Conversion of Geraniol into Useful Value-Added Products in the Presence of Catalysts of Natural Origin: Diatomite and Alum
Abstract
:1. Introduction
2. Materials and Methods
2.1. Raw Materials
2.2. Characteristics of Diatomite and Alum
- —
- X-ray diffractometry (XRD)—Empyrean X-ray diffractometer with Cu Kα radiation source (Malvern Panalytical, Grovewood, UK); analysis of samples in the temperature range of 5–30° in 0.02° steps;
- —
- Specific area (SSA), total pore volume (TPV) and micropore volume (MV)—nitrogen adsorption method at 350 °C using the QUADRASORB evoTM Gas Sorption Surface and Pore Size Analyzer (Quantachrome Instruments, Boynton Beach, FL, USA), prior to analysis samples were degassed at 250 °C for 20 h in atm. N2;
- —
- Mapping of elements—scanning electron microscopy (SEM) and EDX surface spectra-SEM apparatus (JEOL company, JSM-6010LA, Tokyo, Japan) with a secondary electron detector;
- —
- Elemental analysis performed with Epsilon3 energy dispersed X-ray fluorescence spectrometer (EDXRF) (Malvern Panalytical, Grovewood, UK);
- —
- FT-IR infrared spectorscopy (Thermo Nicolet 380 apparatus, Malente, Germany)—wavenumber range from 400 to 4000 cm−1.
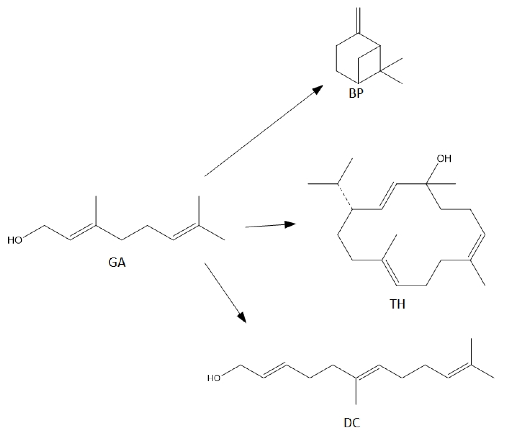
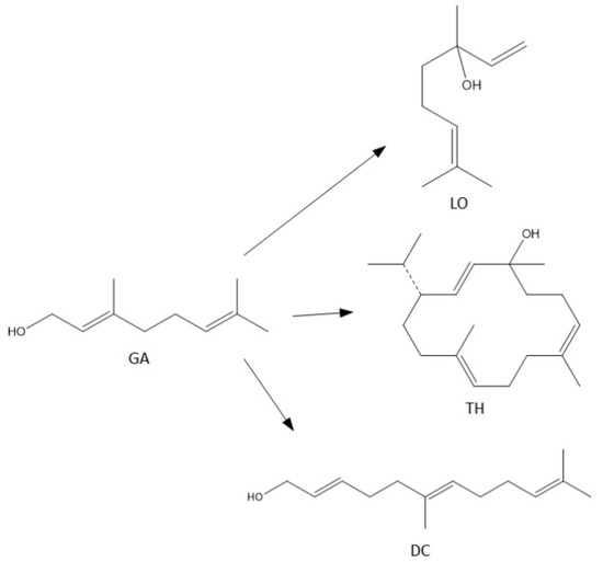
2.3. Method of Transformations of Geraniol and Analyses of the Post-Reaction Mixtures
3. Results
3.1. Morphology of Natural Diatomite and Alum
- —
- 3436 cm−1 confirms the presence of a free silanol group (SiO-H) on the surface of the quantum,
- —
- 1625 cm−1 is characterized by the HOH bending vibrations of water,
- —
- 1094 cm−1 is responsible for the stretching vibrations of the siloxane group (-Si-O-Si),
- —
- 797 cm−1 is characteristic of the vibrations of the SiO-H group.
3.2. The Influence of Temperature on GA Transformations
3.3. The Influence of Catalyst Content on GA Transformations
3.4. The Influence of Reaction Time on GA Transformations
4. Discussion
Supplementary Materials
Author Contributions
Funding
Institutional Review Board Statement
Informed Consent Statement
Data Availability Statement
Conflicts of Interest
References
- Jin, X.; Sun, J.; Miao, X.; Liu, G.; Zhong, D. Inhibitory effect of GA in combination with gemcitabine on proliferation of BXPC-3 human pancreatic cancer cells. J. Int. Med. Res. 2013, 41, 993–1001. [Google Scholar] [CrossRef] [Green Version]
- Bieda, A.; Wróblewska, A.; Miądlicki, P. Właściwości lecznicze Gau—Przegląd piśmiennictwa. Pomeranian J. Life Sci. 2019, 65, 24–28. [Google Scholar] [CrossRef] [Green Version]
- Trytek, M.; Paduch, R.; Fiedurek, J.; Kandefer-Szerszeń, M. Monoterpeny—Stare związki, nowe zastosowania i biotechnologiczne metody ich otrzymywania. Biotechnologia 2007, 1, 135–155. [Google Scholar]
- Burt, S. Essential oils: Their antibacterial properties and potential applications in foods—A review. Int. J. Food Microbiol. 2004, 94, 223–253. [Google Scholar] [CrossRef]
- Nowak, G.; Nawrot, J. Surowce roślinne i związki naturalne stosowane w chorobach układu oddechowego. Herba Polonica 2009, 55, 178–213. [Google Scholar]
- Stevensen, C. Aromatherapy in dermatology. Clin. Dermatol. 1998, 16, 689–694. [Google Scholar] [CrossRef]
- Bakkali, F.; Averbeck, S.; Averbeck, D.; Idaomar, M. Biological effect of essentials oils—A review. Food Chem. Toxicol. 2008, 46, 446–475. [Google Scholar] [CrossRef]
- Angioni, A.; Barra, A.; Coroneo, V.; Dessi, S.; Cabras, P. Chemical composition, seasonal variability, and antifungal activity of Lavandula stoechas L. ssp. stoechas essential oils from stem/leaves and flowers. J. Agric. Food Chem. 2006, 54, 4364–4370. [Google Scholar] [CrossRef]
- Masotti, V.; Juteau, F.; Bessière, J.; Viano, J. Seasonal and phenological variations of the essential oil from the narrow endemic species Artemisia molinieri and its biological activities. J. Agric. Food Chem. 2003, 51, 7115–7121. [Google Scholar] [CrossRef]
- Mączka, W.; Wińska, K.; Grabarczyk, M.; Anioł, M. Właściwości biologiczne GAu. Post Fitoter 2016, 17, 39–43. [Google Scholar]
- Chen, W.; Viljoen, A. GA—A review of a commercially important fragrance material. S. Afr. J. Bot. 2010, 76, 643–651. [Google Scholar] [CrossRef] [Green Version]
- Babar, A.; Al-Wabel, N.; Shams, S.; Ahamad, A.; Khan, S.; Anwar, F. Essential oils in aromatheraphy: A systematic review. Asian Pac. J. Trop. Biomed. 2015, 5, 601–611. [Google Scholar] [CrossRef] [Green Version]
- Lapczynski, A.; Bhatia, S.; Foxenberg, R.; Letizia, C.; Api, A. Fragrance material review on GA. Food Chem. Toxicol. 2008, 46, 60–70. [Google Scholar] [CrossRef]
- Hagvall, L.; Karlberg, A.; Christensson, J. Contact allergy to air-exposed GA: Clinical observations and report of 14 cases. Contact Dermat. 2012, 67, 20–27. [Google Scholar] [CrossRef]
- Madankumar, A.; Jayakumar, S.; Gokuladhas, K.; Rajan, B.; Raghunandhakumar, S.; Asokkumar, S.; Devaki, T. GA modulates tongue and hepatic phase I and phase II conjugation activities and may contribute directly to the chemopreventive activity against experimental oral carcinogenesis. Eur. J. Pharmacol. 2013, 705, 148–155. [Google Scholar] [CrossRef]
- Gardner, J.; Peel, M. Principles of chemical disinfection. In Introduction to Sterilization, Disinfection and Infection Control; Gardner, J.F., Peel, M.M., Eds.; Churchill Livingstone: London, UK, 1991; pp. 170–192. [Google Scholar]
- Astani, A.; Schnitzler, P. Antiviral activity of monoterpenes beta-pinene and limonene against herpes simplex virus in vitro. Iran. J. Microbiol. 2014, 6, 149–155. [Google Scholar] [PubMed]
- Sybilska, D.; Kowalczyk, J.; Asztemborska, M.; Ochocka, R.J.; Lamparczyk, H. Chromatographic studies of the enantiomeric composition of some therapeutic compositions applied in the treatment of liver and kidney diseases. J. Chromatogr. A 1994, 665, 67–73. [Google Scholar] [CrossRef]
- Nam, S.Y.; Chung, C.K.; Seo, J.H.; Rah, S.Y.; Kim, H.M.; Jeong, H.J. The therapeutic efficacy of α-pinene in an experimental mouse model of allergic rhinitis. Int. Immunopharmacol. 2014, 23, 273–282. [Google Scholar] [CrossRef]
- Satou, T.; Kasuya, H.; Maeda, K.; Koike, K. Daily inhalation of α-pinene in mice: Effects on behavior and organ accumulation. Phytother. Res. 2014, 28, 1284–1287. [Google Scholar] [CrossRef] [PubMed]
- Quintão, N.L.; da Silva, G.F.; Antonialli, C.S.; Rocha, L.W.; Cechinel, V.; Cicció, J.F. Chemical composition and evaluation of the anti-hypernociceptive effect of the essential oil extracted from the leaves of Ugni myricoides on inflammatory and neuropathic models of pain in mice. Planta Med. 2010, 76, 1411–1418. [Google Scholar] [CrossRef] [Green Version]
- Alma, M.H.; Nitz, S.; Kollmannsberger, H.; Digrak, M.; Efe, F.T.; Yilmaz, N. Chemical composition and antimicrobial activity of the essential oils from the gum of Turkish pistachio (Pistacia vera L.). J. Agric. Food Chem. 2004, 52, 3911–3914. [Google Scholar] [CrossRef] [PubMed]
- Tildesley, N.T.; Kennedy, D.O.; Perry, E.K.; Ballard, C.G.; Savelev, S.; Wesnes, K.A.; Scholey, A.B. Salvia lavandulaefolia (Spanish sage) enhances memory in healthy young volunteers. Pharmacol. Biochem. Behav. 2003, 75, 669–674. [Google Scholar] [CrossRef]
- Perry, N.S.; Houghton, P.J.; Theobald, A.; Jenner, P.; Perry, E.K. In-vitro inhibition of human erythrocyte acetylcholinesterase by salvia lavandulaefolia essential oil and constituent terpenes. J. Pharm. Pharmacol. 2000, 52, 895–902. [Google Scholar] [CrossRef] [PubMed]
- Russo, E. Taming THC: Potential cannabis synergy and phytocannabinoid-terpenoid entourage efects. Br. J. Pharmacol. 2011, 163, 1344–1364. [Google Scholar] [CrossRef]
- Nissen, L.; Zatta, A.; Stefanini, I. Characterization and antimicrobial activity of essential oils of industrial hemp varieties (Cannabis sativa L.). Fitoterapia 2010, 81, 413–419. [Google Scholar] [CrossRef]
- Laird, K.; Kurzbach, E.; Score, J. Reduction of Legionella spp. in water and in soil by a citrus plant extract vapor. Appl. Environ. Microbiol. 2014, 80, 6031–6036. [Google Scholar] [CrossRef] [Green Version]
- Min, D.; Chen, Y.; Cai, Z. Progress on polymerization of -pinene. In Proceedings of the 3rd International Conference on Material, Mechanical and Manufacturing Engineering, Guangzhou, China, 27–28 June 2015; Atlantis Press: Paris, France, 2015. [Google Scholar]
- Zviely, M.; Li, M. Ocimene a versatile foral ingredient. Perfum. Flavorist. 2013, 38, 42–45. [Google Scholar]
- Shpatov, A.V.; Frolova, T.S.; Popov, S.A.; Sinitsyna, O.I.; Salnikova, O.I.; Zheng, G.-Y.; Yan, L.; Sinelnikova, N.V.; Pshennikova, L.M.; Kochetov, A.V. Lipophilic Metabolites from Fiveneedle Pines, Pinus armandii and Pinus kwangtungensis, Exhibiting Antibacterial Activity. Chem. Biodivers. 2020, 17, e2000201. [Google Scholar] [CrossRef]
- Shpatov, A.V.; Popov, S.A.; Salnikova, O.I.; Kukina, T.P.; Shmidt, E.N.; Um, B.H. Composition and Bioactivity of Lipophilic Metabolites from Needles and Twigs of Korean and Siberian Pines. Chem. Biodivers. 2017, 14, e1600203. [Google Scholar] [CrossRef]
- Yu, W.; Miao, W.; Li, Y. Ferric Chloride Catalyzed Transformation and Cyclization of GA, Linalool and Nerol. Chin. Chem. Lett. 2002, 13, 495–496. [Google Scholar] [CrossRef]
- Haese, F.; Ebel, K.; Burkart, K.; Unverricht, S.; Munster, P. Method for Isomerizing Allyl Alcohols. U.S. Patent 7,126,033, 24 October 2006. [Google Scholar]
- Srivastava, P.; Wagh, R.; Naik, D. γ -Irradiation: A Simple Route for Transformation of GA into Nerol and Linalool. Radiochemistry 2010, 52, 561–564. [Google Scholar] [CrossRef]
- Tsitsishvili, V.; Ivanova, I.; Ramishvili, T. Catalytic Conversion of Linalool on Micro-Mesoporous BEA-Type Zeolite. Bull. Georg. Natl. Acad. Sci. 2017, 11, 80–87. [Google Scholar]
- Tsitsishvili, V. Formation of Long-Chain and Macrocyclic Compounds during Catalytic Conversion of GA on Micro- and Micro-Mesoporous BEA-Type Zeolite. Bull. Georg. Natl. Acad. Sci. 2018, 12, 62–69. [Google Scholar]
- Fajdek-Bieda, A.; Wróblewska, A.; Miądlicki, P. Influence of Technological Parameters on the Transformation of GA Using Sepiolite. Catal. Lett. 2020, 150, 901–911. [Google Scholar] [CrossRef] [Green Version]
- Fajdek-Bieda, A.; Wróblewska, A.; Miądlicki, P.; Tołpa, J.; Michalkiewicz, B. Clinoptilolite as a natural, active zeolite catalyst for the chemical transformations of GA. Reac. Kinet. Mech. Cat. 2021, 133, 997–1011. [Google Scholar] [CrossRef]
- Sarbak, Z. Adsorpcja i Adsorbenty—Teoria i Zastosowanie, Wyd; Naukowe Uniwersytetu im. A. Mickiewicza: Poznań, Poland, 2000. [Google Scholar]
- Smakowski, T.; Neya, R.; Galosa, K. Bilans Gospodarki Surowcami Mineralnymi Polski i Świata 2008; Instytut Gospodarki Surowcami Mineralnymi i Energią Polskiej Akademii Nauk Pracownia Polityki Surowcowej: Kraków, Poland, 2010. [Google Scholar]
- Kłapyty, Z.; Żabińskiego, W. (Eds.) Sorbenty Mineralne Polski; Uczelniane Wydawnictwa Naukowo-Dydakaktycznego, AGH: Kraków, Poland, 2008; pp. 83–89. [Google Scholar]
- Rakowska, B. Okrzemki—Organizmy, które odniosły sukces. Kosmos 2003, 52, 259–260. [Google Scholar]
- Peiliang, C.; Shuanfa, C.; Huaxin, C. Effects of diatomite on the properties of asphalt binder. Constr. Build. Mater. 2012, 30, 495–499. [Google Scholar] [CrossRef]
- Elden, H.; Morsy, G.; Bakar, M. Diatomite: Its Characterization, Modifications and Applications. Asian Journal of Materials Science 2010, 2, 121–136. [Google Scholar] [CrossRef] [Green Version]
- Yuan, P.; Daqing, W.; Zhong, C.; Zhiwei, L.; Zhongyu, D. 1H MAS. NMR. Spectra of hydroxyl species on diatomite surface. Chinese Sci. Bull. 2010, 46, 1112–1115. [Google Scholar]
- Szuflicki, M.; Malon, A.; Tyminski, M. Bilans Zasobów Złóż Kopalin w Polsce wg Stanu na 31 XII 2018 r; Pa‘nstwowy Instytut Geologiczny—Państwowy Instytut Badawczy: Warszawa, Poland, 2019. [Google Scholar]
- Zhaolun, W.; Yuxiang, Q.; Xuping, Z.; Jianbo, C.; Linxi, N. Decolouring mechanism of zhejiang diatomite. application to printing and dyeing wastewater. Environ. Chem. Lett. 2005, 3, 33–37. [Google Scholar] [CrossRef]
- Mientka, A.; Grzmil, B.; Tomaszewska, M. Production of potassium sulfate from potassium hydrosulfate solutions. Chem. Papers 2008, 62, 123–126. [Google Scholar] [CrossRef]
- Brocchi, E.A.; Fragoso, C.L.R.; Bulcão, R.N.; Navarro, R.C.S.; Souza, R.F.M. Chemical processing of a glauconite concentrate in order to produce K2SO4 and Al2O3. In Proceedings of the European Metallurgical Conference of 2015, Düsseldorf, Germany, 14–17 June 2015; pp. 313–324. Available online: https://www.scimagojr.com/journalsearch.php?q=21100967320&tip=sid&clean=0 (accessed on 7 February 2022).
- Kucuk, F.; Yildiz, K. The decomposition kinetics of mechanically activated alunite ore in air atmosphere by thermogravimetry. Thermochim. Acta 2006, 448, 107–110. [Google Scholar] [CrossRef]
- Kanlayavattanakul, M.; Lourith, N. Body malodours and their topical treatment agents. Int. J. Cosmet. Sci. 2011, 33, 298–311. [Google Scholar] [CrossRef]
- Preti, G.; Willse, A.; Labows, J.N.; Leyden, J.J.; Wahl, J.; Kwak, J. On the definition and measurement of human scent: Comments on Curran et al. J. Chem. Ecol. 2006, 32, 1613–1616. [Google Scholar] [CrossRef] [PubMed]
- James, A.G.; Austin, C.J.; Cox, D.S.; Taylor, D.; Calvert, R. Microbiological and biochemical origins of human axillary odour. FEMS Microbiol. Ecol. 2013, 83, 527–540. [Google Scholar] [CrossRef] [PubMed]
- Bhutta, M.F. Sex and the nose: Human pheromonal responses. J. R. Soc. Med. 2007, 100, 268–274. [Google Scholar] [CrossRef] [PubMed]
- Ara, K.; Hama, M.; Akiba, S.; Koike, K.; Okisaka, K.; Hagura, T.; Kamiya, T.; Tomita, F. Foot odor due to microbial metabolism and its control. Can. J. Microbiol. 2006, 52, 357–364. [Google Scholar] [CrossRef] [Green Version]
- Dumas, E.R.; Michaud, A.E.; Bergeron, C.; Lafrance, J.L.; Mortillo, S.; Gafner, S. Deodorant effects of a supercritical hops extract: Antibacterial activity against Corynebacterium xerosis and Staphylococcus epidermidis and efficacy testing of a hops/zinc ricinoleate stick in humans through the sensory evaluation of axillary deodorancy. J. Cosmet. Dermatol. 2009, 8, 197–204. [Google Scholar] [CrossRef]
- Majbauddin, A.; Kodani, I.; Ryoke, K. The effect of bamboo leaf extract solution and sodium copper chlorophyllin colution on growth and volatile sulfur compounds production of oral malodor associated some anaerobic periodontal bacteria. Yonago Acta Medica. 2015, 58, 129–136. [Google Scholar]
- Peterson, R.A.; Gueniche, A.; Adam de Beaumais, S.; Breton, L.; Dalko-Csiba, M.; Packer, N.H. Sweating the small stuff: Glycoproteins in human sweat and their unexplored potential for microbial adhesion. Glycobiology 2016, 26, 218–229. [Google Scholar] [CrossRef]
- Tomatis, M.; Xu, H.; Wei, C.; Bishop, M.T.; He, J.; Wang, C.; Zhao, M.; Xiao, H.; Yu, H.; Behera, S.N.; et al. A Comparative Study of Mn/Co Binary Metal Catalysts Supported on Two Commercial Diatomaceous Earths for Oxidation of Benzene. Catalysts 2018, 8, 111. [Google Scholar] [CrossRef] [Green Version]
- Tufail, F.; Saquib, M.; Mishra, A.; Tiwari, J.; Pratap Verma, S.; Dixit, P.; Singh, J.; Singh, J. Potash Alum as a Sustainable Heterogeneous Catalyst: A One-Pot Efficient Synthesis of Highly Functionalized Pyrrol-2-ones and Furan-2-ones. Polycycl. Aromat. Compd. 2020, 11, 1040–6638. [Google Scholar] [CrossRef]
- Khraisheh, M.A.; Al-Ghouti, M.A.; Allen, S.J.; Ahmad, M.N. Effect of OH and silanol groups in the removal of dyes from aqueous solution using diatomite. Water Res. 2005, 39, 922–932. [Google Scholar] [CrossRef] [PubMed]
- Bahramian, B.; Ardejani, F.D.; Mirkhani, V.; Badii, K. Diatomitesupported manganese Schiff base: An efficient catalyst for oxidation of hydrocarbons. Appl. Catal. A Gen. 2008, 345, 97–103. [Google Scholar] [CrossRef]
- Aritkin, A.; Yu, T.; Sushkova, G. Innovation in the agricultural industry. Innovatsii 2007, 12, 108–112. [Google Scholar]
- Yurkov, A. Properties of heat insulation materials. Novye Ogneup. 2005, 3, 18–25. [Google Scholar]
- Skalkin, M.N. Application of foam diatomaceous brick in ferrous and nonferrous metallurgy. Novye Ogneup. 2006, 7, 19–23. [Google Scholar]
- Pustovgar, T. Effectiveness of activated diatomite in dry construction mixtures. Stroit. Mater. 2006, 10, 2–4. [Google Scholar]
- Nanik, W.; Romjanah, L.; Lestari, L. Potassium Alum [KAl(SO4)2∙12H2O] solid catalyst for effective and selective methoxylation production of alpha-pinene ether products. Heliyon 2021, 7, e06058. [Google Scholar] [CrossRef]
- Zhao, Y.; Guangyan, T.; Xinhui, D. Environmental Applications of Diatomite Minerals in Removing Heavy Metals from Water. Ind. Eng. Chem. Res. 2019, 58, 11638–11652. [Google Scholar] [CrossRef]
- Limei, Ch.; Zhixian, Li.; Weiya, L. Investigation of Adsorption Kinetics and the Isotherm Mechanism of Manganese by Modified Diatomite. ACS Omega 2021, 6, 6402–16409. [Google Scholar] [CrossRef]
















| Element | Mass, % | Atom, % |
|---|---|---|
| O | 53.07 | 66.48 |
| Al | 1.16 | 0.86 |
| Si | 45.77 | 32.66 |
| Element | Mass, % | Atom, % |
|---|---|---|
| O | 63.30 | 77.83 |
| Al | 7.56 | 5.51 |
| S | 18.17 | 11.15 |
| K | 10.97 | 5.52 |
| Catalyst | BET, m2/g | Vpor, cm3/g |
|---|---|---|
| Diatomite | 33.6 | 0.1233 |
| Aluminum potassium alum | 1.1 | 0.0057 |
| Conversion of Geraniol, mol% | Temperature, °C | |||||||
|---|---|---|---|---|---|---|---|---|
| 80 | 90 | 100 | 110 | 120 | 130 | 140 | 150 | |
| Diatomite | 81.63 | 79.71 | 81.17 | 91.05 | 94.86 | 95.86 | 96.11 | 99.56 |
| Aluminium potassium alum | 92.59 | 95.15 | 97.35 | 97.58 | 99.54 | 99.52 | 99.78 | 99.82 |
| Conversion of Geraniol, mol% | Catalyst Concentration, wt % | ||||
|---|---|---|---|---|---|
| 1.0 | 2.5 | 5.0 | 7.5 | 10.0 | |
| Diatomite | 96.08 | 95.76 | 81.63 | 79.63 | 77.22 |
| Aluminium potassium alum | 95.58 | 93.35 | 92.59 | 91.00 | 90.32 |
| Conversion of Geraniol, mol% | Reaction Time, min | ||||||||
|---|---|---|---|---|---|---|---|---|---|
| 15 | 30 | 60 | 120 | 180 | 240 | 300 | 360 | 1440 | |
| Diatomite | 92.29 | 91.96 | 98.87 | 96.28 | 96.08 | 79.51 | 79.61 | 80.83 | 80.08 |
| Aluminium potassium alum | 75.10 | 95.49 | 82.87 | 84.34 | 95.66 | 86.83 | 85.91 | 87.76 | 88.71 |
Publisher’s Note: MDPI stays neutral with regard to jurisdictional claims in published maps and institutional affiliations. |
© 2022 by the authors. Licensee MDPI, Basel, Switzerland. This article is an open access article distributed under the terms and conditions of the Creative Commons Attribution (CC BY) license (https://creativecommons.org/licenses/by/4.0/).
Share and Cite
Fajdek-Bieda, A.; Wróblewska, A.; Miądlicki, P.; Konstanciak, A. Conversion of Geraniol into Useful Value-Added Products in the Presence of Catalysts of Natural Origin: Diatomite and Alum. Materials 2022, 15, 2449. https://doi.org/10.3390/ma15072449
Fajdek-Bieda A, Wróblewska A, Miądlicki P, Konstanciak A. Conversion of Geraniol into Useful Value-Added Products in the Presence of Catalysts of Natural Origin: Diatomite and Alum. Materials. 2022; 15(7):2449. https://doi.org/10.3390/ma15072449
Chicago/Turabian StyleFajdek-Bieda, Anna, Agnieszka Wróblewska, Piotr Miądlicki, and Anna Konstanciak. 2022. "Conversion of Geraniol into Useful Value-Added Products in the Presence of Catalysts of Natural Origin: Diatomite and Alum" Materials 15, no. 7: 2449. https://doi.org/10.3390/ma15072449
APA StyleFajdek-Bieda, A., Wróblewska, A., Miądlicki, P., & Konstanciak, A. (2022). Conversion of Geraniol into Useful Value-Added Products in the Presence of Catalysts of Natural Origin: Diatomite and Alum. Materials, 15(7), 2449. https://doi.org/10.3390/ma15072449

