Effect of Water–Solid Mixing Sequence and Crystallization Water of Calcium Sulphate on the Hydration of C3A
Abstract
:1. Introduction
2. Materials and Methods
3. Results and Discussion
3.1. Effect of Mixing on the Hydration of C3A-Gypsum Systems
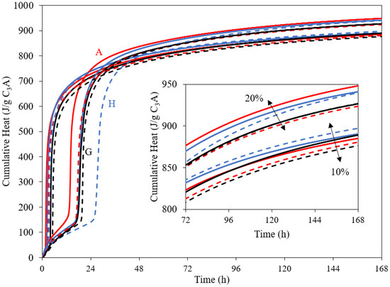
3.2. Effect of Crystallisation Water of Calcium Sulphate on C3A Hydration
4. Conclusions
Author Contributions
Funding
Data Availability Statement
Conflicts of Interest
References
- Taylor, H.F.W. Cement Chemistry; Thomas Telford: London, UK, 1997. [Google Scholar]
- Buttler, F.G.; Glasser, L.S.D.; Taylor, H.F.W. Studies on 4CaOAl2.O3.13H2O and the Related Natural Mineral Hydrocalumite. J. Am. Ceram. Soc. 1959, 42, 121–126. [Google Scholar] [CrossRef]
- Wells, L.S.; Clarke, W.F.; McMurdie, H.F. Study of the system CaO~Al2O3~H2O at temperatures of 21 degrees and 90 degrees C. J. Res. Natl. Bur. Stand. 1934, 30, 367. [Google Scholar] [CrossRef]
- Matschei, T.; Lothenbach, B.; Glasser, F.P. The AFm phase in Portland cement. Cem. Concr. Res. 2007, 37, 118–130. [Google Scholar] [CrossRef]
- Baquerizo, L.G.; Matschei, T.; Scrivener, K.L.; Saeidpour, M.; Wadsö, L. Hydration states of AFm cement phases. Cem. Concr. Res. 2015, 73, 143–157. [Google Scholar] [CrossRef]
- Kuzel, H.J.; Pöllmann, H. Hydration of C3A in the presence of Ca(OH)2, CaSO4·2H2O and CaCO3. Cem. Concr. Res. 1991, 21, 885–895. [Google Scholar] [CrossRef]
- Black, L.; Breen, C.; Yarwood, J.; Deng, C.S.; Phipps, J.; Maitland, G. Hydration of tricalcium aluminate (C3A) in the presence and absence of gypsum—Studied by Raman spectroscopy and X-ray diffraction. J. Mater. Chem. 2006, 16, 1263–1272. [Google Scholar] [CrossRef]
- Matschei, T.; Lothenbach, B.; Glasser, F.P. The role of calcium carbonate in cement hydration. Cem. Concr. Res. 2007, 37, 551–558. [Google Scholar] [CrossRef]
- Zajac, M.; Rossberg, A.; le Saout, G.; Lothenbach, B. Influence of limestone and anhydrite on the hydration of Portland cements. Cem. Concr. Compos. 2014, 46, 99–108. [Google Scholar] [CrossRef]
- Brown, P.W.; Liberman, L.O.; Frohnsdorff, G. Kinetics of the Early Hydration of Tricalcium Aluminate in Solutions Containing Calcium Sulfate. J. Am. Ceram. Soc. 1984, 67, 793–795. [Google Scholar] [CrossRef]
- Skalny, J.; Tadros, M.E. Retardation of Tricalcium Aluminate Hydration by Sulfates. J. Am. Ceram. Soc. 1977, 60, 174–175. [Google Scholar] [CrossRef]
- Moore, A.; Taylor, H.F.W. Crystal structure of ettringite. Nature 1968, 218, 1048–1049. [Google Scholar] [CrossRef]
- Hartman, M.R.; Berliner, R. Investigation of the structure of ettringite by time-of-flight neutron powder diffraction techniques. Cem. Concr. Res. 2006, 36, 364–370. [Google Scholar] [CrossRef]
- Poupelloz, E.; Gauffinet, S.; Nonat, A. Study of nucleation and growth processes of ettringite in diluted conditions. Cem. Concr. Res. 2020, 127, 105915. [Google Scholar] [CrossRef]
- Minard, H.; Garrault, S.; Regnaud, L.; Nonat, A. Mechanisms and parameters controlling the tricalcium aluminate reactivity in the presence of gypsum. Cem. Concr. Res. 2007, 37, 1418–1426. [Google Scholar] [CrossRef]
- Pourchet, S.; Regnaud, L.; Perez, J.P.; Nonat, A. Early C3A hydration in the presence of different kinds of calcium sulfate. Cem. Concr. Res. 2009, 39, 989–996. [Google Scholar] [CrossRef] [Green Version]
- Quennoz, A.; Scrivener, K.L. Hydration of C 3A-gypsum systems. Cem. Concr. Res. 2012, 42, 1032–1041. [Google Scholar] [CrossRef]
- Joseph, S.; Skibsted, J.; Cizer, Ö. A quantitative study of the C3A hydration. Cem. Concr. Res. 2019, 115, 145–159. [Google Scholar] [CrossRef]
- Ramírez, A.; Pauli, J.; Mota, B.; Casselt, C.; Simon, S.; Schmidt, W.; Resch-Genger, U. C3A passivation with gypsum and hemihydrate monitored by optical spectroscopy. Cem. Concr. Res. 2020, 133, 106082. [Google Scholar] [CrossRef]
- Myers, R.J.; Geng, G.; Li, J.; Rodríguez, E.D.; Ha, J.; Kidkhunthod, P.; Sposito, G.; Lammers, L.N.; Kirchheim, A.P.; Monteiro, P.J.M. Role of Adsorption Phenomena in Cubic Tricalcium Aluminate Dissolution. Langmuir 2017, 33, 45–55. [Google Scholar] [CrossRef] [PubMed] [Green Version]
- Geng, G.; Myers, R.J.; Yu, Y.S.; Shapiro, D.A.; Winarski, R.; Levitz, P.E.; Kilcoyne, D.A.L.; Monteiro, P.J.M. Synchrotron X-ray nanotomographic and spectromicroscopic study of the tricalcium aluminate hydration in the presence of gypsum. Cem. Concr. Res. 2018, 111, 130–137. [Google Scholar] [CrossRef] [Green Version]
- Brand, A.S.; Feldman, S.B.; Stutzman, P.E.; Ievlev, A.V.; Lorenz, M.; Pagan, D.C.; Nair, S.; Gorham, J.M.; Bullard, J.W. Dissolution and initial hydration behavior of tricalcium aluminate in low activity sulfate solutions. Cem. Concr. Res. 2020, 130, 105989. [Google Scholar] [CrossRef]
- Liu, X.; Feng, P.; Lyu, C.; Ye, S. The role of sulfate ions in tricalcium aluminate hydration: New insights. Cem. Concr. Res. 2020, 130, 105973. [Google Scholar] [CrossRef]
- Ye, S.; Feng, P.; Liu, Y.; Liu, J.; Bullard, J.W. Dissolution and early hydration of tricalcium aluminate in aqueous sulfate solutions. Cem. Concr. Res. 2020, 137, 2–7. [Google Scholar] [CrossRef]
- Myers, R.J.; Geng, G.; Rodriguez, E.D.; da Rosa, P.; Kirchheim, A.P.; Monteiro, P.J.M. Solution chemistry of cubic and orthorhombic tricalcium aluminate hydration. Cem. Concr. Res. 2017, 100, 176–185. [Google Scholar] [CrossRef] [Green Version]
- Neto, J.d.A.; de la Torre, A.G.; Kirchheim, A.P. Effects of sulfates on the hydration of Portland cement—A review. Constr. Build. Mater. 2021, 279, 122428. [Google Scholar] [CrossRef]
- Lapeyre, J.; Ma, H.; Okoronkwo, M.; Sant, G.; Kumar, A. Influence of water activity on hydration of tricalcium aluminate-calcium sulfate systems. J. Am. Ceram. Soc. 2020, 103, 3851–3870. [Google Scholar] [CrossRef]
- Neto, J.S.A.; de Matos, P.R.; de la Torre, A.G.; Campos, C.E.M.; Gleize, P.J.P.; Monteiro, P.J.M.; Kirchheim, A.P. The role of sodium and sulfate sources on the rheology and hydration of C3A polymorphs. Cem. Concr. Res. 2022, 151, 106639. [Google Scholar] [CrossRef]
- Mondal, P.; Jeffery, J.W. The crystal structure of tricalcium aluminate, Ca3Al2O6, Acta Crystallogr. Acta Cryst. 1975, 31, 689–697. [Google Scholar] [CrossRef]
- O’Connor, B.H.; Raven, M.D. Application of the Rietveld Refinement Procedure in Assaying Powdered Mixtures. Powder Diffr. 1988, 3, 2–6. [Google Scholar] [CrossRef]
- Jansen, D.; Goetz-Neunhoeffer, F.; Stabler, C.; Neubauer, J. A remastered external standard method applied to the quantification of early OPC hydration. Cem. Concr. Res. 2011, 41, 602–608. [Google Scholar] [CrossRef]
- Skibsted, J.; Bildsøe, H.; Jakobsen, H.J. High-speed spinning versus high magnetic field in MAS NMR of quadrupolar nuclei. 27Al MAS NMR of 3CaO·Al2O3. J. Magn. Reson. 1991, 92, 669–676. [Google Scholar] [CrossRef]
- Skibsted, J.; Henderson, E.; Jakobsen, H.J. Characterization of calcium aluminate phases in cements by aluminum-27 MAS NMR spectroscopy. Inorg. Chem. 1993, 32, 1013–1027. [Google Scholar] [CrossRef]
- Skibsted, J.; Pedersen, M.T.; Holzinger, J. Resolution of the Two Aluminum Sites in Ettringite by 27Al MAS and MQMAS NMR at Very High Magnetic Field (22.3 T). J. Phys. Chem. C 2017, 121, 4011–4017. [Google Scholar] [CrossRef]
- Jakobsen, H.J.; Skibsted, J.; Bildsøe, H.; Nielsen, N.C. Magic-angle spinning NMR spectra of satellite transitions for quadrupolar nuclei in solids. J. Magn. Reson. 1989, 85, 173–180. [Google Scholar] [CrossRef]
- Massiot, D.; Fayon, F.; Capron, M.; King, I.; le Calvé, S.; Alonso, B.; Durand, J.-O.; Bujoli, B.; Gan, Z.; Hoatson, G. Modelling one- and two-dimensional solid-state NMR spectra. Magn. Reson. Chem. 2002, 40, 70–76. [Google Scholar] [CrossRef]
- Meredith, P.; Donald, A.M.; Meller, N.; Hall, C. Tricalcium aluminate hydration: Microstructural observations by in-situ electron microscopy. J. Mater. Sci. 2004, 39, 997–1005. [Google Scholar] [CrossRef]
- Tang, F.J.; Gartner, E.M. Influence of sulphate source on Portland cement hydration. Adv. Cem. Res. 1988, 1, 67–74. [Google Scholar] [CrossRef]
- Bensted, J. Effects of the clinker-gypsum grinding temperature upon early hydration of Portland cement. Cem. Concr. Res. 1982, 12, 341–348. [Google Scholar] [CrossRef]













| d10 (µm) | d50 (µm) | d90 (µm) | |
|---|---|---|---|
| C3A Fine (Af) | 0.3 | 4.2 | 26 |
| C3A Medium (Am) | 0.9 | 6.7 | 37 |
| C3A Coarse (Ac) | 2.6 | 19 | 63 |
| Mix ID a | Age | C3A DoH (%) | Cumulative Heat (J/g C3A) |
|---|---|---|---|
| Af_20G_1_P | 3 h | 41.5 | 40.2 |
| 7 days | 94.1 | 689 | |
| Af_20G_1_T | 3 h | 13.5 | 72.7 |
| 7 days | 95.4 | 904 | |
| Ac_20G_0.5_P | 1 day | 12.3 | 98.2 |
| 7 days | 62.6 | 568 | |
| Ac_20G_0.5_T | 1 day | 7.2 | 96.8 |
| 7 days | 60.7 | 628 |
Publisher’s Note: MDPI stays neutral with regard to jurisdictional claims in published maps and institutional affiliations. |
© 2022 by the authors. Licensee MDPI, Basel, Switzerland. This article is an open access article distributed under the terms and conditions of the Creative Commons Attribution (CC BY) license (https://creativecommons.org/licenses/by/4.0/).
Share and Cite
Joseph, S.; Skibsted, J.; Cizer, Ö. Effect of Water–Solid Mixing Sequence and Crystallization Water of Calcium Sulphate on the Hydration of C3A. Materials 2022, 15, 2297. https://doi.org/10.3390/ma15062297
Joseph S, Skibsted J, Cizer Ö. Effect of Water–Solid Mixing Sequence and Crystallization Water of Calcium Sulphate on the Hydration of C3A. Materials. 2022; 15(6):2297. https://doi.org/10.3390/ma15062297
Chicago/Turabian StyleJoseph, Shiju, Jørgen Skibsted, and Özlem Cizer. 2022. "Effect of Water–Solid Mixing Sequence and Crystallization Water of Calcium Sulphate on the Hydration of C3A" Materials 15, no. 6: 2297. https://doi.org/10.3390/ma15062297
APA StyleJoseph, S., Skibsted, J., & Cizer, Ö. (2022). Effect of Water–Solid Mixing Sequence and Crystallization Water of Calcium Sulphate on the Hydration of C3A. Materials, 15(6), 2297. https://doi.org/10.3390/ma15062297

