Scandium Recovery Methods from Mining, Metallurgical Extractive Industries, and Industrial Wastes
Abstract
1. Introduction
2. Separation and Purification of Rare Earth Elements Using SX
2.1. Acidic Extractants
2.1.1. Acidic Organophosphorus Extractants
2.1.2. Carboxylic Acids
2.2. Alkaline Extractants
2.3. Solvating Extractants
2.4. Chelating Extractants
2.5. Synergistic Systems
3. Processes for Scandium Recovery from Various Sources
3.1. Scandium Recovery from Its Ores
3.2. Scandium Recovery from Rare Earth Elements Ores
3.3. Scandium Recovery from Uranium Ores
3.4. Scandium Recovery from Ti and Zr Ores
3.5. Scandium Recovery from Tungsten and Tin Ores
3.6. Scandium Recovery from Nickel Ores
3.7. Scandium Recovery from Tantalum and Niobium Ores
3.8. Recovery of Scandium from its Alloy Scraps
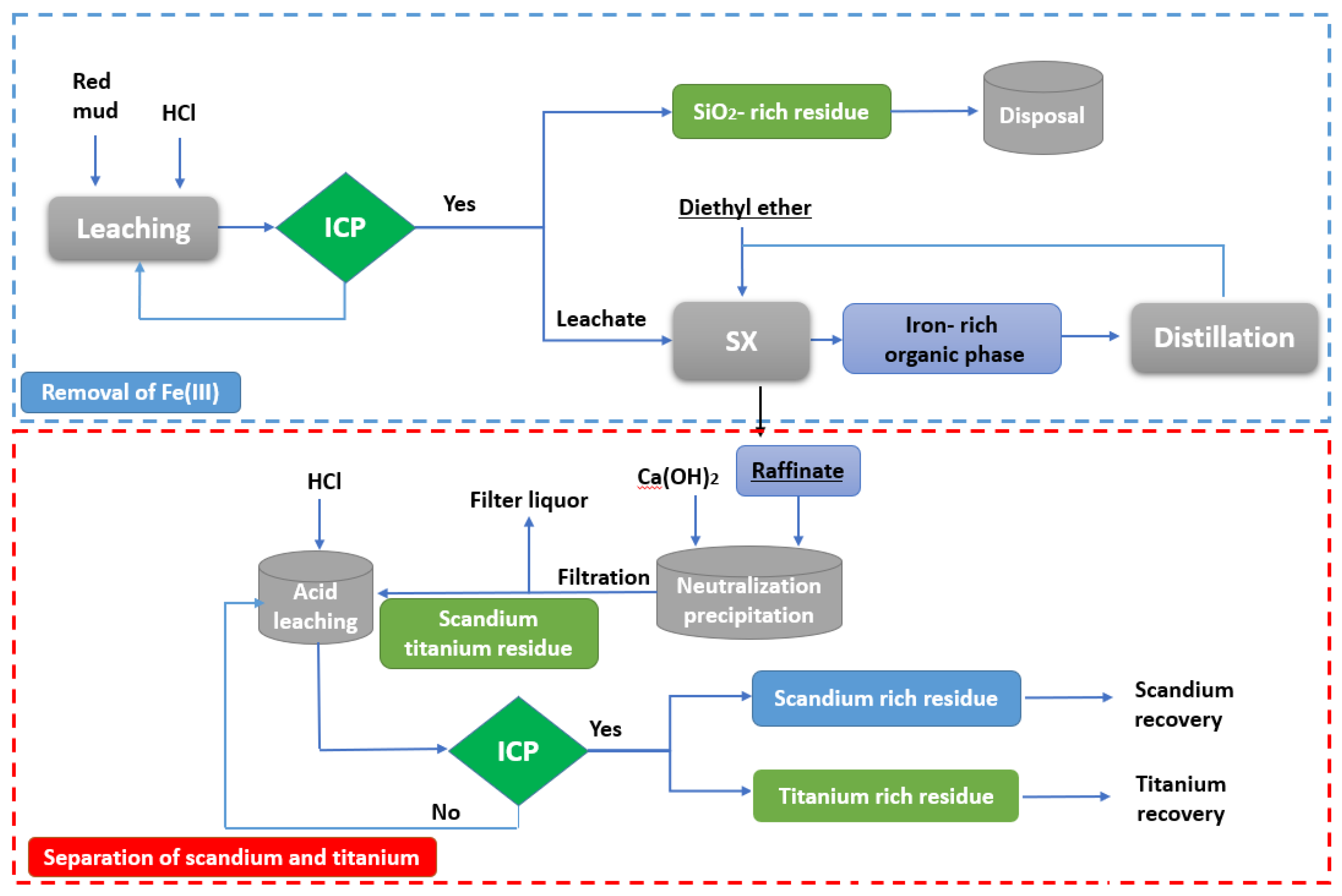
4. Recovery of Scandium from the Bauxite Waste (Red Mud)
4.1. Acid Leaching
4.2. Solvent Extraction
5. Limitations, Challenges and Future Research Directions for Scandium Recovery
6. Conclusions
Author Contributions
Funding
Institutional Review Board Statement
Informed Consent Statement
Data Availability Statement
Acknowledgments
Conflicts of Interest
Abbreviations
| HPMBP | 1-Phenyl-3-methyl-4-benzoyl-2-pyrazolin-5-one |
| HTTA | Thenoyltrifluoroacetone |
| DIOMP | Di-isooctyl methyl phosphonate |
| TRPO | Trialkylphosphine oxide |
| Ln | Lanthanides |
| SX | Solvent extraction |
| IX | Ion exchange |
| OPCs | Organo-phosphorus compounds |
| TBP | Tri-butyl phosphate |
| P350 | Di(1-methyl heptyl) methyl phosphate |
| Cyanex 923/C923 | Trialkyl phosphine oxides |
| Cyanex 925/C925 | Branched-alkyl phosphine oxides |
| Cyanex 272/C272 | Di-2,4,4-trimethylpentyl phosphinic acid |
| Cyanex 301/C301 | Bis(2,4,4-trimethylpentyl)dithiophosphinic acid. |
| Cyanex 302/C302 | Di-2,4,4,-trimethylpentyl mono-thio-phosphinic acid |
| TBPO | Tributyl phosphine oxide |
| RM | Red mud |
| (HEHEHP, Ionquest 801, P507) | 2-Ethylhexyl phosphoric acid mono-2-ethylhexyl ester |
| Aliquat 336 | Tri-octyl methylammonium chloride |
| MAN | Methyltrioctyl ammonium nitrate |
| MDA | Methyl di-butylhexadecyl ammonium nitrate |
| TBHAN | Tri-butyl hexadecyl ammonium nitrate |
| HTTA | Athenoyl trifluoroacetone |
| N1923 | Primary amine |
| ELM | Emulsion liquid membrane |
| V9 | Versatic 9/branched carboxylic acid |
| V10 | Versatic 10/ branched carboxylic acid |
| V911 | Versatic 911/branched carboxylic acid |
| APAA | Alkyl-phenoxy acetic acid |
| AA | Acetylacetone |
| TOA | Tr-n-octylamine |
| IARED | Ionic-adsorption rare earth deposit |
| X4425 | Bis(3,5,5-trimethylhexyl) |
| TRPO | Trialkylphosphineoxide |
References
- Wang, W.; Pranolo, Y.; Cheng, C.Y. Metallurgical processes for scandium recovery from various resources: A review. Hydrometallurgy 2011, 108, 100–108. [Google Scholar] [CrossRef]
- Wang, W.; Cheng, C.Y. Separation and purification of scandium by solvent extraction and related technologies: A review. J. Chem. Technol. Biotechnol. 2011, 86, 1237–1246. [Google Scholar] [CrossRef]
- Richardson, M. Jervois Mining announces major scandium deposit in New South Wales. In Australian Rare Earth Newsletter; Australian Mineral Foundation: Glenside, Australia, 1998. [Google Scholar]
- Akcil, A.; Akhmadiyeva, N.; Abdulvaliyev, R.; Abhilash; Meshram, P. Overview on extraction and separation of rare earth elements from red mud: Focus on scandium. Miner. Process. Extr. Metall. Rev. 2018, 39, 145–151. [Google Scholar] [CrossRef]
- Altinsel, Y.; Topkaya, Y.; Kaya, Ş.; Şentürk, B. Extraction of Scandium from Lateritic Nickel-Cobalt Ore Leach Solution by Ion Exchange: A Special Study and Literature Review on Previous Works; Springer International Publishing: Cham, Switzerland, 2018; pp. 1545–1553. [Google Scholar]
- Abbasi, Y.; Ali, A.; Khan, M.; Saeed, M.; Naeem, K. Liquid–liquid extraction of scandium with nalidixic acid in dichloromethane. J. Radioanal. Nucl. Chem. 2012, 292, 277–283. [Google Scholar] [CrossRef]
- Kostikova, G.; Danilov, N.; Krylov, Y.S.; Korpusov, G.; Sal’nikova, E. Extraction of scandium from various media with triisoamyl phosphate. Communication 1. extraction of Sc and impurity metals from aqueous nitric acid solutions; Ehkstraktsiya Sc triizoamilfosfatom iz razlichnykh sred. 1. Ehkstraktsiya Sc iz azotnokislykh rastvorov. Radiokhimiya 2005, 47, 162–166. [Google Scholar]
- Jiang, L.; Yang, H.; Sun, Y. Solvent Extraction of Scandium from Chlorination System with EHPAEH. MATEC Web Conf. 2019, 277, 01002. [Google Scholar] [CrossRef][Green Version]
- Riva, S.; Yusenko, K.V.; Lavery, N.P.; Jarvis, D.J.; Brown, S.G.R. The scandium effect in multicomponent alloys. Int. Mat. Rev. 2016, 61, 203–228. [Google Scholar] [CrossRef]
- Botelho, A.B., Jr.; Espinosa, D.C.R.; Vaughan, J.; Tenório, J.A.S. Recovery of scandium from various sources: A critical review of the state of the art and future prospects. Miner. Eng. 2021, 172, 107148. [Google Scholar] [CrossRef]
- Samal, S. Utilization of red mud as a source for metal ions—A review. Materials 2021, 14, 2211. [Google Scholar] [CrossRef]
- Jeong, D.; Kim, J.; Kwon, O.; Lim, C.; Sengodan, S.; Shin, J.; Kim, G. Scandium doping effect on a layered perovskite cathode for low-temperature solid oxide fuel cells (LT-SOFCs). Appl. Sci. 2018, 8, 2217. [Google Scholar] [CrossRef]
- Balaram, V. Rare earth elements: A review of applications, occurrence, exploration, analysis, recycling, and environmental impact. Geosci. Front. 2019, 10, 1285–1303. [Google Scholar] [CrossRef]
- Borra, C.R.; Blanpain, B.; Pontikes, Y.; Binnemans, K.; Van Gerven, T. Recovery of rare earths and other valuable metals from bauxite residue (red mud): A review. J. Sustain. Metall. 2016, 2, 365–386. [Google Scholar] [CrossRef]
- Graetz, G. Uranium mining and First Peoples: The nuclear renaissance confronts historical legacies. J. Clean. Prod. 2014, 84, 339–347. [Google Scholar] [CrossRef]
- Ditze, A.; Kongolo, K. Recovery of scandium from magnesium, aluminium and iron scrap. Hydrometallurgy 1997, 44, 179–184. [Google Scholar] [CrossRef]
- Ochsenkühn-Petropulu, M.; Lyberopulu, T.; Ochsenkühn, K.; Parissakis, G. Recovery of lanthanides and yttrium from red mud by selective leaching. Anal. Chim. Acta 1996, 319, 249–254. [Google Scholar] [CrossRef]
- Liao, C.; Xu, G.; Jia, J.; Zhang, Y.; Wu, S.; Yan, C. Recovery and application of scandium—A strategic resource of new century. J. Chin. Rare Earth Soc. 2001, 19, 289–297. [Google Scholar]
- Haslam, M. An Investigation into the Feasibility of Extracting Scandium from Nickel Laterite Ores. In Proceeding of ALTA 1999 Nickel/Cobalt Pressure Leaching & Hydrometallurgy Forum; ALTA Metallurgical Services: Victoria, Australia, 1999; pp. 231–238. [Google Scholar]
- Kuz’min, V.; Lomaev, V.; Pashkov, G.; Ovchinnikov, S.; Kuz’mina, V.; Dorokhova, L. Dressing ores from weathered carbonatites as a future of the Russian rare-metal production. Tsvetnye Met. 2006, 12, 62–68. [Google Scholar]
- Piga, L.; Pochetti, F.; Stoppa, L. Recovering metals from red mud generated during alumina production. JOM 1993, 45, 54–59. [Google Scholar] [CrossRef]
- Xiao-ning, T. The Technological Study and Leaching Kinetics of Scandium from Red Mud. Nonferr. Met. 2010, 2, 51–53. [Google Scholar]
- Peters, E.M.; Kaya, Ş.; Dittrich, C.; Forsberg, K. Recovery of Scandium by Crystallization Techniques. J. Sustain. Metall. 2019, 5, 48–56. [Google Scholar] [CrossRef]
- Ross, J.; Rosenbaum, J. Reconnaissance of Scandium Sources and Recovery of Scandium from Uranium Mill Solutions; U.S. Department of Interior, Bureau of Mines: Washington, DC, USA, 1962; pp. 1–11.
- Rayzman, V.; Filipovich, I. Integrating coal combustion and red mud sintering at an alumina refinery. JOM 1999, 51, 16–18. [Google Scholar] [CrossRef]
- Shedd, K.B. Tungsten Recycling in the United States in 2000. Flow Studies for Recycling Metal Commodities in the United States. US Geol. Surv. Open-File Rep. 2000, 2005, 1028. [Google Scholar]
- Shalomeev, V.; Lysenko, N.; Tsivirko, E.; Lukinov, V.; Klochikhin, V. Structure and properties of magnesium alloys with scandium. Met. Sci. Heat Treat. 2008, 50, 34–37. [Google Scholar] [CrossRef]
- Cattrall, R.; Slater, S.J.I.C. Extraction of scandium from aqueous sulfate solutions by bis (3, 5, 5-trimethylhexyl) ammonium sulfate. Inorg. Chem. 1970, 9, 598–602. [Google Scholar] [CrossRef]
- Anawati, J.; Azimi, G. Recovery of scandium from Canadian bauxite residue utilizing acid baking followed by water leaching. Waste Manag. 2019, 95, 549–559. [Google Scholar] [CrossRef] [PubMed]
- Salman, A.D.; Juzsakova, T.; Rédey, Á.; Le, P.-C.; Nguyen, X.C.; Domokos, E.; Abdullah, T.A.; Vagvolgyi, V.; Chang, S.W.; Nguyen, D.D. Enhancing the Recovery of Rare Earth Elements from Red Mud. Chem. Eng. Technol. 2021, 44, 1768–1774. [Google Scholar] [CrossRef]
- Gramaccioli, C.M.; Diella, V.; Demartin, F. The formation of scandium minerals as an example of the role of complexes in the geochemistry of rare earths and HFS elements. Eur. J. Mineral. 2000, 12, 795–808. [Google Scholar] [CrossRef]
- Yagmurlu, B.; Zhang, W.; Avdibegovic, D.; Regadío, M.; Koivula, R.; Dittrich, C.; Binnemans, K.; Friedrich, B. Advances in Scandium Recovery beyond State of the Art. In Proceedings of the ALTA 2018 Uranium-REE-Lithium Conference, Perth, Australia, 19–26 May 2018; ALTA Metallurgical Services (ALTA): Perth, Australia, 2018; pp. 85–93. [Google Scholar]
- Avdibegović, D.; Zhang, W.; Xu, J.; Regadío, M.; Koivula, R.; Binnemans, K. Selective ion-exchange separation of scandium (III) over iron (III) by crystalline α-zirconium phosphate platelets under acidic conditions. Sep. Purif. Technol. 2019, 215, 81–90. [Google Scholar] [CrossRef]
- Chen, Y.; Wang, H.; Pei, Y.; Wang, J. Selective separation of scandium (III) from rare earth metals by carboxyl-functionalized ionic liquids. Sep. Purif. Technol. 2017, 178, 261–268. [Google Scholar] [CrossRef]
- Karve, M.; Vaidya, B. Selective Separation of Scandium(III) and Yttrium(III) from other Rare Earth Elements using Cyanex302 as an Extractant. Sep. Sci. Technol. 2008, 43, 1111–1123. [Google Scholar] [CrossRef]
- Li, G.; Ye, Q.; Deng, B.; Luo, J.; Rao, M.; Peng, Z.; Jiang, T. Extraction of scandium from scandium-rich material derived from bauxite ore residues. Hydrometallurgy 2018, 176, 62–68. [Google Scholar] [CrossRef]
- Peng, Z.; Li, Q.-G.; Li, Z.-Y.; Zhang, G.-Q.; Cao, Z.-Y.; Guan, W.-J. Removal of impurities from scandium solutions by ion exchange. J. Cent. S. Univ. 2018, 25, 2953–2961. [Google Scholar] [CrossRef]
- Salman, A.D.; Juzsakova, T.; Ákos, R.; Ibrahim, R.I.; Al-Mayyahi, M.A.; Mohsen, S.; Abdullah, T.A.; Domokos, E. Synthesis and surface modification of magnetic Fe3O4/SiO2 core-shell nanoparticles and its application in uptake of scandium (III) ions from aqueous media. Environ. Sci. Pollut. Res. 2021, 28, 28428–28443. [Google Scholar] [CrossRef] [PubMed]
- Salman, A.D.; Juzsakova, T.; Jalhoom, M.G.; Le Phuoc, C.; Mohsen, S.; Adnan Abdullah, T.; Zsirka, B.; Cretescu, I.; Domokos, E.; Stan, C.D. Novel hybrid nanoparticles: Synthesis, functionalization, characterization, and their application in the uptake of scandium (III) ions from aqueous media. Materials 2020, 13, 5727. [Google Scholar] [CrossRef] [PubMed]
- Salman, A.; Juzsakova, T.; Jalhoom, M.; Ibrahim, R.; Domokos, E.; Al-Mayyahi, M.; Abdullah, T.; Szabolcs, B.; Al-Nuzal, S. Studying the extraction of scandium (III) by macrocyclic compounds from aqueous solution using optimization technique. Int. J. Environ. Sci. Technol. 2022, 1–18. [Google Scholar] [CrossRef]
- Salman, A.D.; Juzsakova, T.; Jalhoom, M.G.; Le, P.-C.; Abdullah, T.A.; Cretescu, I.; Domokos, E.; Nguyen, V.-H. Potential Application of Macrocyclic Compounds for Selective Recovery of Rare Earth Scandium Elements from Aqueous Media. J. Sustain. Metall. 2022, 8, 135–147. [Google Scholar] [CrossRef]
- Zou, D.; Li, H.; Chen, J.; Li, D. Recovery of scandium from spent sulfuric acid solution in titanium dioxide production using synergistic solvent extraction with D2EHPA and primary amine N1923. Hydrometallurgy 2020, 197, 105463. [Google Scholar] [CrossRef]
- Tavlarides, L.; Bae, J.; Lee, C. Solvent Extraction, Membranes, and Ion Exchange in Hydrometallurgical Dilute Metals Separation. Sep. Sci. Technol. 1987, 22, 581–617. [Google Scholar] [CrossRef]
- Li, D.; Wang, C.J.H. Solvent extraction of Scandium (III) by Cyanex 923 and Cyanex 925. Hydrometallurgy 1998, 48, 301–312. [Google Scholar] [CrossRef]
- Chernoburova, O.; Chagnes, A. The Future of Scandium Recovery from Wastes. Mater. Proc. 2021, 5, 55. [Google Scholar]
- Wang, Y.; Yue, S.; Li, D.; Jin, M.; Li, C.Z. Solvent extraction of scandium (III), yttrium (III), lanthanides (III), anddivalent metal ions with sec-nonylphenoxy acetic acid. Solvent Extr. Ion Exch. 2002, 20, 701–716. [Google Scholar] [CrossRef]
- Xie, F.; Zhang, T.A.; Dreisinger, D.; Doyle, F. A critical review on solvent extraction of rare earths from aqueous solutions. Miner. Eng. 2014, 56, 10–28. [Google Scholar] [CrossRef]
- Fujinaga, K.; Yoshimori, M.; Nakajima, Y.; Oshima, S.; Watanabe, Y.; Stevens, G.W.; Komatsu, Y. Separation of Sc(III) from ZrO(II) by solvent extraction using oxidized Phoslex DT-8. Hydrometallurgy 2013, 133, 33–36. [Google Scholar] [CrossRef]
- Singh, R.K.; Dhadke, P.M. Extraction and separation of scandium (III) from perchlorate media, by D2EHPA and PC-88A. Bull. Chem. Technol. Maced. 2003, 22, 1–11. [Google Scholar]
- Ujaczki, É.; Zimmermann, Y.-S.; Feigl, V.; Lenz, M. Recovery of Rare Earth Elements from Hungarian Red Mud with Combined Acid Leaching and Liqiud-Liquid Extraction. In Proceedings of the Bauxite Residue Valorisation and Best Practices Conference, Leuven, Belgium, 5–7 October 2015; pp. 339–345. [Google Scholar]
- Baba, Y.; Fukami, A.; Kubota, F.; Kamiya, N.; Goto, M. Selective extraction of scandium from yttrium and lanthanides with amic acid-type extractant containing alkylamide and glycine moieties. RSC Adv. 2014, 4, 50726–50730. [Google Scholar] [CrossRef]
- Ismail, N.; Hisyam, A.; Abd Aziz, M.A.; Mohd Yunus, M.Y. Selection of Extractant in Rare Earth Solvent Extraction System: A Review. Int. J. Recent Technol. Eng. 2019, 8, 728–743. [Google Scholar]
- Wang, C.; Li, D. Extraction mechanism of Sc(III) and separation from Th(IV), Fe(III) and Lu(III) with bis(2,4,4-trimethylpentyl)phosphinic acid in n-hexane from sulphuric acid solutions. Solvent Extr. Ion Exch. 1994, 12, 615–631. [Google Scholar] [CrossRef]
- Elbashier, E.; Mussa, A.; Hafiz, M.; Hawari, A.H. Recovery of rare earth elements from waste streams using membrane processes: An overview. Hydrometallurgy 2021, 204, 105706. [Google Scholar] [CrossRef]
- Depuydt, D.; Dehaen, W.; Binnemans, K. Solvent Extraction of Scandium(III) by an Aqueous Biphasic System with a Nonfluorinated Functionalized Ionic Liquid. Ind. Eng. Chem. Res. 2015, 54, 8988–8996. [Google Scholar] [CrossRef]
- Zhang, X.-K.; Zhou, K.-G.; Chen, W.; Lei, Q.-Y.; Huang, Y.; Peng, C.-H. Recovery of iron and rare earth elements from red mud through an acid leaching-stepwise extraction approach. J. Cent. S. Univ. 2019, 26, 458–466. [Google Scholar] [CrossRef]
- Wang, W.; Pranolo, Y.; Cheng, C.Y. Recovery of scandium from synthetic red mud leach solutions by solvent extraction with D2EHPA. Sep. Purif. Technol. 2013, 108, 96–102. [Google Scholar] [CrossRef]
- Ye, Q.; Li, G.; Deng, B.; Luo, J.; Rao, M.; Peng, Z.; Zhang, Y.; Jiang, T. Solvent extraction behavior of metal ions and selective separation Sc3+ in phosphoric acid medium using P204. Sep. Purif. Technol. 2019, 209, 175–181. [Google Scholar] [CrossRef]
- Hu, J.; Zou, D.; Chen, J.; Li, D. A novel synergistic extraction system for the recovery of scandium (III) by Cyanex 272 and Cyanex 923 in sulfuric acid medium. Sep. Purif. Technol. 2020, 233, 115977. [Google Scholar] [CrossRef]
- Ritcey, G.; Ashbrook, A. Principles and Applications to Process Metallurgy (Part I); Elsevier Science Publishers: New York, NY, USA, 1984. [Google Scholar]
- Qureshi, I.H.; McClendon, L.T.; Lafleur, F.D. Extraction Studies of the Group III B-VII B Elements and the Lanthanides Utilizing Bis(2-Ethyl-Hexyl) Orthophosphoric Acid. J. Radiochim. Acta 1969, 12, 107–111. [Google Scholar] [CrossRef]
- Swain, B.; Akcil, A.; Lee, J.-C. Red mud valorization an industrial waste circular economy challenge; review over processes and their chemistry. Crit. Rev. Environ. Sci. Technol. 2022, 52, 520–570. [Google Scholar] [CrossRef]
- Batchu, N.K.; Li, Z.; Verbelen, B.; Binnemans, K. Structural effects of neutral organophosphorus extractants on solvent extraction of rare-earth elements from aqueous and non-aqueous nitrate solutions. Sep. Purif. Technol. 2021, 255, 117711. [Google Scholar] [CrossRef]
- Flett, D. Solvent extraction in hydrometallurgy: The role of organophosphorus extractants. J. Organomet. Chem. 2005, 690, 2426–2438. [Google Scholar] [CrossRef]
- Yoshida, H. Separation of thorium, rare earth elements and scandium by thiocyanate-tributylphosphate extraction system. Bunseki Kagaku Jpn. Anal. 1963, 12, 7. [Google Scholar] [CrossRef][Green Version]
- Li, D.; Wan, X.; Lin, D.; Xie, Y.; Lin, S.; Wang, Z.; Li, Y.; Ji, E. In Extraction separation of rare earth elements, scandium and thorium with mono (2-ethyl hexyl) 2-ethyl hexyl phosphonate (HEH (EHP)). In Proceedings of the International Solvent Extraction Conference ISEC, Liege, Belgium, 6–12 September 1980; pp. 80–202. [Google Scholar]
- Koladkar, D.V.; Dhadke, P.M.J.J. Solvent extraction of Sc (III) from sulfuric acid solution by bis (2-ethylhexyl) phosphonic acid in toluene. J. Ser. Chem Soc. 2002, 67, 265–272. [Google Scholar] [CrossRef]
- Rice, N.; Smith, D.C. The recovery of nickel from chloride leach liquors with alkyl phosphoric acid/aliphatic oxime mixtures. LUMA 1986, 2, 49–57. [Google Scholar]
- Das, S.; Behera, S.S.; Murmu, B.M.; Mohapatra, R.K.; Mandal, D.; Samantray, R.; Parhi, P.K.; Senanayake, G. Extraction of scandium(III) from acidic solutions using organo-phosphoric acid reagents: A comparative study. Sep. Pur. Tech. 2018, 202, 248–258. [Google Scholar] [CrossRef]
- Miller, F.J.T. Carboxylic acids as metal extractants. Talanta 1974, 21, 685–703. [Google Scholar] [CrossRef]
- Liao, C.; Jia, J.; Zhang, Y.; Xu, G.; Yan, C.; Li, B.; Xu, G. Extraction of scandium from ion-adsorptive rare earth deposit by naphthenic acid. J. Alloys Compd. 2001, 323, 833–837. [Google Scholar] [CrossRef]
- Opare, E.O.; Struhs, E.; Mirkouei, A.J.R. A comparative state-of-technology review and future directions for rare earth element separation. Renew. Sust. Energ. Rev. 2021, 143, 110917. [Google Scholar]
- Bo, Q.; Lu, J.; Li, D.; Zhang, X.Y.; Ye, W.Z. Extraction separation and mechanism of scandium by sec-octylphenoxy acetic acid from other rare earth elements. Chin. J. Anal. Chem. 2001, 29, 45–48. [Google Scholar]
- Wang, Y.; Yue, S.; Li, D.; Jin, M.; Li, C. Extraction of rare earth by sec-nonylphenoxy acetic acid. In Proceedings of the Inter-national Solvent Extraction Conference ISEC, Cape Town, South Africa, 17–21 March 2002; pp. 436–440. [Google Scholar]
- Xue, L.; Li, D. Extraction Of Scandium (Ⅲ), Yttrium (Ⅲ), Lanthanide (Ⅲ) And Iron (Ⅲ) From Hydrochloric Acid Solutions With Di-(2-Ethylhexyl) Phosphinic Acid. J. App. Chem. 1992, 4, 21–25. [Google Scholar]
- Shan, X.; Qin, W.; Zhou, Z.; Dai, Y. Prediction of pKa Values of Extractant Using Novel Quantitative Structure–Property Relationship Models. J. Chem. Eng. 2008, 53, 331–334. [Google Scholar] [CrossRef]
- Peppard, D.; Mason, G.; Maier, J. Interrelationships in the solvent extraction behaviour of scandium, thorium, and zirconium in certain tributyl phosphate-mineral acid systems. J. Inorg. Nucl. Chem. 1956, 3, 215–228. [Google Scholar] [CrossRef]
- Zhang, P.; You, S.; Zhang, L.; Feng, S.; Hou, S. A solvent extraction process for the preparation of ultrahigh purity scandium oxide. Hydrometallurgy 1997, 47, 47–56. [Google Scholar] [CrossRef]
- Onghena, B.; Binnemans, K. Recovery of Scandium(III) from Aqueous Solutions by Solvent Extraction with the Functionalized Ionic Liquid Betainium Bis(trifluoromethylsulfonyl)imide. Ind. Eng. Chem. Res. 2015, 54, 1887–1898. [Google Scholar] [CrossRef]
- Sun, X.; Wu, D.; Chen, J.; Li, D. Separation of scandium(III) from lanthanides(III) with room temperature ionic liquid based extraction containing Cyanex 925. J. Chem. Techn. Biotech. 2007, 82, 267–272. [Google Scholar] [CrossRef]
- Onghena, B.; Borra, C.R.; Van Gerven, T.; Binnemans, K. Recovery of scandium from sulfation-roasted leachates of bauxite residue by solvent extraction with the ionic liquid betainium bis(trifluoromethylsulfonyl)imide. Sep. Pur. Technol. 2017, 176, 208–219. [Google Scholar] [CrossRef]
- Wu, D.; Xiong, Y.; Li, D. Studies on the Roles of Different Components in Cyanex 302 for Rare Earth Ions Extraction and Separation. Sep. Sci. Tech. 2006, 41, 1725–1739. [Google Scholar] [CrossRef]
- Zhou, J.; Ning, S.; Meng, J.; Zhang, S.; Zhang, W.; Wang, S.; Chen, Y.; Wang, X.; Wei, Y. Purification of scandium from concentrate generated from titanium pigments production waste. J. Rare Earths 2021, 39, 194–200. [Google Scholar] [CrossRef]
- Li, D.; Ni, J. Radiochemistry, Extraction mechanism of Sc (III) from sulphuric acid solution by primary amine N 1923. J. Nucl. Radiochem. 1987, 9, 163–167. [Google Scholar]
- Ma, G.; Li, D. Extraction of scandium (III) from nitrate-thiocyanate solutions with primary amine N 1923. In Proceedings of the International Solvent Extraction Conference 1990 (ISEC ‘90), Kyoto, Japan, 18–21 July 1990; pp. 1051–1056. [Google Scholar]
- Langade, A.; Shinde, V.J. Solvent extraction of scandium (III). Anal. Chem. 1980, 52, 2031–2033. [Google Scholar] [CrossRef]
- Du Preez, R.; Preston, J.S. Solvent extraction of metals by neutral organophosphorus compounds: Part 2: The role of extractant structure in the extraction of scandium (III), yttrium (III), and the trivalent lanthanides from nitrate solutions. S. Afr. J. Chem. 1986, 39, 137–142. [Google Scholar]
- Poskanzer, A.; Foreman, B.M., Jr.; Chemistry, N. A summary of TTA extraction coefficients. J. Inorg. Nucl. Chem. 1961, 16, 323–336. [Google Scholar] [CrossRef]
- Roy, A.; Nag, K.J. Solvent extraction behavior of rare earth ions with 1-phenyl-3-methyl-4-benzoyl-5-pyrazolone—II: An examination of gadolinium break, tetrad effect, double-double effect and the relevance of “inclined-W” plot. J. Inorg. Nucl. Chem. 1978, 40, 331–334. [Google Scholar] [CrossRef]
- Sekine, T.; Dyrssen, D. Solvent extraction of metal ions with mixed ligands—III: Adduct formation of Eu (III) and Th (IV) chelates with TTA and IPT. J. Inorg. Nucl. Chem. 1967, 29, 1457–1473. [Google Scholar] [CrossRef]
- Lesnov, A.; Sazonova, E.A. Extraction of scandium ions by 1-alkyl-3-methyl-2-pyrazolin-5-ones from perchlorate solutions. Russ. J. Inorg. Chem. 2007, 52, 979–982. [Google Scholar] [CrossRef]
- Farbu, L.; Alstad, J.; Augustson, J.; Chemistry, N. Synergistic solvent extraction of rare-earth metal ions with thenoyltrifluoroacetone admixed with tributylphosphate. J. Inorg. Nucl. Chem. 1974, 36, 2091–2095. [Google Scholar] [CrossRef]
- Santhi, P.; Reddy, M.; Ramamohan, T.; Damodaran, A.; Mathur, J.; Murali, M.S. Synergistic extraction of trivalent lanthanides and actinides by mixtures of 1-phenyl-3-methyl-4-benzoyl-pyrazalone-5 and neutral oxo-donors. Solvent Extr. Ion Exch. 1994, 12, 633–650. [Google Scholar] [CrossRef]
- Jia, Q.; Liao, W.; Li, D.; Niu, C. Synergistic extraction of lanthanum (III) from chloride medium by mixtures of 1-phenyl-3-methyl-4-benzoyl-pyrazalone-5 and triisobutylphosphine sulphide. Anal. Chim. Acta 2003, 477, 251–256. [Google Scholar] [CrossRef]
- Khopkar, P.; Mathur, J. Synergistic extraction of some trivalent actinides and lanthanides by thenoyltrifluoroacetone and aliquat chloride. J. Inorg. Nucl. Chem. 1977, 39, 2063–2067. [Google Scholar] [CrossRef]
- Atanassova, M.; Dukov, I.L.; Technology, P. Synergistic solvent extraction and separation of trivalent lanthanide metals with mixtures of 4-benzoyl-3-methyl-1-phenyl-2-pyrazolin-5-one and aliquat 336. Sep. Purif. Technol. 2004, 40, 171–176. [Google Scholar] [CrossRef]
- Hirashima, Y.; Mugita, M.; Shiokawa, J. Synergistic extraction of lanthanoids with di (2-ethylhexyl) phosphoric acid and some reagents. J. Inorg. Nucl. Chem. 1976, 38, 1199–1202. [Google Scholar] [CrossRef]
- Sudersanan, M. Synergism in the extraction of scandium. In Proceedings of the Indian Academy of Sciences—Chemical Sciences; Springer: Berlin/Heidelberg, Germany, 1979; pp. 385–391. [Google Scholar]
- Tong, S.; Song, N.; Jia, Q.; Zhou, W.; Liao, W. Solvent extraction of rare earths from chloride medium with mixtures of 1-phenyl-3-methyl-4-benzoyl-pyrazalone-5 and sec-octylphenoxyacetic acid. Sep. Purif. Technol. 2009, 69, 97–101. [Google Scholar] [CrossRef]
- Goonan, T.G. Rare Earth Elements: End Use and Recyclability; US Department of the Interior, U.S. Geological Survey: Reston, VA, USA, 2011.
- Cotton, F.A.; Wilkinson, G.; Murillo, C.A.; Bochmann, M. Advanced Inorganic Chemistry; John Wiley and Sons, Inc.: Hoboken, NJ, USA, 1999. [Google Scholar]
- Li, D.; Zuo, Y.; Meng, S. Separation of thorium (IV) and extracting rare earths from sulfuric and phosphoric acid solutions by solvent extraction method. J. Alloys Compd. 2004, 374, 431–433. [Google Scholar] [CrossRef]
- Basov, V. World’s Largest Uranium Producing Countries in 2020—Report. Available online: https://www.kitco.com/news/2021-09-16/World-s-largest-uranium-producing-countries-in-2020-report (accessed on 2 December 2021).
- Lash, L.; Ross, J. Vitro chemical recovers costly scandium from uranium solutions. Trans. AIME 1961, 220. [Google Scholar]
- Kostikova, G.; Mal’Tseva, I.; Zhilov, V. Extraction Recovery of Scandium and Concomitant Elements with Isoamyldialkylphosphine Oxide from Different Media. Rus. J. Inorg. Chem. 2019, 64, 277–282. [Google Scholar] [CrossRef]
- Alkan, G.; Xakalashe, B.; Yagmurlu, B. Kaussen, F.; Friedrich, B., Conditioning of red mud for subsequent titanium and scandium recovery–a conceptual design study. World Metal. 2017, 70, 5–12. [Google Scholar]
- Abhilash; Hedrich, S.; Schippers, A. Distribution of scandium in red mud and extraction using Gluconobacter oxydans. Hydrometallurgy 2021, 202, 105621. [Google Scholar] [CrossRef]
- U.S. Department of the Interior. Minerals Yearbook, 2007, V. 3, Area Reports, International, Latin America and Canada; US Government Printing Office: Washington, DC, USA, 2010.
- Baptiste, P.E.J. Extraction of Scandium from Its Ores. U.S. Patent 2874039A, 1959. [Google Scholar]
- Shaoquan, X.; Suqing, L. Review of the extractive metallurgy of scandium in China (1978–1991). Hydrometallurgy 1996, 42, 337–343. [Google Scholar] [CrossRef]
- Mao, J.; Fan, J.; She, Z. Scandium extraction from Panzhihua titanium tailing. Min. Metall. Eng. 1996, 16, 48–52. [Google Scholar]
- Feuling, R.J. Recovery of Dcandium, Yttrium and Ianthanides from Titanium Ore. U.S. Patent US5049363A, 1991. [Google Scholar]
- Yagmurlu, B.; Orberger, B.; Dittrich, C.; Croisé, G.; Scharfenberg, R.; Balomenos, E.; Panias, D.; Mikeli, E.; Maier, C.; Schneider, R.; et al. Sustainable Supply of Scandium for the EU Industries from Liquid Iron Chloride Based TiO2 Plants. Mater. Proc. 2021, 5, 86. [Google Scholar]
- Clark, R.J.H.; Bradley, D.C.; Thornton, P. The chemistry of titanium, zirconium and hafnium. In Pergamon Texts in Inorganic Chemistry; Elsevier: Amsterdam, The Netherlands, 2018; p. 19. [Google Scholar]
- Feuling, R.J. Recovery of Scandium, Yttrium and Lanthanides from Zircon Sand. U.S. Patent 5039336A, 1991. [Google Scholar]
- Gokhale, Y.; Bhat, T. Determination of scandium in wolframite and in the residues obtained after the extraction of tungsten. Talanta 1967, 14, 435–437. [Google Scholar] [CrossRef]
- Zhong, X. Technology of extracting scandium oxide by primary amine. Ch. J. Rare Met. 2002, 26, 527–529. [Google Scholar]
- Kempe, U.; Wolf, D. Anomalously high Sc contents in ore minerals from Sn–W deposits: Possible economic significance and genetic implications. Ore Geol. Rev. 2006, 28, 103–122. [Google Scholar] [CrossRef]
- Gongyi, G.; Yuli, C.; Yu, L. Solvent Extraction off Scandium from Wolframite Residue. JOM 1988, 40, 28–31. [Google Scholar] [CrossRef]
- Kim, T.K.; McClintic, R.P. Process for Recovering Scandium from Waste Material. U.S. Patent 4751061A, 1988. [Google Scholar]
- Wakui, Y.; Matsunaga, H.; Suzuki, T.M. Selective recovery of trace scandium from acid aqueous solution with (2-ethylhexyl hydrogen 2-ethylhexylphosphonate)-impregnated resin. Anal. Sci. 1989, 5, 189–193. [Google Scholar] [CrossRef][Green Version]
- Vanderpool, C.D.; McInnis, M.B.; Ladd, J.A. Recovery of Tungsten, Scandium, Iron, and Manganese Values from Tungsten Bearing Material. U.S. Patent US4624703A, 1986. [Google Scholar]
- Rourke, W.J.; Lai, W.-C.; Natansohn, S. Liquid Extraction Procedure for the Recovery of Scandium. U.S. Patent US4898719A, 1990. [Google Scholar]
- Smyshlyaev, D.; Botalov, M.; Bunkov, G.; Rychkov, V.; Kirillov, E.; Kirillov, S.; Semenishchev, V. Scandium Recovery from Slags after Oxidized Nickel Ore Processing. In AIP Conference Proceedings; AIP Publishing LLC: Melville, NY, USA, 2017; p. 020040. [Google Scholar]
- Koryakov, V.; Medvedev, A.S. Improvement of sulfuric acid pressure leaching of complex scandium-bearing ores. Tsvetnye Mettally Non Ferr. Met. 1994, 2, 45–56. [Google Scholar]
- Akira, K.; Kosuke, M.; Hiromasa, Y. Processes for Recovering Scandium from Nickel-Containing Oxide Ore. European Patent EP0775753, 1999. [Google Scholar]
- Huston, D.; Doublier, M.; Downes, P. Geological Setting, Age and Endowment of Major Australian Mineral Deposits-A Compilation; Commonwealth of Australia, Geoscience Australia: Canberra, Australia, 2021. [Google Scholar] [CrossRef]
- U.S. Geological Survey. Mineral Commodity Summaries, 2009; U.S. Government Printing Office: Washington, DC, USA, 2010.
- Odekirk, M.D.; Harbuck, D.D. Scandium Solvent Extraction from Liquors Produced By Leaching Sulfated Tantalum Tailings. In Proceedings of the EPD Congress Symposium of the TMS Annual Meeting, Denver, CO, USA, 21–25 1993; pp. 83–97. [Google Scholar]
- Odekirk, M.D. Separation of Scandium from Tantalum Residue Using Fractional Liquid-Liquid Extraction. Google Patents US5492680A, 1996. [Google Scholar]
- Dobretsov, N.; Pokhilenko, N. Geophysics, Mineral resources and development in the Russian Arctic. Russ. Geol. Geophys. 2010, 51, 98–111. [Google Scholar] [CrossRef]
- Zhang, J.-J.; Deng, Z.-G.; Xu, T.-H. Experimental investigation on leaching metals from red mud. Light Met. 2005, 2, 13–15. [Google Scholar]
- Wang, K.; Yu, Y.; Wang, H.; Chen, J. Experimental investigation on leaching scandium from red mud by hydrochloric acid. Chin. Rare Earths 2010, 1, 95–98. [Google Scholar]
- Xu, L.; Shi, G.-d.; Li, Y.; Zhong, Q.; Luo, Y.; Yu, P. Study of scandium pre-enrichment from red mud leached by hydrochloric acid. Nonferr. Met. 2015, 1, 54. [Google Scholar]
- Tang, X.-N.; Chen, X.-H.; Xue, A. Research on leaching kinetics of scandium from red mud. Hydrometall China 2010, 29, 155. [Google Scholar]
- Borra, C.R.; Pontikes, Y.; Binnemans, K.; Van Gerven, T. Leaching of rare earths from bauxite residue (red mud). Miner. Eng. 2015, 76, 20–27. [Google Scholar] [CrossRef]
- Qu, Y.; Lian, B. Bioleaching of rare earth and radioactive elements from red mud using Penicillium tricolor RM-10. Bioresour. Technol. 2013, 136, 16–23. [Google Scholar] [CrossRef]
- Zinoveev, D.; Grudinsky, P.; Zhiltsova, E.; Grigoreva, D.; Volkov, A.; Dyubanov, V.; Petelin, A. Research on High-Pressure Hydrochloric Acid Leaching of Scandium, Aluminum and Other Valuable Components from the Non-Magnetic Tailings Obtained from Red Mud after Iron Removal. Metals 2021, 11, 469. [Google Scholar] [CrossRef]
- Liu, Z.; Zong, Y.; Li, H.; Zhao, Z. Characterization of scandium and gallium in red mud with Time of Flight-Secondary Ion Mass Spectrometry (ToF-SIMS) and Electron Probe Micro-Analysis (EPMA). Miner. Eng. 2018, 119, 263–273. [Google Scholar] [CrossRef]
- Ochsenkühn-Petropoulou, M.; Hatzilyberis, K.; Mendrinos, L.; Salmas, C. Pilot-Plant Investigation of the Leaching Process for the Recovery of Scandium from Red Mud. Ind. Eng. Chem. Res. 2002, 41, 5794–5801. [Google Scholar] [CrossRef]
- Yatsenko, S.; Pyagai, I. Red mud pulp carbonization with scandium extraction during alumina production. Theor. Found. Chem. Eng. 2010, 44, 563–568. [Google Scholar] [CrossRef]
- Boyarintsev, A.V.; Aung, H.Y.; Stepanov, S.I.; Shoustikov, A.A.; Ivanov, P.I.; Giganov, V.G. Evaluation of Main Factors for Improvement of the Scandium Leaching Process from Russian Bauxite Residue (Red Mud) in Carbonate Media. ACS Omega 2022, 7, 259–273. [Google Scholar] [CrossRef] [PubMed]
- Kiskira, K.; Lymperopoulou, T.; Tsakanika, L.-A.; Pavlopoulos, C.; Papadopoulou, K.; Ochsenkühn, K.-M.; Lyberatos, G.; Ochsenkühn-Petropoulou, M. Study of microbial cultures for the bioleaching of scandium from alumina industry by-products. Metals 2021, 11, 951. [Google Scholar] [CrossRef]
- Zhang, J.-J.; Deng, Z.-G.; Xu, T.-H. Recovery scandium from leaching liquor of red mud. Light Met. 2006, 7, 16. [Google Scholar]
- Liu, Z.; Li, H.; Jing, Q.; Zhang, M. Recovery of Scandium from Leachate of Sulfation-Roasted Bayer Red Mud by Liquid–Liquid Extraction. JOM 2017, 69, 2373–2378. [Google Scholar] [CrossRef]
- Jiang, P.-G.; Liao, C.-F. Study on technology of extracting scandium from leaching solution of red-mud. China Nonferr. Met. 2012, 1, 66. [Google Scholar]
- Hualei, Z.; Dongyan, L.; Yajun, T.; Yunfa, C. Extraction of scandium from red mud by modified activated carbon and kinetics study. Rare Met. 2008, 27, 223–227. [Google Scholar]
- Wang, X.-J.; Li, X.-K. Scandium extraction from red mud solution by emulsion liquid membrane. Nonferr. Met. Extr. Metall. 2008, 2, 25. [Google Scholar]
- Zhang, N.; Li, H.-X.; Liu, X.-M. Recovery of scandium from bauxite residue—Red mud: A review. Rare Met. 2016, 35, 887–900. [Google Scholar] [CrossRef]
- Botelho, A.B., Jr.; Espinosa, D.C.R.; Tenório, J.A.S. Selective separation of Sc(III) and Zr(IV) from the leaching of bauxite residue using trialkylphosphine acids, tertiary amine, tri-butyl phosphate and their mixtures. Sep. Purif. Technol. 2021, 279, 119798. [Google Scholar] [CrossRef]
- Ochsenkühn-Petropulu, M.; Lyberopulu, T.; Parissakis, G. Selective separation and determination of scandium from yttrium and lanthanides in red mud by a combined ion exchange/solvent extraction method. Anal. Chim. Acta 1995, 315, 231–237. [Google Scholar] [CrossRef]
- Shoppert, A.; Loginova, I.; Napol’skikh, J.; Valeev, D. High-Selective Extraction of Scandium (Sc) from Bauxite Residue (Red Mud) by Acid Leaching with MgSO4. Materials 2022, 15, 1343. [Google Scholar] [CrossRef] [PubMed]
- Pasechnik, L.A.; Skachkov, V.M.; Chufarov, A.Y.; Suntsov, A.Y.; Yatsenko, S.P. High purity scandium extraction from red mud by novel simple technology. Hydrometallurgy 2021, 202, 105597. [Google Scholar] [CrossRef]
- Shoppert, A.; Loginova, I.; Napol’skikh, J.; Kyrchikov, A.; Chaikin, L.; Rogozhnikov, D.; Valeev, D. Selective Scandium (Sc) Extraction from Bauxite Residue (Red Mud) Obtained by Alkali Fusion-Leaching Method. Materials 2022, 15, 433. [Google Scholar] [CrossRef]
- Lei, Q.; He, D.; Zhou, K.; Zhang, X.; Peng, C.; Chen, W. Separation and recovery of scandium and titanium from red mud leaching liquor through a neutralization precipitation-acid leaching approach. J. Rare Earths 2021, 39, 1126–1132. [Google Scholar] [CrossRef]
- Jumadilov, T.; Totkhuskyzy, B.; Malimbayeva, Z.; Kondaurov, R.; Imangazy, A.; Khimersen, K.; Grazulevicius, J. Impact of Neodymium and Scandium Ionic Radii on Sorption Dynamics of Amberlite IR120 and AB-17-8 Remote Interaction. Materials 2021, 14, 5402. [Google Scholar] [CrossRef]
- Zhu, X.; Li, W.; Tang, S.; Zeng, M.; Bai, P.; Chen, L. Selective recovery of vanadium and scandium by ion exchange with D201 and solvent extraction using P507 from hydrochloric acid leaching solution of red mud. Chemosphere 2017, 175, 365–372. [Google Scholar] [CrossRef]
- Zhang, W.; Zhang, T.-A.; Lv, G.; Zhou, W.; Cao, X.; Zhu, H. Extraction separation of Sc (III) and Fe (III) from a strongly acidic and highly concentrated ferric solution by D2EHPA/TBP. JOM 2018, 70, 2837–2845. [Google Scholar] [CrossRef]
- Qiu, H.; Wang, M.; Xie, Y.; Song, J.; Huang, T.; Li, X.-M.; He, T. From trace to pure: Recovery of scandium from the waste acid of titanium pigment production by solvent extraction. Process Saf. Environ. Prot. 2019, 121, 118–124. [Google Scholar] [CrossRef]
- Li, S.-C.; Kim, S.-C.; Kang, C.-S. Recovery of scandium from KOH sub-molten salt leaching cake of fergusonite. Miner. Eng. 2019, 137, 200–206. [Google Scholar] [CrossRef]
- Chen, Y.; Ma, S.; Ning, S.; Zhong, Y.; Wang, X.; Fujita, T.; Wei, Y. Highly efficient recovery and purification of scandium from the waste sulfuric acid solution from titanium dioxide production by solvent extraction. J. Environ. Chem. Eng. 2021, 9, 106226. [Google Scholar] [CrossRef]
- Zhou, J.; Ma, S.; Chen, Y.; Ning, S.; Wei, Y.; Fujita, T. Recovery of scandium from red mud by leaching with titanium white waste acid and solvent extraction with P204. Hydrometallurgy 2021, 204, 105724. [Google Scholar] [CrossRef]
- Rout, P.C.; Sarangi, K. A systematic study on extraction and separation of scandium using phosphinic acid by both solvent extraction and hollow fibre membrane. Miner. Process. Extr. Metall. 2021, 1–11. [Google Scholar] [CrossRef]
- Ndlovu, S.; Simate, G.S.; Matinde, E. Waste Production and Utilization in the Metal Extraction Industry; CRC Press: Boca Raton, FL, USA, 2017. [Google Scholar] [CrossRef]
- Bashiri, A.; Nikzad, A.; Maleki, R.; Asadnia, M.; Razmjou, A. Rare Earth Elements Recovery Using Selective Membranes via Extraction and Rejection. Membranes 2022, 12, 80. [Google Scholar] [CrossRef]



















| No. | Author(s) | Extractant Structures | Metals Matrix | Remarks | Ref. |
|---|---|---|---|---|---|
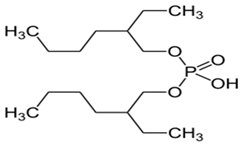
| 1 | Qureshi et al. (1969) | ![]() HDEHP, D2EHPA, P204 | Sc3+ ∼ Ti4+, Zr4+,Hf4+ > Y3+ > La3+ > Mn2+ | The organic is 0.75 M of HDEHP in n-heptane or cyclohexane the aqueous feed is 1–11 M HCl, HClO4 or HNO3 | [61] |
| 2 | Xue LZ et al. (1992) | Sc3+ >> Fe3+ > Lu3+ > Yb3+ > Er3+ > Y3+ > Ho3+ | The organic phase included P204 in n-octane. The aqueous phase pH 3–10 M HCl | [75] | |
| 3 | Ditze et al. (1997) | Sc3+ > Fe3+ > Al3+ < Mg2+ | The organic phase included 20% P204 and 15% TBP in kerosene. The aqueous phase 2.5 g/L Sc, 25 g /L Mg, Al and Fe in 0.5 M HCl | [16] | |
| 4 | Haslam M et al. (1999) | Sc3+ ∼ Zn2+ > Ca2+ ∼Al3+ > Mn2+ > Cr3+ ∼ Mg2+ ∼ Ni2+ ∼ Si | The organic phase included 0.2 M P204 and 1% TBP in Escaid 110. The aqueous phase has pH 1.5–3.5 of H2SO4 | [19] | |
| 5 | Singh RK et al. (2003) | Sc3+ > Fe3+ > Al3+ > Mg2+ | The organic solution contains 0.1 M P204 in toluene. The aqueous contains 0.5–11 M HClO4 | [49] | |
| 6 | Li DQ, et al. (1980) | ![]() HEHEHP | Sc3+ ∼ Th4+ > Ce4+ > Fe3+ | The organic solution included HEHEHP in n-heptane. The aqueous is 0.5–1.5 M H2SO4 | [66] |
| 7 | Li DQ, et al. (1980) | Sc3+ > Ce4+ > Th4+ > Fe3+ | The organic solution included HEHEHP in n-heptane. The aqueous is 1.5–5 M H2SO4 | [66] | |
| 8 | Haslam M et al. (1999) | Sc3+ > Zn2+ > Al3+ > Mn2+ ∼ Cr3+ ∼ Ca2+ ∼ Mg2+ > Ni2+ ∼ Si | The organic solution is 0.2 M Ionquest 801 and 1% TBP. The aqueous solution has pH 1–5.5 H2SO4 | [19] | |
| 9 | Singh RK et al. (2003) | Sc3+ > Fe3+ > Al3+ > Mg2+ | The organic solution is 0.1 M PC-88A in toluene. The aqueous phase is 0.01–1 M HClO4 | [49] | |
| 10 | Wang C et al. (1994) | ![]() C 272 | Sc3+ ∼ Th4+ > Fe3+ > Lu3+ | The organic solution 4.8 × 10−2 M Cyanex 272 in n- hexane. The aqueous phase is H2SO4 3–10 M | [53] |
| 11 | Haslam M et al. (1999) | Sc3+ >> Al3+ > Ni2+ > Si >Mn2+ ∼Mg2+∼Ca2+> Cr3+ | The organic solution is 0.1 M Cyanex 272 and 5% TBP. The aqueous phase is H2SO4 has pH ∼1 | [19] | |
| 12 | Wang C et al. (1995) | ![]() C 302 | Zr4+ > Sc3+ > Th4+ > Fe3+ > Lu3+ | The organic solution is 4.8 × 10−2 M Cyanex 302 in n-hexane. The aqueous is 2 × 10−4 − 6 × 10−4 M metals, pH 3–10 M H2SO4 | [76] |
| 13 | Wang C et al. (1995) | ![]() C 301 | Zr4+ > Sc3+ ∼ Fe3+ ∼ Th4+ > Lu3+ | The organic solution is 4.8 × 10−2 M Cyanex 302 in n-hexane. The aqueous is 2 × 10−4 − 6 × 10−4 M metals, pH 3–10 M H2SO4 | [76] |
| 14 | Wang et al. (2013) | ![]() P204 ![]() C 272 ![]() Primene JMT LIX54 ![]() Ionquest 801 V 10 | Sc3+ < Ti4+ < Fe3+ < Zr4+ < Ga | P204 appears to be selective than other reagents while extracting Sc3+ from the leach solution bearing Zr, Fe, Ti & Ga | [57] |
| 15 | Peppard DF et al. (1956) | ![]() TBP | Sc3+ ∼ Zr4+ > Th4+ | The organic solution is 100% TBP, the aqueous is 7–8 M HCl | [77] |
| 16 | Zhang et al. (1997) | Sc3+ > Zr4+ | The organic solution is 100% TBP, the aqueous is 4–6 M HClO4 | [78] | |
| 17 | Li D et al. (1998) | ![]() C 923 | Zr4+ > Sc3+ > Ti4+ ∼ Lu 3+ > Fe3+ | The organic solution is 5% Cyanex 923 in kerosene, the aqueous is 2.0–7.0 M H2SO4 | [44] |
| Sc3+ > Th4+ > Lu3+ | The organic solution is 5% Cyanex 923 in kerosene, the aqueous is 1–5 M HCl | ||||
| 18 | NA C 925 | Zr4+ > Sc3+ > Lu 3+ > Ti4+ > Fe3+ | 2.0–7.0 M H2SO4 | [44] | |
| Th4+ > Sc3+ > Lu3+ | 0.5–2.5 M HCl | ||||
| 19 | Onghena et al. (2015) | ![]() Betainium bis(trifluoromethylsulfonyl)imide, [Hbet][Tf2N], | Sc, Y, La, Ce, Nd, Dy, Fe, Al, Ti, Ca and Na | Sc3+ was selectively extracted using [Hbet][Tf2N] from H2SO4 red mud leachate solution | [79] |
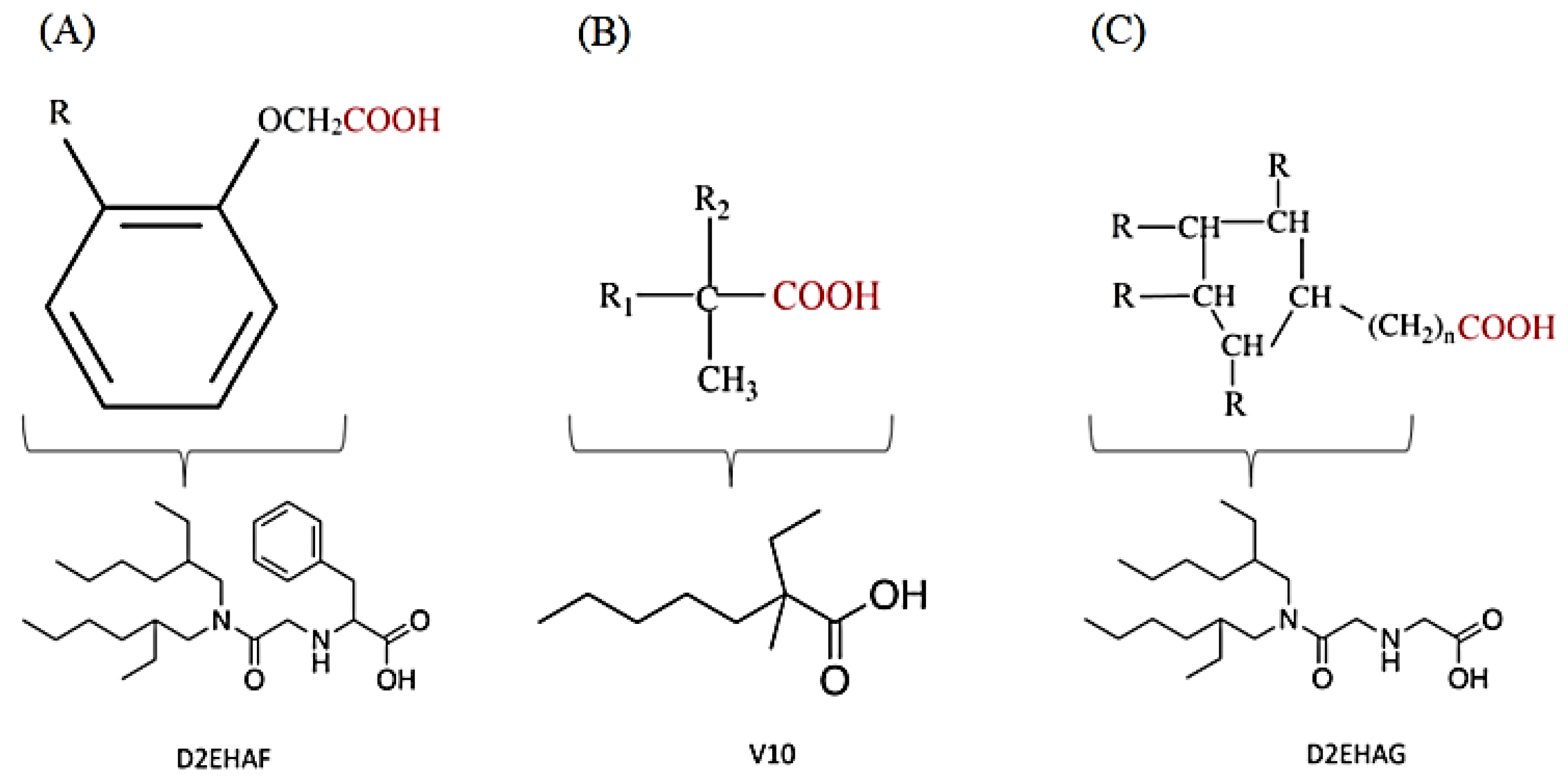
| 20 | Baba et al. (2014) | ![]() D2EHAG ![]() DODGAA ![]() V 10 | Sc, Y, La, Nd, Eu and Dy | Sc3+ was selectively extracted by D2EHAG due to the chelating effect and the size recognition ability of D2EHAG | [51] |
| 21 | Chen et al. (2017) | ![]() [(CH2)7COOHmim][Tf2N] (n = 3,5,7) | Sc, Y, La | Sc3+ extraction was quantitative (99.5%) by [(CH2)7COOHmim][Tf2N] dissolved in [C4mim][Tf2N] | [34] |
| 22 | Karve et al. (2008) | ![]() C302 | Sc, Y, La, Ce, Pr, Nd, Gd, Dy and Yb | Selective separation of Sc3+ was achieved from mixed rare earth leach solution | [35] |
| 23 | Fujinaga et al. (2013) | ![]() Kelex 100 ![]() PC88A ![]() C302 ![]() Phoslex DT-8 | Sc, Zr, Ti, Y and Al | Extraction of Sc by Cyanex 302 was significantly higher than other extractants; Kelex 100, PC88A | [48] |
| 24 | Zaho et al. (2016) | HTTA TOPO | Sc, Al, Fe, Mn, Ni and Zn | Selective extraction of Sc3+using HTTA synergism with TOPO | [48] |
| 25 | Sun et al. (2007) | ![]() [C8mim][PF6] | Sc, Y, La and Yb | Sc was preferentially separated in presence of Y, La and Yb by the extractant [C8mim][PF6]/Cyanex 925 at A:O = 1:3 | [80] |
| 26 | Onghena et al. (2017) | ![]() Betainium bis(trifluoromethylsulfonyl)imide, [Hbet][Tf2N] | Sc, Al, Fe | Sulfation-roasting-leaching of Sc from bauxite residue (red mud) followed by selective extraction of Sc with [Hbet][Tf2N] was achieved | [81] |
| 27 | Depuydt et al. (2015) | ![]() [P444C1COOH] Cl | Sc | The IL-rich phase of the aqueous biphasic system has a very low viscosity, in comparison to the pure IL [P444C1COOH] Cl. This system has excellent extraction properties for Sc | [55] |
| 28 | Wu et al. (2007) | ![]() C 302 | Sc, Y, La and Gd | Extraction of metals follows the order as Sc > > Y > La > Gd with the extractant Cyanex 302 from their hydrochloride solution. | [82] |
| 29 | Kostikova et al. (2005) | ![]() Tri-iso-amyl phosphate (TIAP) | Sc, Zr, Ce, Nd, Sm, Eu, Y, Lu | High-purity Sc can be prepared by multi-step counter current extractive treatment of Sc concentrate with TIAP | [7] |
| 30 | S. Das et al. (2018) | ![]() ![]() C 272 | Sc | Extraction of Sc from acidic solutions using organo-phosphoric acid reagents was selective | [69] |
| 31 | J. Zhou et al. (2021) | ![]() ![]() ![]() | Sc, Ti, Fe, Zr | The mixture of 10% P204 and 5% TBP in kerosene archive extraction efficiency of Sc ~99% | [83] |
| Type | Examples | References |
|---|---|---|
| Chelating and acidic extractants | Beta-diketone with phosphoric acid, carboxylic acid | [97,98,99] |
| Chelating and solvating extractants | Beta-diketone with phosphate, phosphine oxide, phosphine sulphide, and sulphoxide | [92,93,94] |
| Chelating and basic extractants | Beta-diketone with aliquat chlorides | [95,96] |
| Extraction Step | Stripping Step | Year/References | ||
|---|---|---|---|---|
| Extractant | E% | Stripping Agent | S% | |
| 15% D2EHPA 5% TBP | 99.00 | 2 M NaOH | 95.40 | (2017) [157] |
| 8% D2EHPA 2% TBP | 99.70 | 2 M NaOH + 1 M NaCl | 85.00 | (2018) [158] |
| 16% D2EHPA 4% TBP | 99.00 | 2 M NaOH | 96.00 | (2019) [159] |
| 100% TBP | 99.00 | Pure water | - | (2019) [160] |
| 60% Cyanex 272 40% Cyanex 923 | 98.00 | 10% H2C2O4 | 98.80 | (2020) [59] |
| 15% D2EHPA 15% N1923 | 99.00 | 5 M HNO3 | 89.30 | (2020) [42] |
| 10% D2EHPA 5% TBP | 99.00 | 5 M NaOH | 99.61 | (2021) [161] |
| 10% D2EHPA 5% TBP | 99.00 | 3 M NaOH | 99.00 | (2021) [162] |
Publisher’s Note: MDPI stays neutral with regard to jurisdictional claims in published maps and institutional affiliations. |
© 2022 by the authors. Licensee MDPI, Basel, Switzerland. This article is an open access article distributed under the terms and conditions of the Creative Commons Attribution (CC BY) license (https://creativecommons.org/licenses/by/4.0/).
Share and Cite
Salman, A.D.; Juzsakova, T.; Mohsen, S.; Abdullah, T.A.; Le, P.-C.; Sebestyen, V.; Sluser, B.; Cretescu, I. Scandium Recovery Methods from Mining, Metallurgical Extractive Industries, and Industrial Wastes. Materials 2022, 15, 2376. https://doi.org/10.3390/ma15072376
Salman AD, Juzsakova T, Mohsen S, Abdullah TA, Le P-C, Sebestyen V, Sluser B, Cretescu I. Scandium Recovery Methods from Mining, Metallurgical Extractive Industries, and Industrial Wastes. Materials. 2022; 15(7):2376. https://doi.org/10.3390/ma15072376
Chicago/Turabian StyleSalman, Ali Dawood, Tatjána Juzsakova, Saja Mohsen, Thamer Adnan Abdullah, Phuoc-Cuong Le, Viktor Sebestyen, Brindusa Sluser, and Igor Cretescu. 2022. "Scandium Recovery Methods from Mining, Metallurgical Extractive Industries, and Industrial Wastes" Materials 15, no. 7: 2376. https://doi.org/10.3390/ma15072376
APA StyleSalman, A. D., Juzsakova, T., Mohsen, S., Abdullah, T. A., Le, P.-C., Sebestyen, V., Sluser, B., & Cretescu, I. (2022). Scandium Recovery Methods from Mining, Metallurgical Extractive Industries, and Industrial Wastes. Materials, 15(7), 2376. https://doi.org/10.3390/ma15072376

































