Flexural Creep Response of Hybrid GFRP–FRC Sandwich Panels
Abstract
:1. Introduction
2. Materials, Hybrid Sandwich Panel, Experimental Programme and Test Methods
2.1. Materials and Characterization
2.2. Hybrid GFRP–FRC Sandwich Panels
2.3. Experimental Programme
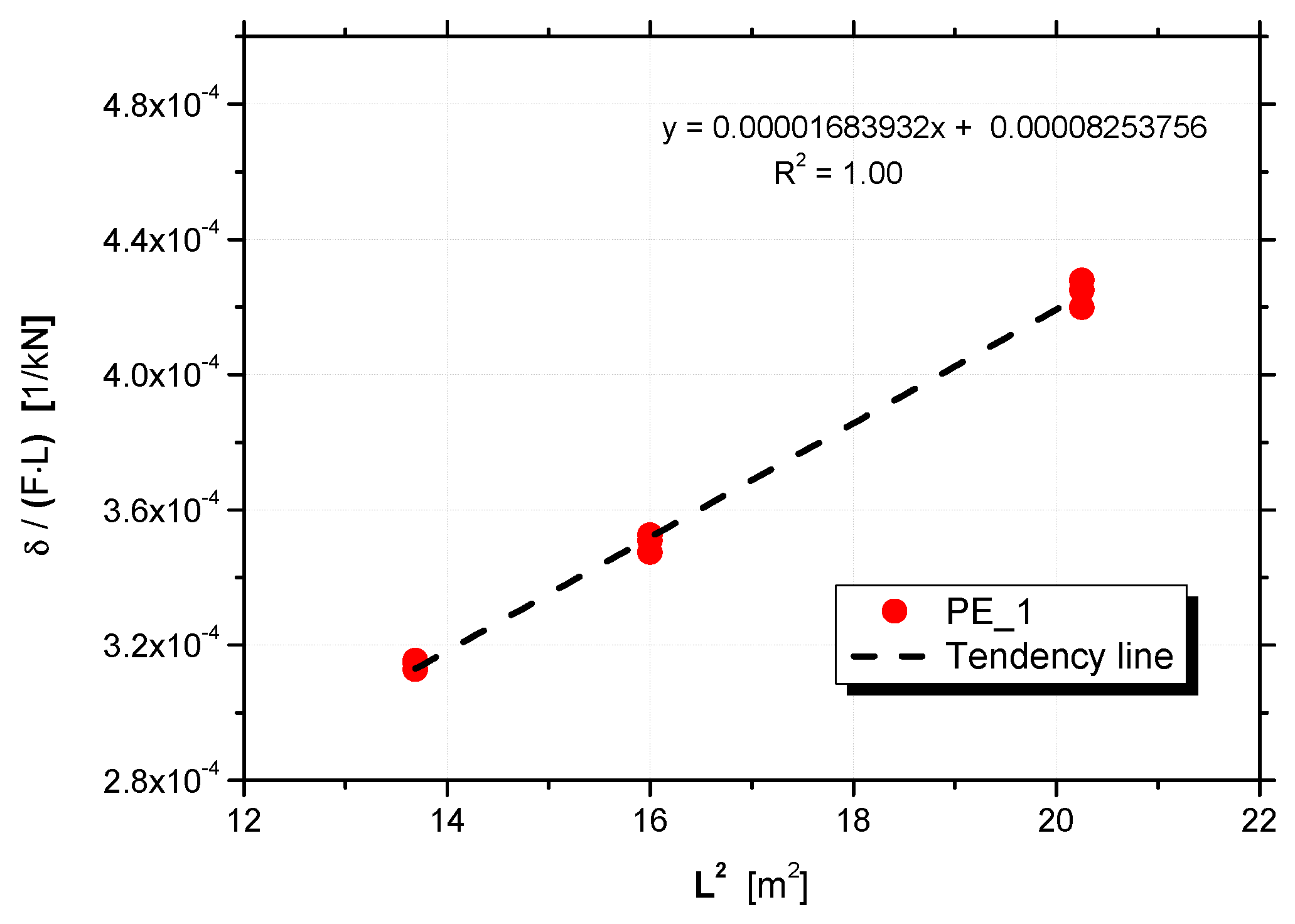
2.3.1. Flexural Tests with Variable Span
2.3.2. Flexural Tests up to Failure
2.3.3. Flexural Creep Tests
3. Experimental Results
3.1. Flexural Test with Variable Span
3.2. Flexural Tests up to the Failure
3.3. Creep Flexural Tests
4. Analytical Modelling
4.1. Findley’s Power Law
4.2. Composed Creep Model
4.2.1. Instantaneous Deflection
4.2.2. Time-Dependent Deflection
5. Conclusions
- In the flexural tests up to failure, the developed hybrid panels presented an almost linear behaviour. The failure mode was characterized by local web buckling at the point loads, followed by FRC crushing.
- In the flexural creep tests, the instantaneous loading and unloading deflections were similar and approximately equal to the values registered in the flexural tests up to failure. Furthermore, after approximately 2000 h of loading, a creep coefficient of 0.27 was obtained.
- Finally, an adequate bond between the FRC and the GFRP was achieved in the tested panels, as no slip at the FRC–GFRP interface was observed.
- The analytical studies showed that the long-term response of hybrid GFRP–FRC panels can be predicted by using the CCM based on the creep response of the constituent materials taking into account the environmental conditions (temperature and relative humidity).
- By using CCM, it is expected that the developed panel will comply with the provisions of Eurocode 2 [30] in terms of deflection for a service life of 50 years under a quasi-permanent load combination.
- Based on analytical modelling, the transfer of flexural load from the FRC to the GFRP is predicted to occur due to the higher flexural modulus reduction in the FRC, indicating that the FRC contribution to the flexural stiffness of the panels becomes reduced over time.
Author Contributions
Funding
Institutional Review Board Statement
Informed Consent Statement
Data Availability Statement
Acknowledgments
Conflicts of Interest
Appendix A
References
- Sharaf, T.; Fam, A. Experimental investigation of large-scale cladding sandwich panels under out-of-plane transverse loading for building applications. Compos. Constr. 2011, 15, 422–430. [Google Scholar] [CrossRef]
- Cabral-Fonseca, S.; Correia, J.R.; Rodrigues, M.P.; Branco, F.A. Artificial accelerated ageing of GFRP pultruded profiles made of polyester and vinylester resins: Characterisation of physical-chemical and mechanical damage. Strain 2012, 48, 162–173. [Google Scholar] [CrossRef] [Green Version]
- Pascual, C.; De Castro, J.; Kostro, A.; Schueler, A.; Vassilopoulos, A.P.; Keller, T. Diffuse light transmittance of glass fiber-reinforced polymer laminates for multifunctional load-bearing structures. J. Compos. Mater. 2014, 48, 3621–3636. [Google Scholar] [CrossRef]
- Keller, T.; Rothe, J.; De Castro, J.; Osei-Antwi, M. GFRP-Balsa sandwich bridge deck: Concept, design and experimental validation. J. Compos. Constr. 2014, 18, 04013043. [Google Scholar] [CrossRef]
- Keller, T.; Haas, C.; Vallée, T. Structural Concept, Design, and Experimental Verification of a Glass Fiber-Reinforced Polymer Sandwich Roof Structure. Compos. Constr. 2008, 12, 454–468. [Google Scholar] [CrossRef]
- Keller, T.; De Castro, J. System ductility and redundancy of FRP beam structures with ductile adhesive joints. Compos. Part B Eng. 2005, 36, 586–596. [Google Scholar] [CrossRef]
- Correia, J.R.; Branco, F.; Gonilha, J.; Silva, N.; Camotim, D. Glass fibre reinforced polymer pultruded flexural members: Assessment of existing design methods. Struct. Eng. Int. J. Int. Assoc. Bridg. Struct. Eng. 2010, 20, 362–369. [Google Scholar] [CrossRef]
- Feo, L.; Mosallam, A.S.; Penna, R. Mechanical behavior of web-flange junctions of thin-walled pultruded I-profiles: An experimental and numerical evaluation. Compos. Part B Eng. 2013, 48, 18–39. [Google Scholar] [CrossRef]
- Deskovic, N.; Triantafillou, T.C.; Meier, U. Innovative Design of FRP Combined with Concrete: Short-Term Behavior. J. Struct. Eng. 1995, 121, 1069–1078. [Google Scholar] [CrossRef]
- Hall, J.E.; Mottram, J.T. Combined FRP reinforcement and permanent formwork for concrete members. J. Compos. Constr. 1998, 2, 78–86. [Google Scholar] [CrossRef]
- Canning, L.; Hollaway, L.; Thorne, A.M. An investigation of the composite action of an FRP/concrete prismatic beam. Constr. Build. Mater. 1999, 13, 417–426. [Google Scholar] [CrossRef]
- Fam, A.Z.; Rizkalla, S.H. Flexural behavior of concrete-filled fiber-reinforced polymer circular tubes. J. Compos. Constr. 2002, 6, 123–132. [Google Scholar] [CrossRef]
- Hulatt, J.; Hollaway, L.; Thorne, A. The use of advanced polymer composites to form an economic structural unit. Constr. Build. Mater. 2003, 17, 55–68. [Google Scholar] [CrossRef]
- Keller, T.; Schaumann, E.; Vallée, T. Flexural behavior of a hybrid FRP and lightweight concrete sandwich bridge deck. Compos. Part A Appl. Sci. Manuf. 2007, 38, 879–889. [Google Scholar] [CrossRef]
- Correia, J.R.; Branco, F.A.; Ferreira, J.G. Flexural behaviour of GFRP–concrete hybrid beams with interconnection slip. Compos. Struct. 2007, 77, 66–78. [Google Scholar] [CrossRef]
- Correia, J.R.; Branco, F.A.; Ferreira, J.G. Flexural behaviour of multi-span GFRP-concrete hybrid beams. Eng. Struct. 2009, 31, 1369–1381. [Google Scholar] [CrossRef]
- Correia, J.R.; Branco, F.A.; Ferreira, J. GFRP-concrete hybrid cross-sections for floors of buildings. Eng. Struct. 2009, 31, 1331–1343. [Google Scholar] [CrossRef]
- Gonilha, J.A.; Correia, J.R.; Branco, F.A. Structural behaviour of a GFRP-concrete hybrid footbridge prototype: Experimental tests and numerical and analytical simulations. Eng. Struct. 2014, 60, 11–22. [Google Scholar] [CrossRef]
- Mendes, P.J.D.; Barros, J.A.O.; Sena-Cruz, J.M.; Taheri, M. Development of a pedestrian bridge with GFRP profiles and fiber reinforced self-compacting concrete deck. Compos. Struct. 2011, 93, 2969–2982. [Google Scholar] [CrossRef] [Green Version]
- Gonilha, J.A.; Correia, J.R.; Branco, F.A. Creep response of GFRP–concrete hybrid structures: Application to a footbridge prototype. Compos. Part B Eng. 2013, 53, 193–206. [Google Scholar] [CrossRef]
- Alachek, I.; Reboul, N.; Jurkiewiez, B. Experimental and finite element analysis of the long-term behaviour of GFRP-concrete hybrid beams fabricated using adhesive bonding. Compos. Struct. 2019, 207, 148–165. [Google Scholar] [CrossRef]
- Bank, L.C. Composites for Construction; John Wiley & Sons, Inc: Hoboken, NJ, USA, 2006; pp. 140–526. [Google Scholar] [CrossRef]
- EN 1992-1-1; Eurocode 2: Design of Concrete Structures—Part 1-1: General Rules and Rules for Buildings. CEN: Brussels, Belgium, 2004; p. 12.
- CEB. CEB-FLIP MODEL CODE 1990. 1993. Available online: http://www.tocasa.es/zona2/CEB_FIP_model_code_1990_ing.pdf (accessed on 16 February 2022).
- Clarke, J.L. Structural Design of Polymer Composites; CRC Press: Boca Raton, FL, USA, 2003. [Google Scholar] [CrossRef]
- Gonilha, J.A.; Barros, J.; Correia, J.R.; Sena-Cruz, J.; Branco, F.A.; Ramos, L.F.; Gonçalves, D.; Alvim, M.R.; Santos, T. Static, dynamic and creep behaviour of a full-scale GFRP-SFRSCC hybrid footbridge. Compos. Struct. 2014, 118, 496–509. [Google Scholar] [CrossRef] [Green Version]
- NP EN 12390-3; Ensaios do Betão Endurecido—Parte 3: Resistência à Compressão de Provetes. CEN: Brussels, Belgium, 2011.
- NP EN 12390-13; Ensaios do Betão Endurecido—Part 13: Determinação do Modulo de Elasticidade Secante à Compressão. CEN: Brussels, Belgium, 2013.
- CEN EN 14651; Test Method for Metallic Fibre Concrete—Measuring the Flexural Tensile Strength. CEN: Brussels, Belgium, 2002.
- EN 1992-2; Eurocode 2: Design of Concrete Structures—Part 2: Concrete Bridges—Design and Detailing Rules. CEN: Brussels, Belgium, 2005; p. 10. [CrossRef]
- ISO 527; Determination of Tensile Properties—Part 4: Test Conditions for Isotropic and Orthotropic Fibre-Reinforced Plastic Composites. ISO: Geneva, Switzerland, 1997.
- ASTM D6641; Standard Test Method for Compressive Properties of Polymer Matrix Composite Materials Using a Combined Loading Compression (CLC) Test Fixture. ASTM: West Conshohocken, PA, USA, 2014; pp. 1–13.
- ASTM D5379; Standard Test Method for Shear Properties of Composite Materials by the V-Notched. ASTM: West Conshohocken, PA, USA, 2005; pp. 1–13.
- Proença, M.; Garrido, M.; Correia, J.R. Short-Term Static and Dynamic Flexural Behaviour of the GFRP Sandwich Panels—Assessment of Preliminary Production; Report CERIS DTC 14/2019; University of Lisbon: Lisbon, Portugal, 2019; p. 34. [Google Scholar]
- Sena-Cruz, J.; Correia, L.; Ribeiro, F.; Figueira, D.; Benzo, P.G.; Barros, J.; Pereira, E.; Valente, I. The effect of surface treatment and environmental actions on the adhesive connection between GFRP laminate surface and fresh FRC. Constr. Build. Mater. 2020, 258, 119594. [Google Scholar] [CrossRef]
- Sena-Cruz, J.; Escusa, G.; Figueira, D.; Ramezansefat, H. A hybrid cementitious based-G/CFRP sandwich panel: Concept, design and initial outcomes. In Proceedings of the 12th International Conference on Sandwich Structures ICSS-12, Lausanne, Switzerland, 19–22 August 2018; EPFL-CCLab Composite Construction Laboratory: Lausanne, Switzerland, 2018; pp. 143–145. [Google Scholar] [CrossRef]
- EN 1990; Eurocode: Basis of Structural Design. CEN: Brussels, Belgium, 2002; p. 4.
- EN 1991-1-1; Eurocode 1: Actions on Structures—Part 1-1: General Actions—Densities, Self-Weight, Imposed Loads for Buildings. European Committee for Standardization (CEN): Brussels, Belgium, 2002; p. 4.
- CNR-DT 205/2007; Guide for the Design and Construction of Structures Made of FRP Pultruded Elements. CNR: Roma, Italy, 2008.
- Alto—Perfis Pultrudidos Lda. Available online: https://Alto.pt (accessed on 16 February 2022).
- CiviTest—Pesquisa de Novos Materiais Para a Engenharia Civil. Available online: https://www.Civitest.pt (accessed on 16 February 2022).
- Findley, W.N. 26-Year creep and recovery of poly(vinyl chloride) and polyethylene. Polym. Eng. Sci. 1987, 27, 582–585. [Google Scholar] [CrossRef]
- Mosallam, A.; Bank, L. Creep and Failure of a Full-Size Plastic Pultruded Frame. Compos. Eng. 1992, 2, 213–215. [Google Scholar]
- Mottram, J.T. Short- and long-term structural properties of pultruded beam assemblies fabricated using adhesive bonding. Compos. Struct. 1993, 25, 387–395. [Google Scholar] [CrossRef]
- Shao, Y.; Shanmugam, J. Deflection Creep of Pultruded Composite Sheet Piling. J. Compos. Constr. 2004, 8, 471–479. [Google Scholar] [CrossRef]
- Sá, M.F.; Gomes, A.M.; Correia, J.R.; Silvestre, N. Creep behavior of pultruded GFRP elements—Part 2: Analytical study. Compos. Struct. 2011, 93, 2409–2418. [Google Scholar] [CrossRef]
- Abdolpour, H.; Garzón-Roca, J.; Escusa, G.; Sena-Cruz, J.M.; Barros, J.A.O.; Valente, I.B. Development of a composite prototype with GFRP profiles and sandwich panels used as a floor module of an emergency house. Compos. Struct. 2016, 153, 81–95. [Google Scholar] [CrossRef]
- Huang, J.S.; Gibson, L.J. Creep of polymer foams. J. Mater. Sci. 1991, 26, 637–647. [Google Scholar] [CrossRef]
- Figueira, D.; Sena-Cruz, J.; Pereira, E.; Valente, I.; Barros, J.; Castro, F.; Soares, D. Influence of service temperature on shear creep behaviour of a rigid low-density closed-cell PIR foam. Constr. Build. Mater. 2019, 225, 1052–1063. [Google Scholar] [CrossRef]
- Garrido, M.; Correia, J.R.; Branco, F.A.; Keller, T. Creep behaviour of sandwich panels with rigid polyurethane foam core and glass-fibre reinforced polymer faces: Experimental tests and analytical modelling. J. Compos. Mater. 2014, 48, 2237–2249. [Google Scholar] [CrossRef]
- Scott, D.W.; Lai, J.S.; Zureick, A.H. Creep Behavior of Fiber-Reinforced Polymeric Composites: A Review of the Technical Literature. J. Reinf. Plast. Compos. 1995, 14, 588–617. [Google Scholar] [CrossRef]
- Correia, J.R.; Branco, F.A.; Silva, N.M.F.; Camotim, D.; Silvestre, N. First-order, buckling and post-buckling behaviour of GFRP pultruded beams. Part 1: Experimental study. Comput. Struct. 2011, 89, 2052–2064. [Google Scholar] [CrossRef]



















| Composition | Amount of Material per m3 of Mixture (kg) |
|---|---|
| Cement CEM I 42.5 R | 376 |
| Water | 196 |
| Fine sand | 156 |
| Gravel 12.5 mm | 626 |
| Fly ash | 200 |
| Superplasticizer | 12 |
| Steel fibres | 60 |
| Polypropylene | 2 |
| Batch | (MPa) | (GPa) | (MPa) | (MPa) | (MPa) | (MPa) | (MPa) | (MPa) | (MPa) |
|---|---|---|---|---|---|---|---|---|---|
| B1 | 49.61 (4.64%) | 26.91 (6.87%) | 6.13 (15.30%) | 12.51 (9.47%) | 11.78 (12.02%) | 12.22 (9.27%) | 12.07 (10.99%) | 10.92 (10.42%) | 9.37 (12.48%) |
| B2 | 43.26 (2.94%) | 24.47 (4.66%) | 3.54 (30.15%) | 7.52 (27.98%) | 7.18 (27.29%) | 7.30 (31.51%) | 7.60 (22.88%) | 6.60 (26.69%) | 5.69 (28.31%) |
| GFRP | (MPa) | (mm/m) | (GPa) | (MPa) | (mm/m) | (GPa) |
|---|---|---|---|---|---|---|
| Face sheets | 344.49 (18.37%) | 11.53 (18.59%) | 33.55 (11.65%) | 28.06 (28.97%) | 8.62 (46.32%) | 4.93 (7.42%) |
| Webs | 263.49 (13.06%) | 9.85 (3.77%) | 31.51 (15.96%) | 22.9 (29.66%) | - | - |
(MPa) | (mm/m) | (GPa) | (MPa) | (mm/m) | (GPa) |
|---|---|---|---|---|---|
| 322.80 (15.71%) | 12.33 (5.56%) | 29.80 (11.41%) | 93.5 (16.11%) | 10.29 (20.28%) | 10.30 (3.88%) |
(MPa) | (mm/m) | G (GPa) |
|---|---|---|
| 50.23 (2.81%) | 15.00 (12.67%) | 3.6 (7.80%) |
| Panel | Casting Date | Batch | FRC Age at Testing Date (Days) | ||
|---|---|---|---|---|---|
| VST | FFT | FCT | |||
| P1_F | 14/02/2020 | B1 | 87 | 87 | - |
| P2_F | 14/02/2020 | B1 | 90 | 90 | - |
| P3_C | 12/05/2020 | B2 | - | - | 77 |
| P4_C | 12/05/2020 | B2 | - | - | 77 |
| Panel | D (kN m) | U (kN) |
|---|---|---|
| P1_F | 1038.7 | 10,314.8 |
| P2_F | 1061.2 | 7230.7 |
| (Average) | 1050.0 | 8772.8 |
| Panel | (kN) | (mm) | (kN m) | (kN/mm) | (%) | Failure Mode |
|---|---|---|---|---|---|---|
| P1_F | 70.94 | 127.89 | 53.21 | 0.650 | −0.249 | Buckling of the webs followed by concrete crushing at the load point |
| P2_F | 71.35 | 129.91 | 53.51 | 0.657 | −0.272 | Buckling of the webs followed by concrete crushing at the load point |
| Panel | (mm) | (mm) | (-) | (mm) | (mm) | (-) |
|---|---|---|---|---|---|---|
| P3_C | 21.12 | 5.51 | 0.26 | 20.82 | 2.93 | 0.14 |
| P4_C | 23.29 | 6.19 | 0.27 | 22.52 | 2.97 | 0.13 |
| Specimen | Applied Load (kN/m) | Loading Stage | Unloading Stage | |||
|---|---|---|---|---|---|---|
(mm) | m (mm) | n (-) | (mm) | (-) | ||
| P3_C | 3.76 | 22.93 | 0.5734 | 0.2392 | 0.3688 | 0.2392 |
| P4_C | 3.76 | 25.38 | 0.6304 | 0.2430 | 0.3600 | 0.2430 |
| Elemental Areas | (GPa) | (mm2) | (mm4) |
|---|---|---|---|
| FRC layer | 24.47 | 600 | 6.24 × 106 |
| GFRP layer | 33.55 | 3600 | 24.56 × 106 |
| Elemental Areas | (GPa) | (mm2) |
|---|---|---|
| GFRP webs | 3.6 | 1680 |
| Specimen | (mm) |
|---|---|
| Experimental-P3_C | 22.93 |
| Experimental-P4_C | 25.38 |
| Analytical | 22.05 |
| Specimen | (Years) | (Years) | (Years) | |
|---|---|---|---|---|
| Findley—P3_C | (mm) | 9.39 | 11.51 | 13.43 |
| (%) | 40.95 | 50.20 | 58.57 | |
| Findley—P4_C | (mm) | 10.72 | 13.17 | 15.39 |
| (%) | 42.24 | 51.89 | 60.64 | |
| Composed creep model (CCM) | (mm) | 5.35 | 5.63 | 5.87 |
| (%) | 24.26 | 25.53 | 26.62 |
Publisher’s Note: MDPI stays neutral with regard to jurisdictional claims in published maps and institutional affiliations. |
© 2022 by the authors. Licensee MDPI, Basel, Switzerland. This article is an open access article distributed under the terms and conditions of the Creative Commons Attribution (CC BY) license (https://creativecommons.org/licenses/by/4.0/).
Share and Cite
Silva, T.; Correia, L.; Dehshirizadeh, M.; Sena-Cruz, J. Flexural Creep Response of Hybrid GFRP–FRC Sandwich Panels. Materials 2022, 15, 2536. https://doi.org/10.3390/ma15072536
Silva T, Correia L, Dehshirizadeh M, Sena-Cruz J. Flexural Creep Response of Hybrid GFRP–FRC Sandwich Panels. Materials. 2022; 15(7):2536. https://doi.org/10.3390/ma15072536
Chicago/Turabian StyleSilva, Tiago, Luís Correia, Mozhdeh Dehshirizadeh, and José Sena-Cruz. 2022. "Flexural Creep Response of Hybrid GFRP–FRC Sandwich Panels" Materials 15, no. 7: 2536. https://doi.org/10.3390/ma15072536
APA StyleSilva, T., Correia, L., Dehshirizadeh, M., & Sena-Cruz, J. (2022). Flexural Creep Response of Hybrid GFRP–FRC Sandwich Panels. Materials, 15(7), 2536. https://doi.org/10.3390/ma15072536
