [17] | Optimized (This Work) | |
| Li | +1 | +0.68 | +0.82 |
| Ni | +2 | +2.13 | +1.99 |
| Te | +6 | +6.98 | +5.29 |
| O1 (16g) | −2 | −2.15 | −1.87 |
| O2 (8f) | −2 | −1.70 | −1.72 |
| Θ, K | μeff, μB/f.u. | Tmax, K | TN, K | J, K | BSF, T | |
|---|---|---|---|---|---|---|
| Li2Ni2TeO6 | −20 ± 1 | 4.47 ± 0.01 | ~34 | 24.4 ± 0.2 | −8 ± 1 | ~4.7 |
| K2Ni2TeO6 | −13 ± 1 | 4.45 ± 0.01 | ~34 | 22.8 ± 0.2 | −8 ± 1 | ~4.4 |
| Effective g-Factor | ΔB*, mT | D, mT/K | β | |
|---|---|---|---|---|
| Li2Ni2TeO6 | 2.20 ± 0.03 | 217 ± 5 | - | 0.60 ± 0.05 |
| K2Ni2TeO6 | 2.20 ± 0.03 | 290 ± 5 | 0.4 | 1 ± 0.05 |
| Li2Ni2TeO6 | Li3Ni2SbO6 | |||||
|---|---|---|---|---|---|---|
| Ni…Ni | Ueff = 3 eV | Ueff = 4 eV | Ni…Ni | Ueff = 3 eV | Ueff = 4 eV | |
| J1 | 2.961 | 39.57 | 31.41 | 2.983 | 19.6 | 16.1 |
| J1′ | 2.999 | 31.39 | 25.05 | 2.995 | 41.7 | 33.0 |
| J2 | 5.178 | −1.93 | −1.43 | 5.179 | −0.14 | −0.08 |
| J2′ | 5.160 | 0.40 | 0.41 | 5.183 | −2.5 | −1.9 |
| J3 | 6.019 | −33.47 | −26.59 | 5.985 | −22.8 | −17.7 |
| J3′ | 5.949 | −40.53 | −31.45 | 5.980 | −29.0 | −22.8 |
| Ni…Ni | Ueff = 3 eV | Ueff = 4 eV | |
|---|---|---|---|
| J1 | 3.035 | 26.8 | 21.2 |
| J2 | 5.256 | −0.8 | −0.6 |
| J3 | 6.069 | −41.2 | −32.2 |
| Li2Ni2TeO6 | Li3Ni2SbO6 | K2Ni2TeO6 | ||||
|---|---|---|---|---|---|---|
| Ueff | 3 eV | 4 eV | 3 eV | 4 eV | 3 eV | 4 eV |
| FM | 0 | 0 | 0 | 0 | 0 | 0 |
| AFM | 6.8 | 5.3 | 3.4 | 2.7 | 0.6 | 0.5 |
Publisher’s Note: MDPI stays neutral with regard to jurisdictional claims in published maps and institutional affiliations. |
© 2022 by the authors. Licensee MDPI, Basel, Switzerland. This article is an open access article distributed under the terms and conditions of the Creative Commons Attribution (CC BY) license (https://creativecommons.org/licenses/by/4.0/).
Share and Cite
Vasilchikova, T.; Vasiliev, A.; Evstigneeva, M.; Nalbandyan, V.; Lee, J.-S.; Koo, H.-J.; Whangbo, M.-H. Magnetic Properties of A2Ni2TeO6 (A = K, Li): Zigzag Order in the Honeycomb Layers of Ni2+ Ions Induced by First and Third Nearest-Neighbor Spin Exchanges. Materials 2022, 15, 2563. https://doi.org/10.3390/ma15072563
Vasilchikova T, Vasiliev A, Evstigneeva M, Nalbandyan V, Lee J-S, Koo H-J, Whangbo M-H. Magnetic Properties of A2Ni2TeO6 (A = K, Li): Zigzag Order in the Honeycomb Layers of Ni2+ Ions Induced by First and Third Nearest-Neighbor Spin Exchanges. Materials. 2022; 15(7):2563. https://doi.org/10.3390/ma15072563
Chicago/Turabian StyleVasilchikova, Tatyana, Alexander Vasiliev, Maria Evstigneeva, Vladimir Nalbandyan, Ji-Sun Lee, Hyun-Joo Koo, and Myung-Hwan Whangbo. 2022. "Magnetic Properties of A2Ni2TeO6 (A = K, Li): Zigzag Order in the Honeycomb Layers of Ni2+ Ions Induced by First and Third Nearest-Neighbor Spin Exchanges" Materials 15, no. 7: 2563. https://doi.org/10.3390/ma15072563
APA StyleVasilchikova, T., Vasiliev, A., Evstigneeva, M., Nalbandyan, V., Lee, J.-S., Koo, H.-J., & Whangbo, M.-H. (2022). Magnetic Properties of A2Ni2TeO6 (A = K, Li): Zigzag Order in the Honeycomb Layers of Ni2+ Ions Induced by First and Third Nearest-Neighbor Spin Exchanges. Materials, 15(7), 2563. https://doi.org/10.3390/ma15072563

