Numerical Investigation of Interlaminar Stress of CRTS II Slab Ballastless Track Induced by Creep and Shrinkage of Concrete
Abstract
:1. Introduction
2. Calculation of Concrete Shrinkage and Creep in ABAQUS
2.1. Secondary Development of ABAQUS
2.2. Shrinkage and Creep Models of Concrete
2.3. Shrinkage and Creep Models of CA Mortar
2.4. Verification of the Secondary Development of ABAQUS
3. Finite Element Modeling
3.1. Information of Model
3.2. Grid of the Finite Model
- (1)
- The longitudinal length of the model is reduced to 2 m;
- (2)
- Transverse loads are arranged on the side of the track slab to simulate the difference in shrinkage and creep of each layer of ballastless track.
4. Results and Discussion
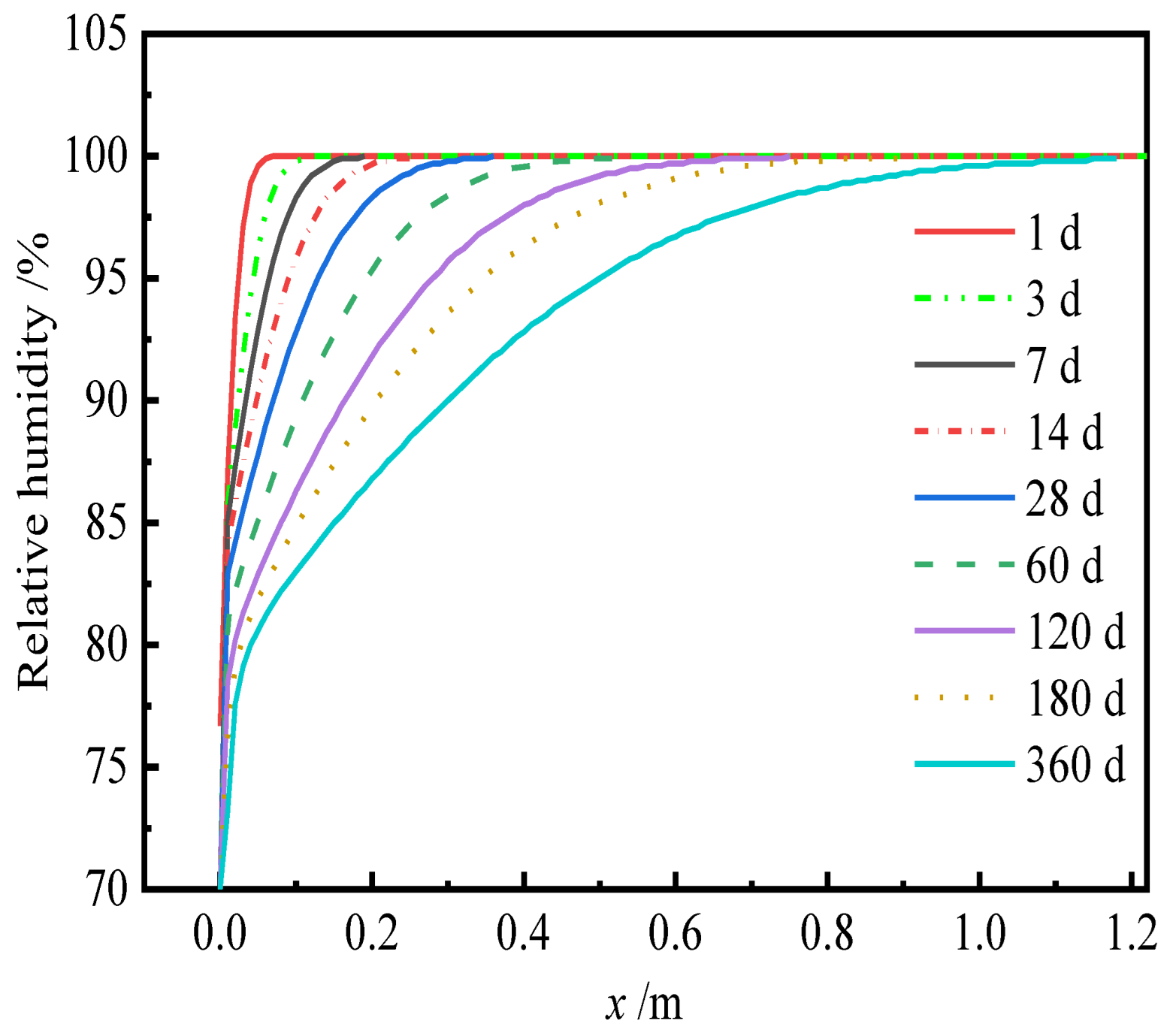
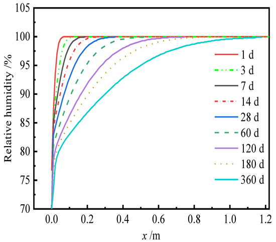
4.1. Relative Humidity and Shrinkage Strain of CA Mortar
4.2. Model Validation
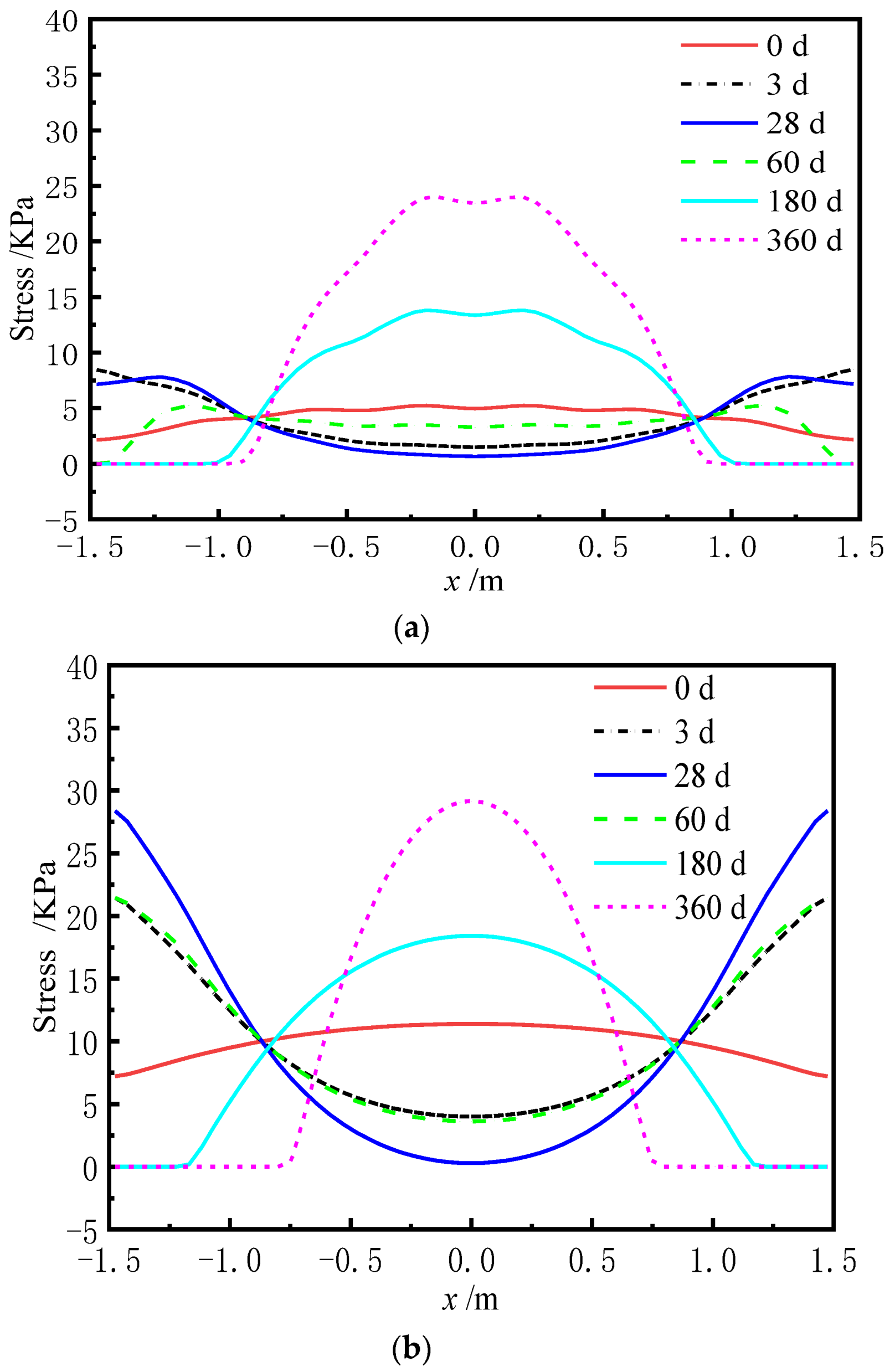
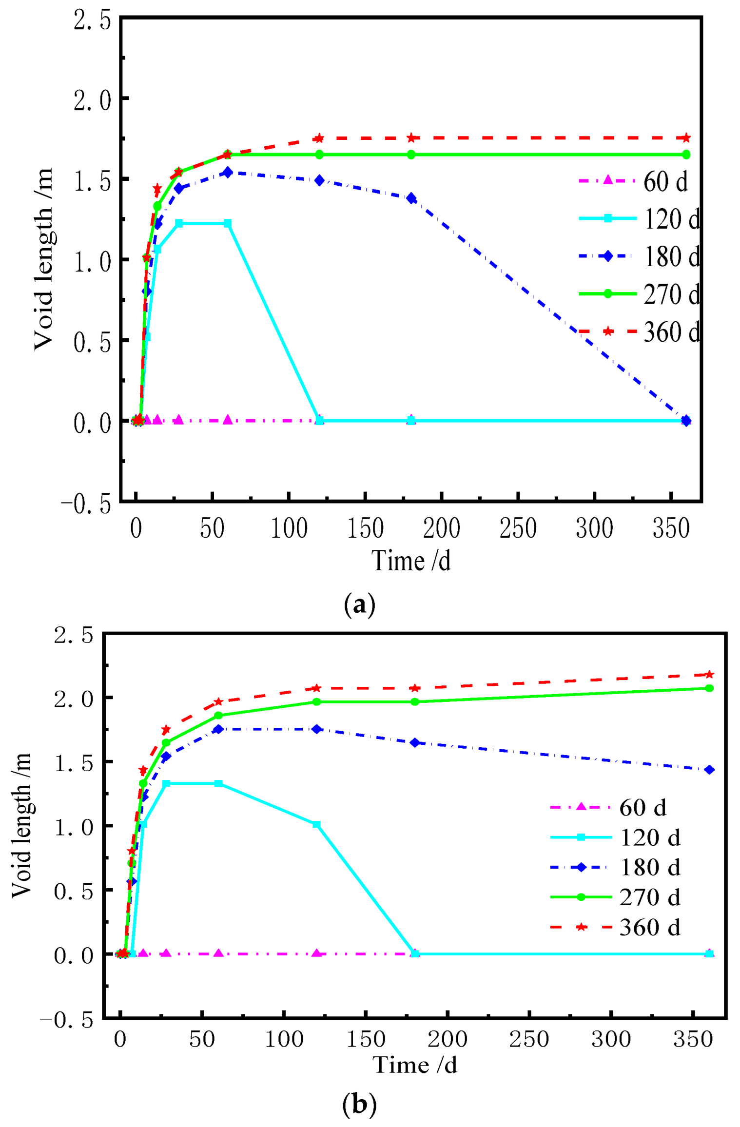
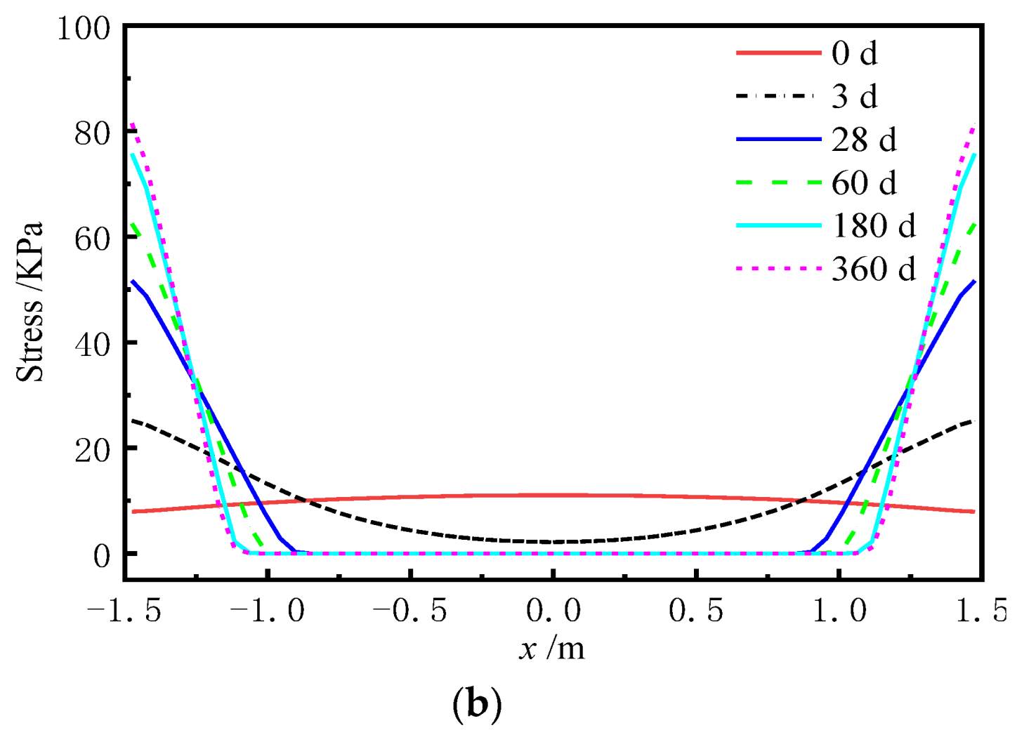
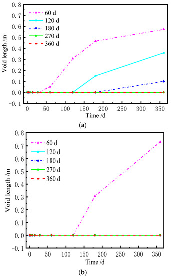
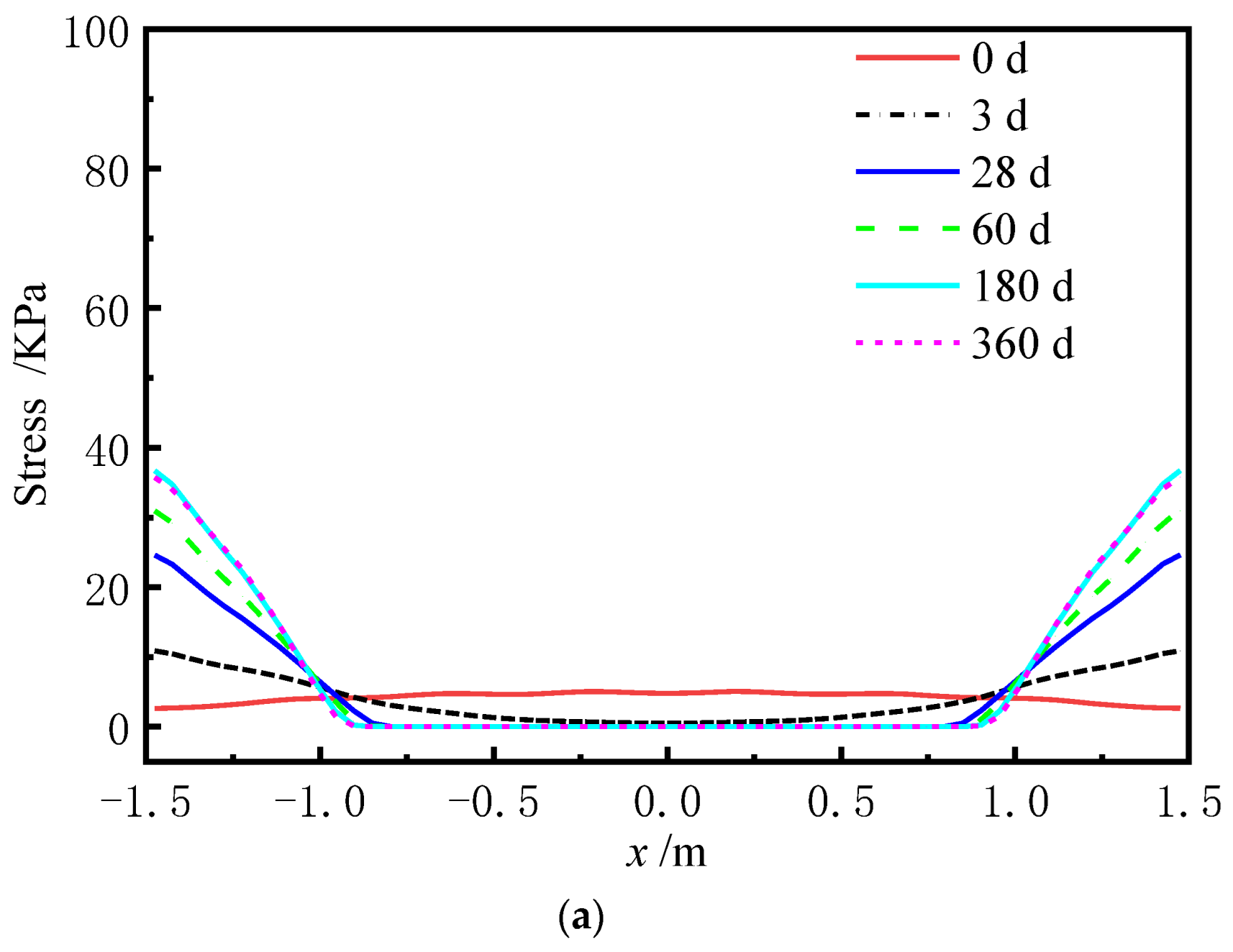
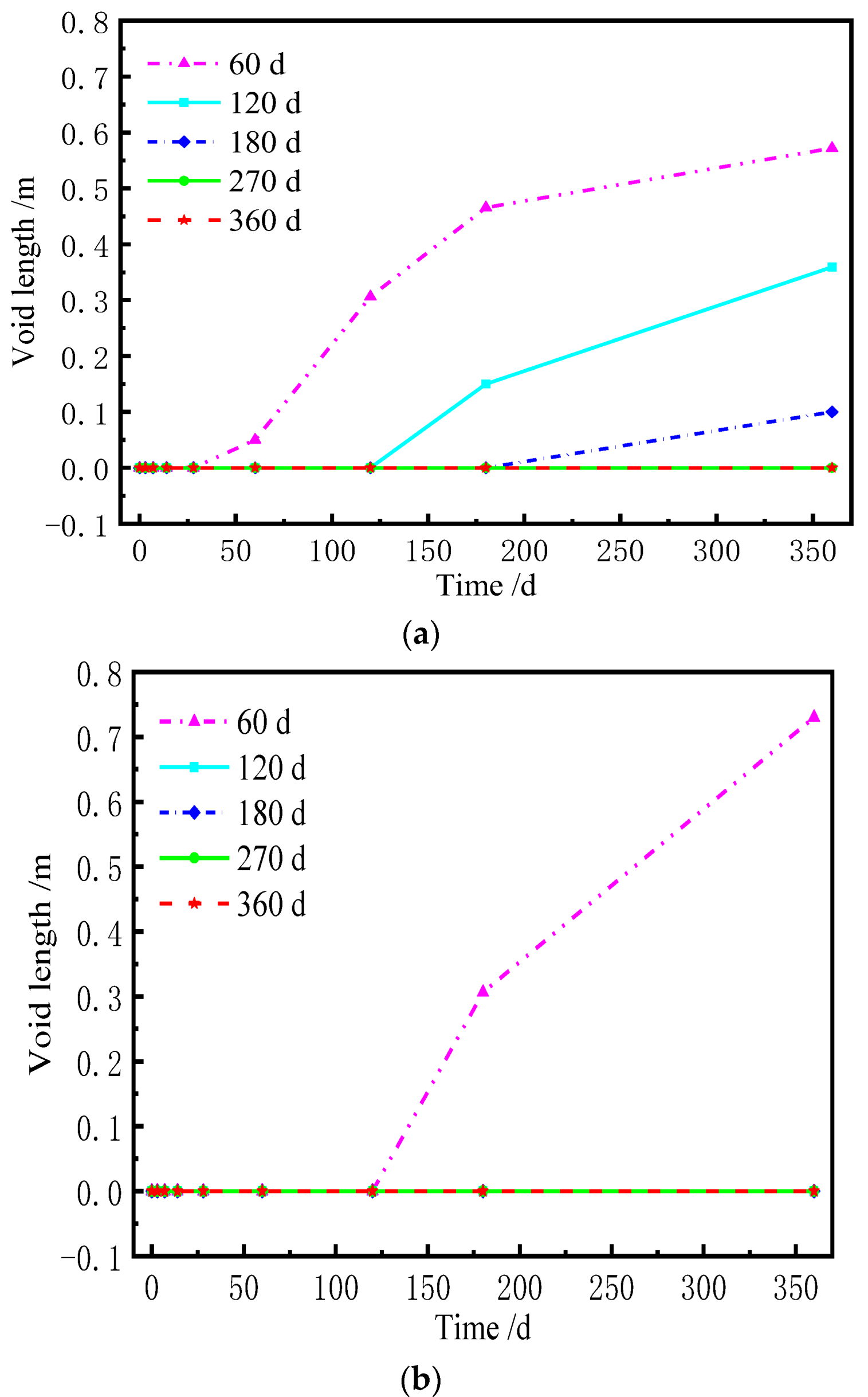
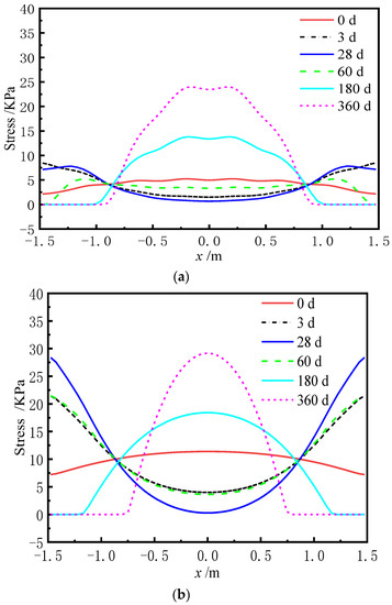
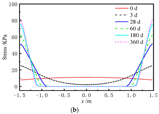
4.3. Normal Stress of the Sliding Layer
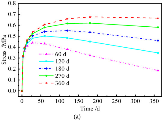
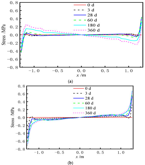
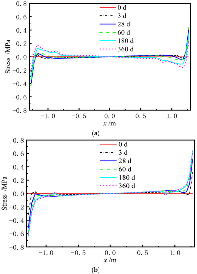
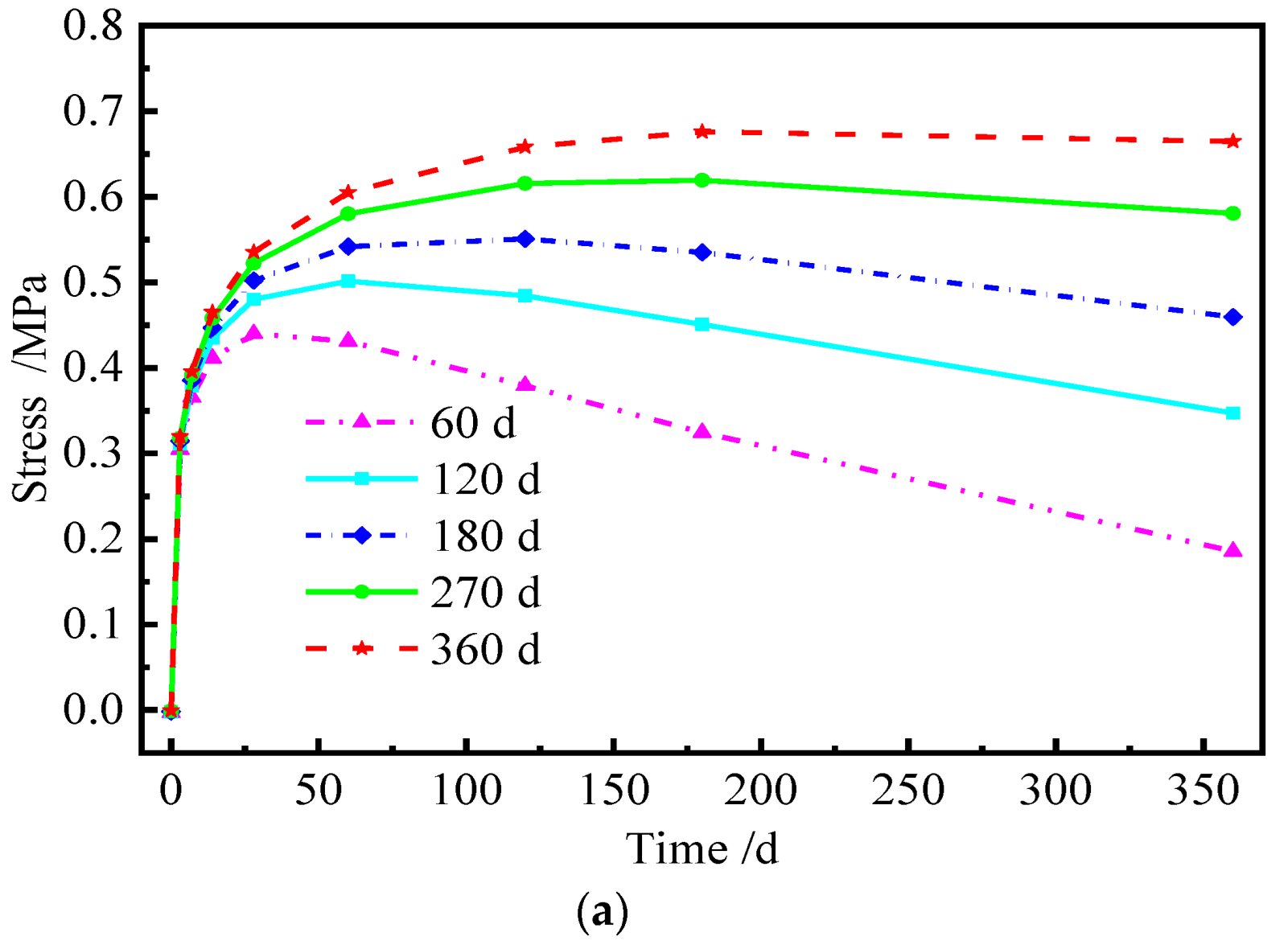
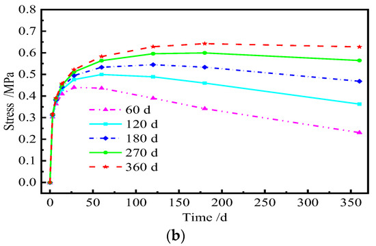
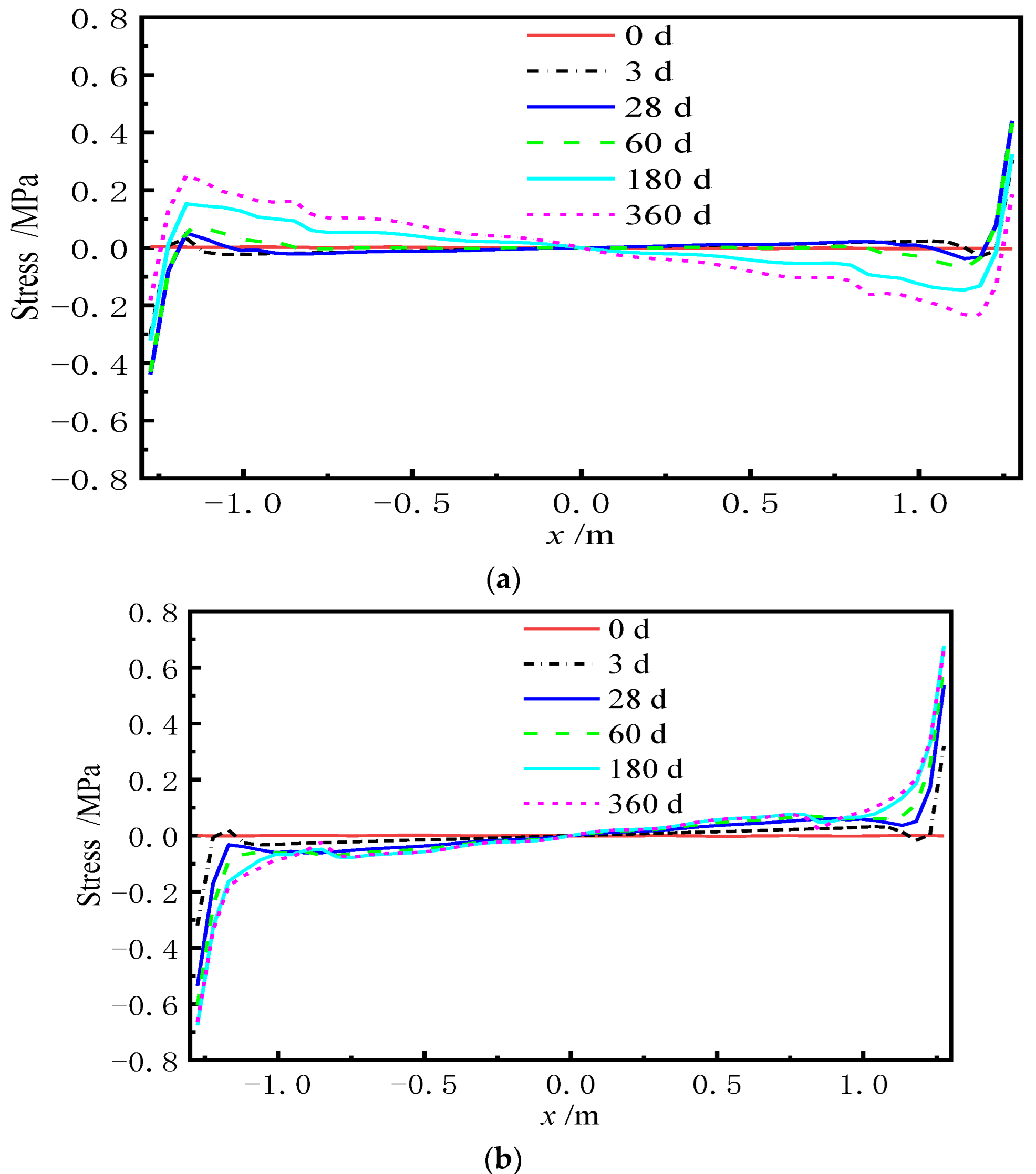
4.4. Interfacial Stress between CA Mortar and the Track Slab
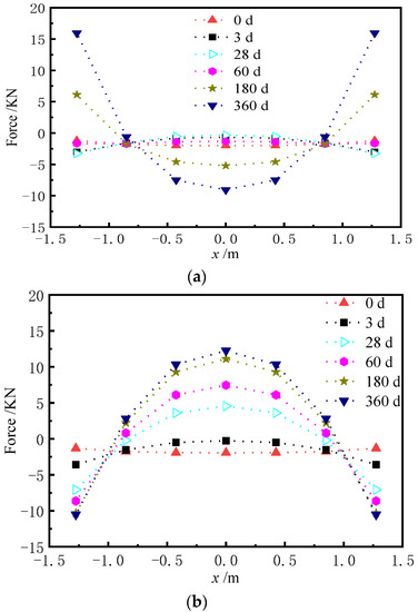
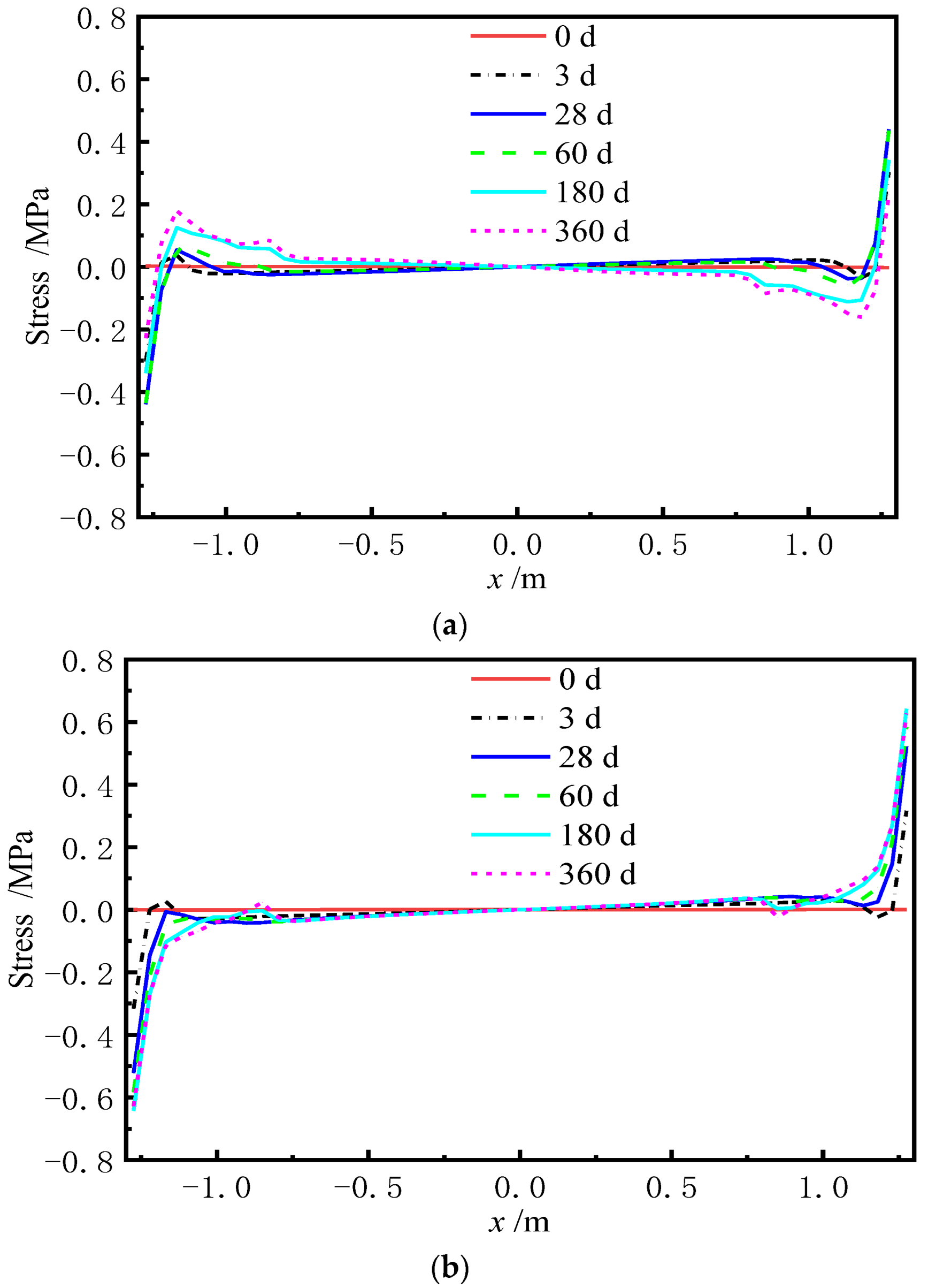
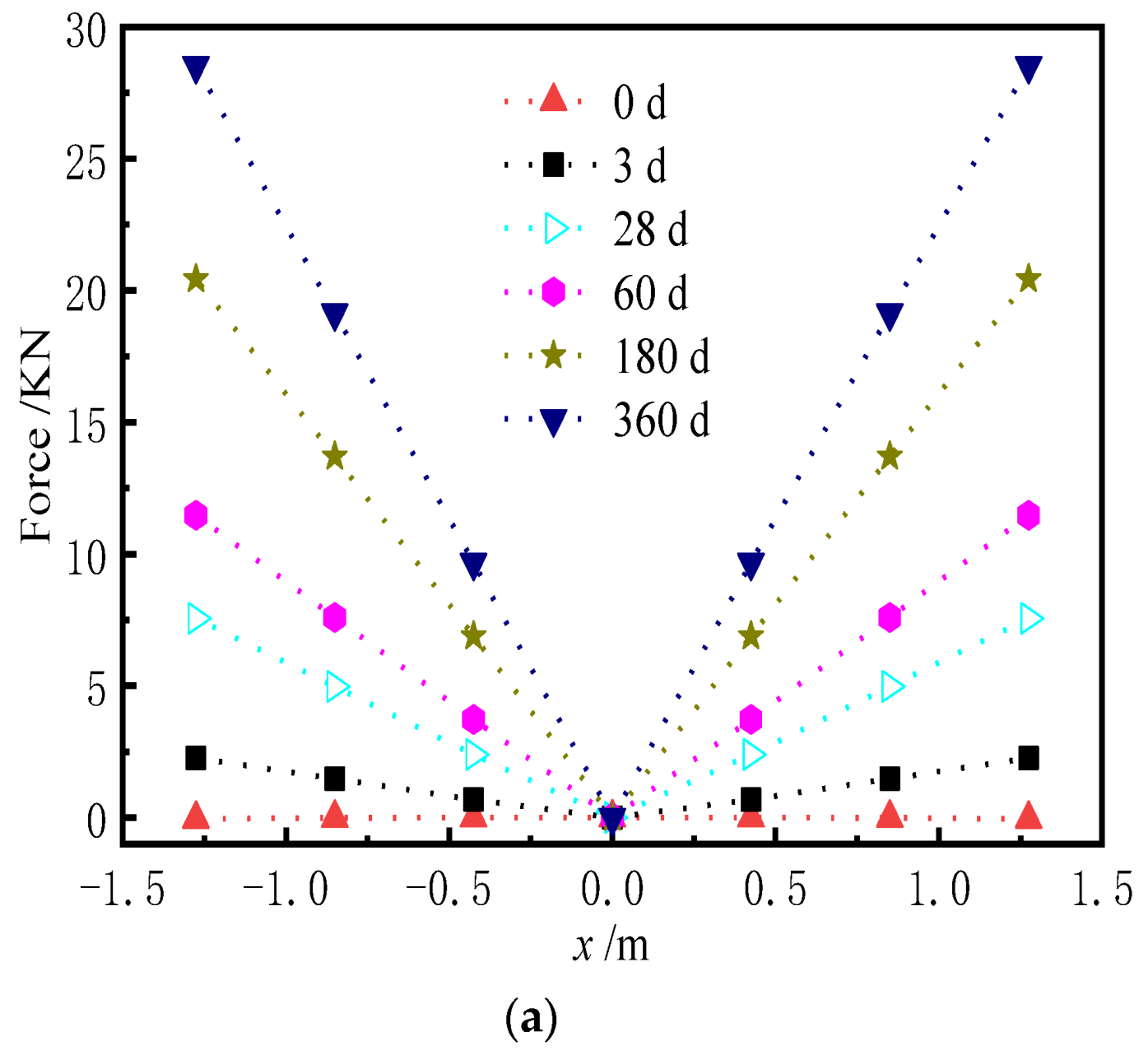
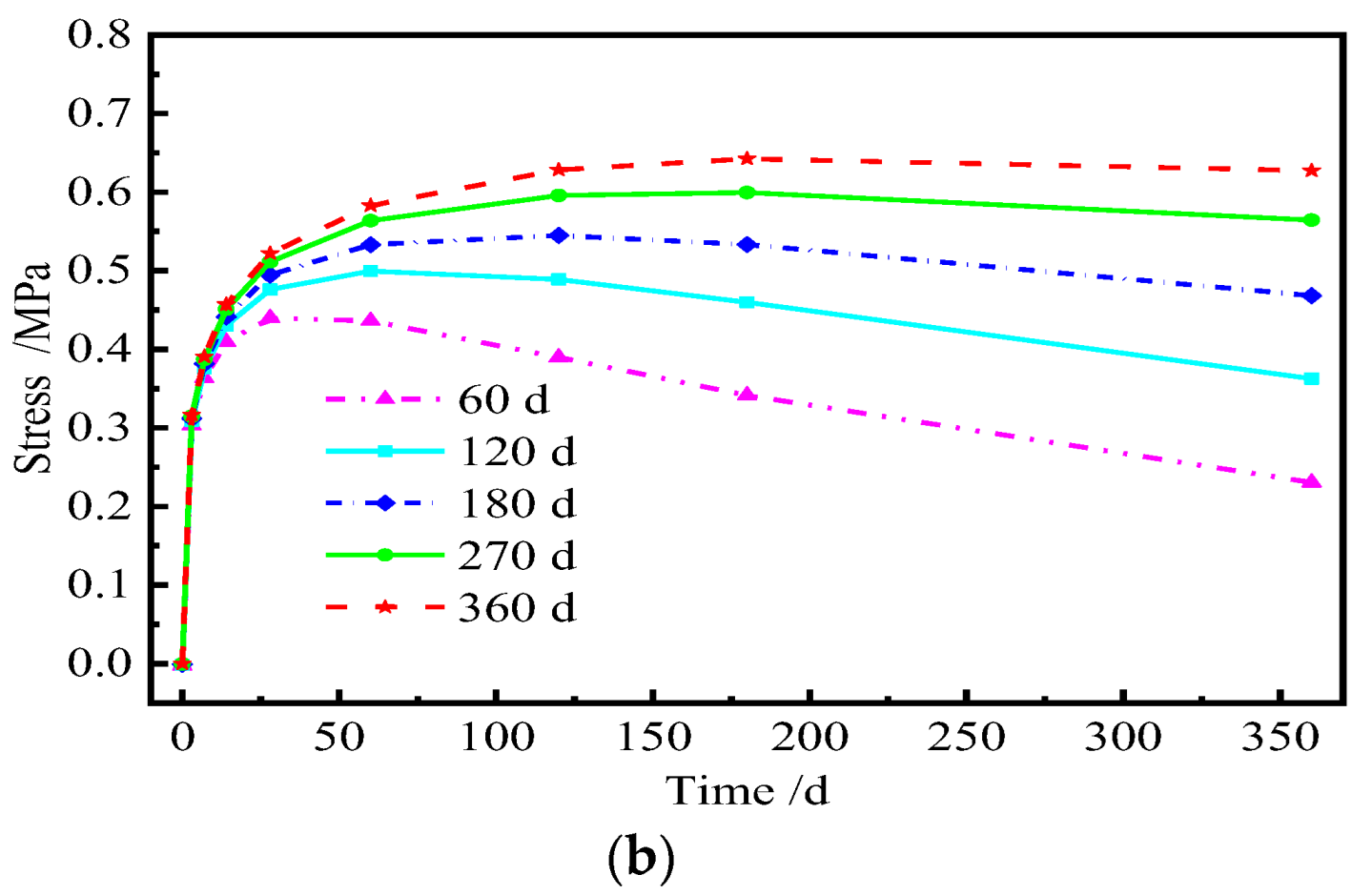
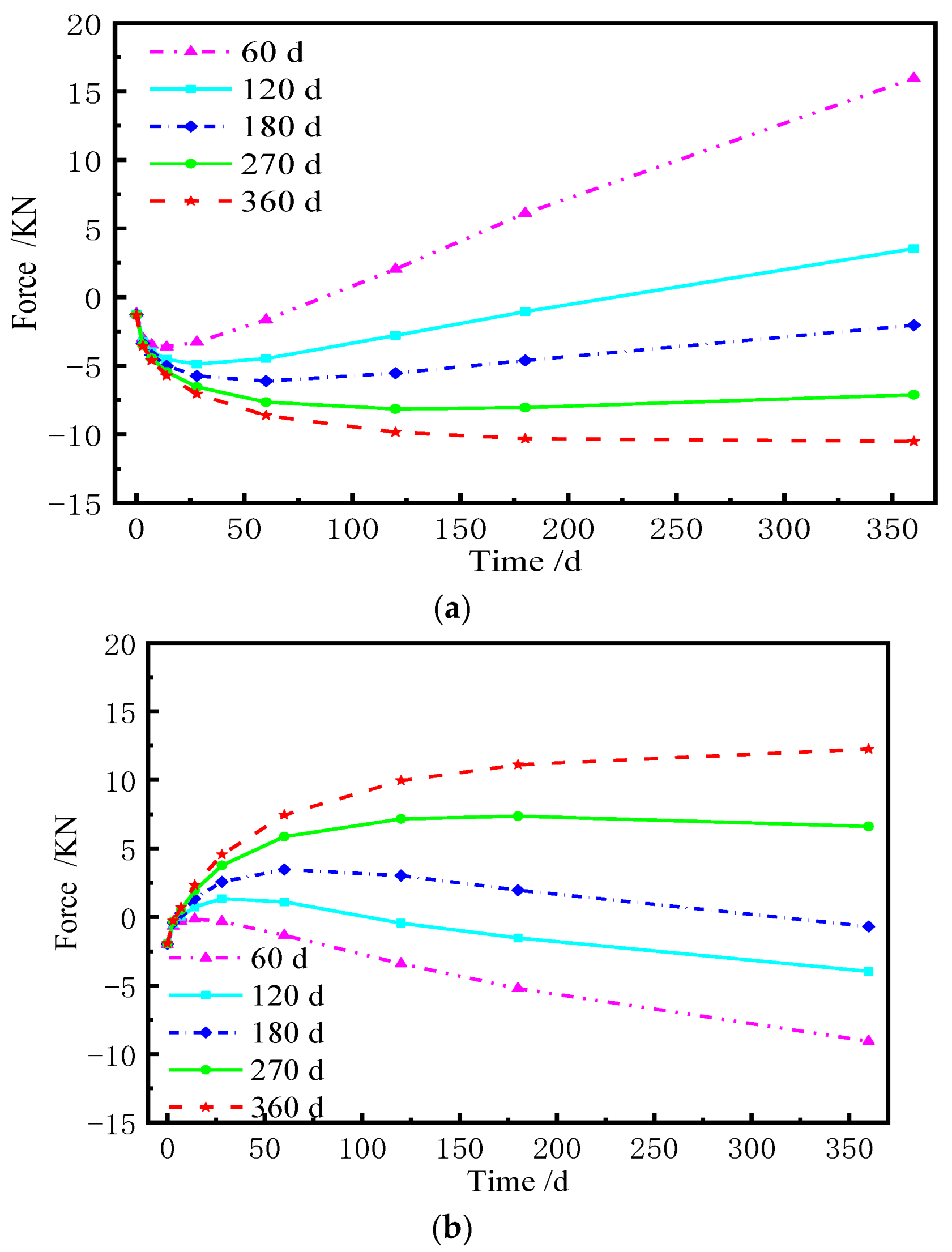
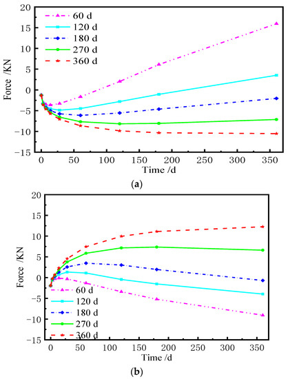
4.5. Additional Forces of the Shear Cogging
5. Conclusions
- (1)
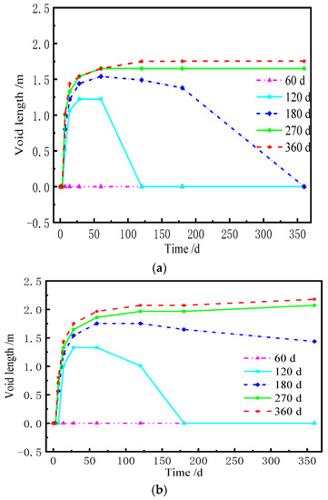
- Under the effect of shrinkage and creep of the ballastless track, the normal stress redistribution of the sliding layer emerges. Further, a gap of the sliding layer occurs at the middle or edge of the slab. The shear cogging can slightly reduce the gap length, but the sliding layer at the slab edge is more prone to produce a gap;
- (2)
- The shrinkage and creep of the ballastless track cause the additional transverse interface shear stress between the track slab and CA mortar, which is the largest at the slab edge and gradually increases with the increase in AOTSL. At the AOTSL of 360 d, the maximum stress is 0.676 MPa and 0.642 MPa with and without the shear cogging, respectively, reaching 70.7% and 67.2% of the interface shear strength, but no interface damage is caused;
- (3)
- The peak value of the vertical additional force appears at the middle and edge of the slab. In comparison, the lateral additional force reaches the maximum at the slab edge and decreases gradually towards the middle of the slab. Additional forces are not yet sufficient to cause damage to the shear cogging;
- (4)
- Through a comprehensive analysis of the gap length of the sliding layer, the interface stress, and the additional force of the shear cogging, the suggested AOTSL ranges 120 d from 180 d.
Author Contributions
Funding
Institutional Review Board Statement
Informed Consent Statement
Data Availability Statement
Conflicts of Interest
References
- Cho, Y.K.; Kim, S.M.; Chung, W.; Kim, J.C.; Oh, H.J. Effect of steel ratio on behavior of continuously reinforced concrete railway track under environmental loads. KSCE J. Civ. Eng. 2014, 8, 1688–1695. [Google Scholar] [CrossRef]
- Ren, J.J.; Li, X.; Yang, R.S.; Wamg, P.; Xie, P. Criteria for repairing damages of CA mortar for prefabricated framework-type slab track. Constr. Build. Mater. 2016, 110, 300–311. [Google Scholar] [CrossRef]
- Ren, J.J.; Deng, S.J.; Jin, Z.B.; Yang, J.B.; Liu, X.Y. Energy method solution for the vertical deformation of longitudinally coupled prefabricated slab track. Math. Probl. Eng. 2017, 2017, 1–11. [Google Scholar] [CrossRef] [Green Version]
- Wei, X.L.; Zhang, Z.H. Analysis and nondestructive testing of major diseases (defects) of ballastless track of high speed railway. Railw. Stand Des. 2011, 3, 38–40. [Google Scholar]
- Zhu, S.Y.; Wang, M.Z.; Zhai, W.M.; Cai, C.B.; Zhao, C.F.; Zeng, D.F.; Zhang, J.W. Mechanical property and damage evolution of concrete interface of ballastless track in high-speed railway: Experiment and simulation. Constr. Build. Mater. 2018, 187, 460–473. [Google Scholar] [CrossRef]
- Zhu, S.Y.; Cai, C.B. Interface damage and its effect on vibrations of slab track under temperature and vehicle dynamic loads. Int. J. Non. Linear. Mech. 2014, 58, 222–232. [Google Scholar] [CrossRef]
- Robertson, I.; Masson, C.; Sedran, T.; Barresic, F.; Caillaud, J.; Keseljevice, C.; Vanzenbergf, J.M. Advantages of a new ballastless trackform. Constr. Build. Mater. 2015, 92, 16–22. [Google Scholar] [CrossRef]
- Liu, X.; Zhao, P.; Dai, F. Advances in design theories of high-speed railway ballastless tracks. J. Mod. Transp. 2011, 19, 154–162. [Google Scholar] [CrossRef] [Green Version]
- Gautier, P.E. Slab track: Review of existing systems and optimization potentials including very high speed. Constr. Build. Mater. 2015, 92, 9–15. [Google Scholar] [CrossRef]
- Hu, S.L.; Zhou, X.L.; Xu, Q.Y.; Zhou, S.Y. The study of interface damage extension between CRTS II slab and CA mortar under temperature gradient. J. Railw. Sci. Eng. 2019, 16, 222–232. [Google Scholar]
- Song, L.; Liu, H.B.; Cui, C.X.; Yu, Z.W.; Li, Z.G. Thermal deformation and interfacial separation of a CRTS II slab ballastless track multilayer structure used in high-speed railways based on meteorological data. Constr. Build. Mater. 2020, 237, 1–16. [Google Scholar] [CrossRef]
- Cai, X.P.; Luo, B.C.; Zhong, Y.L.; Zhang, Y.R.; Hou, W.B. Arching mechanism of the slab joints in CRTS II slab track under high temperature conditions. Eng. Fail. Anal. 2019, 98, 95–108. [Google Scholar] [CrossRef]
- Zhong, Y.; Gao, L.; Zhang, Y. Effect of daily changing temperature on the curling behavior and interface stress of slab track in construction stage. Constr. Build. Mater. 2018, 185, 638–647. [Google Scholar] [CrossRef]
- Li, Y.; Chen, J.J.; Wang, J.X.; Shi, X.F.; Chen, L. Study on the interface damage of CRTS II slab track under temperature load. Structures 2020, 26, 224–236. [Google Scholar] [CrossRef]
- Zhang, Y.R.; Wu, K.; Gao, L.; Yan, S.; Cai, X.P. Study on the interlayer debonding and its effects on the mechanical properties of CRTS II slab track based on viscoelastic theory. Constr. Build. Mater. 2019, 224, 387–407. [Google Scholar] [CrossRef]
- Rahman, M.K.; Baluch, M.H.; Al-Gadhib, A.H. Simulation of shrinkage distress and creep relief in concrete repair. Compos. Part B Eng. 2000, 31, 541–553. [Google Scholar] [CrossRef]
- Liu, J.; Zhao, G.F. Study of shrinkage performance of adherence of young on old concrete. J. Dalian. Univ. Technol. 2001, 41, 339–342. [Google Scholar]
- David, L.; Hak-Chul, S. Early age stresses and debonding in bonded concrete overlays. Transp. Res. Rec. J. Transp. Res. Board. 2001, 1778, 174–181. [Google Scholar]
- Meng, J.; Xiao, D.Y. Analysis on the old and new reinforced concrete beam shrinkage and creep difference effect of broadened bridge. Appl. Mech. Mater. 2012, 178–181, 2027–2033. [Google Scholar] [CrossRef]
- Tu, B.; Fang, Z. Analysis of shrinkage and creep effects on newly-built and existing concrete slab bridge after lateral jointing. China J. Highw. Transp. 2016, 29, 66–76. [Google Scholar]
- Beushausen, H.; Chilwesa, M. Assessment and prediction of drying shrinkage cracking in bonded mortar overlays. Cem. Concr. Res. 2013, 53, 256–266. [Google Scholar] [CrossRef]
- Orta, L.; Bartlett, F.M. Free shrinkage strains in concrete overlays. Aci. Mater. J. 2014, 111, 263–271. [Google Scholar] [CrossRef]
- Beushausen, H.; Bester, N. The influence of curing on restrained shrinkage cracking of bonded concrete overlays. Cem. Concr. Res. 2016, 87, 87–96. [Google Scholar] [CrossRef]
- Wu, D.; Gao, W.; Feng, J.; Luo, K. Structural behaviour evolution of composite steel-concrete curved structure with uncertain creep and shrinkage effects. Compos. Part B Eng. 2016, 86, 261–272. [Google Scholar] [CrossRef]
- Bazant, Z.P.; Yu, Q.; Li, G.H. Excessive long-time deflections of prestressed box girders. II: Numerical analysis and lessons learned. J. Struct. Eng. ASCE 2012, 138, 687–696. [Google Scholar] [CrossRef]
- Xie, K. Shrinkage and Creep Analysis of High-Rise Structure Based on ABAQUS. Master Thesis, Hunan University, Changsha, China, 2014. [Google Scholar]
- Zhu, L.; Wang, J.J.; Li, X.; Zhao, G.Y.; Huo, X.J. Experimental and numerical study on creep and shrinkage effects of ultra high-performance concrete beam. Compos. Part B Eng. 2019, 184, 1–14. [Google Scholar] [CrossRef]
- Li, L.X.; Li, H.N.; Li, C.; Dong, T.Z. Probabilistic analysis on time-dependent mechanical behavior of posttensioned self-centering concrete connections. Eng. Struct. 2021, 218, 1–15. [Google Scholar]
- Liu, R.; Ye, H.D.; Liu, Y.Q.; Zhao, H.; Correiac, J.A.F.O.; Xin, H.H. Numerical simulation of concrete creep behaviour using integral creep algorithm with alternating stresses. Structures 2021, 29, 1979–1987. [Google Scholar] [CrossRef]
- Zienkiewicz, O.C.; Watson, M. Some creep effects in stress analysis with particular reference to concrete pressure vessels. Nucl. Eng. Des. 1966, 4, 406–412. [Google Scholar] [CrossRef]
- Liu, Z. Recursive AEMM method for concrete creep and shrinkage. J. Chongqing Jiaotong Inst. 1994, 13, 31–34. [Google Scholar]
- Neville, A.M.; Dilger, W.H.; Brooks, J.J. Creep of Plain and Structural Concrete; Construction Press: New York, NY, USA, 1983. [Google Scholar]
- Goel, R.; Kumar, R.; Paul, D.K. Comparative study of various creep and shrinkage prediction models for concrete. J. Mater. Civil. Eng. 2007, 19, 249–260. [Google Scholar] [CrossRef]
- Yang, Y.Q.; Lu, W.W.; Li, X.B.; Yu, X.H. Experimental study and prediction model for concrete creep in ambient environment. J. Southwest Jiaotong Univ. 2015, 50, 977–983. [Google Scholar]
- Wang, J.Q.; Lv, P.; Xu, Q.; Luo, X.G.; Zhu, M.Q. Calculation model for concrete creep and its practical application. Eng. Mech. 2018, 35, 156–160. [Google Scholar]
- Gardner, N.J.; Lockman, M.J. Design provisions for drying shrinkage and creep and normal-strength concrete. Aci. Mater. J. 2001, 98, 159–167. [Google Scholar]
- Zhu, X.B.; Yao, T.; Liu, J.P.; Hong, J.X.; Zhao, G.T.; Wang, T. Finite element analysis on CA mortar of CRTS II ballastless track slab. J. Wuhan Univ. Technol. 2011, 33, 76–81. [Google Scholar]
- Yuan, Q.; Zuo, S.H.; Deng, D.H. Early-age deformation of cement emulsified asphalt mortar with aluminum powder and expansive agent. Constr. Build. Mater. 2020, 260, 1–10. [Google Scholar] [CrossRef]
- Li, S.M.; Xie, Y.J.; Zheng, X.G.; Liu, J. Study on the major influencing factors of shrinkage performance of CRTS II cement emulsified asphalt mortar. Railw. Eng. 2011, 3, 126–128. [Google Scholar]
- Wang, T.; Wei, Z.; Liu, Z.K.; Li, H. Drying shrinkage and relative humidity of CA mortar. J. Build. Mater. 2017, 20, 431–438. [Google Scholar]
- CEB-FIP Model Code 1990. In Model Code for Concrete Structures; Thomas Telford: London, UK, 1993.
- Bazant, Z.P.; Chern, J.C. Concrete creep at variable humidity: Constitutive law and mechanism. Mater. Struct. 1985, 18, 1–20. [Google Scholar] [CrossRef]
- Alvaredo, A.M.; Wittmann, F.H. Shrinkage and Crack of Common Concrete and High Performance Concrete; Aedificatio Publishers: Freiburg, Germany, 1995. [Google Scholar]
- Song, H.; Zeng, X.H.; Xie, Y.J.; Long, G.C.; Ma, K.L. Creep model of cement emulsified asphalt mortar. J. Build. Mater. 2020, 23, 1305–1312. [Google Scholar]
- Liu, P.; Zheng, Z.H.; Yu, Z.W. Cooperative work of longitudinal slab ballast-less track prestressed concrete simply supported box girder under concrete creep and a temperature gradient. Structures 2020, 27, 559–569. [Google Scholar] [CrossRef]
- Zhu, Q.K. Interaction between Simply Supported Beams and CRTS II Slab Ballastless Track. Master Thesis, Central South University, Changsha, China, 2013. [Google Scholar]
- Su, C.G.; Liu, D.; Ding, C.X.; Gong, C.; Zhao, P.R.; Liu, X.Y. Experimental study on bond performances of track slab and mortar based on DIC technology. KSCE J. Civ. Eng. 2018, 22, 3546–3555. [Google Scholar] [CrossRef]
- Brauer, J. What every engineer should know about finite element analysis. Dry Technol. 1992, 13, 1041–1042. [Google Scholar] [CrossRef]
- Wu, X.; Wang, J.F.; Xu, R.Q.; Chen, Y.R. Effects of temperature and loading rate on the compressive behaviour of CA mortar. Mag. Concr. Res. 2016, 68, 1240–1252. [Google Scholar] [CrossRef]






























| Component | Width/mm | Thickness/mm | Length/m |
|---|---|---|---|
| Track slab | 2550 | 200 | 4 × 6.5 = 26 |
| Base plate | 2950 | 200 | 26 |
| CA mortar | 2550 | 30 | 26 |
| Items | |||
|---|---|---|---|
| Normal direction | 1.792 | 0.0025 | 0.0282 |
| Tangential direction | 0.956 | 0.0152 | 0.0376 |
| Materials | Modulus of Elasticity/GPa | Density/kg m−3 | Poisson Ratio |
|---|---|---|---|
| Box girder concrete (C50) | 35.5 | 2600 | 0.2 |
| Prestressed reinforcement | 195 | 7850 | 0.3 |
| Track slab concrete (C55) | 36 | 2600 | 0.2 |
| CA mortar | 7 | 1800 | 0.2 |
| Base plate concrete (C40) | 32 | 2500 | 0.2 |
| Parts | The Box Girder, the Track Slab, the Base Plate, and CA Mortar | The Interface between CA Mortar and the Track Slab | Rebar | The Shear Cogging |
|---|---|---|---|---|
| Elements | C3D8I | COH3D8 | T3D2 | Spring |
Publisher’s Note: MDPI stays neutral with regard to jurisdictional claims in published maps and institutional affiliations. |
© 2022 by the authors. Licensee MDPI, Basel, Switzerland. This article is an open access article distributed under the terms and conditions of the Creative Commons Attribution (CC BY) license (https://creativecommons.org/licenses/by/4.0/).
Share and Cite
Zheng, Z.; Liu, P.; Yu, Z.; Kuang, Y.; Liu, L.; He, S.; Zhang, X.; Li, Q.; Xu, W.; Lv, M. Numerical Investigation of Interlaminar Stress of CRTS II Slab Ballastless Track Induced by Creep and Shrinkage of Concrete. Materials 2022, 15, 2480. https://doi.org/10.3390/ma15072480
Zheng Z, Liu P, Yu Z, Kuang Y, Liu L, He S, Zhang X, Li Q, Xu W, Lv M. Numerical Investigation of Interlaminar Stress of CRTS II Slab Ballastless Track Induced by Creep and Shrinkage of Concrete. Materials. 2022; 15(7):2480. https://doi.org/10.3390/ma15072480
Chicago/Turabian StyleZheng, Zhihui, Peng Liu, Zhiwu Yu, Yachuan Kuang, Lei Liu, Sasa He, Xiaoqiang Zhang, Qianghui Li, Wen Xu, and Maofeng Lv. 2022. "Numerical Investigation of Interlaminar Stress of CRTS II Slab Ballastless Track Induced by Creep and Shrinkage of Concrete" Materials 15, no. 7: 2480. https://doi.org/10.3390/ma15072480
APA StyleZheng, Z., Liu, P., Yu, Z., Kuang, Y., Liu, L., He, S., Zhang, X., Li, Q., Xu, W., & Lv, M. (2022). Numerical Investigation of Interlaminar Stress of CRTS II Slab Ballastless Track Induced by Creep and Shrinkage of Concrete. Materials, 15(7), 2480. https://doi.org/10.3390/ma15072480
