Research on the Induced Electrostatic Discharge of Spacecraft Typical Dielectric Materials under the ESD Pulse Irradiation
Abstract
:1. Introduction
2. Materials and Methods
2.1. Setting of Dielectric Materials
2.2. Experimental Apparatus
2.3. Calibration of Radiation Field Intensity
3. Results
3.1. Analysis of Typical Induced Discharge Current Waveform under Different Electric Field Irradiation
3.2. Study on Surface Charging Potential Characteristics of Spacecraft Dielectric Materials under Strong Field
3.2.1. Effect of Radiation Field Strength on Surface Charging Potential of Dielectric Material
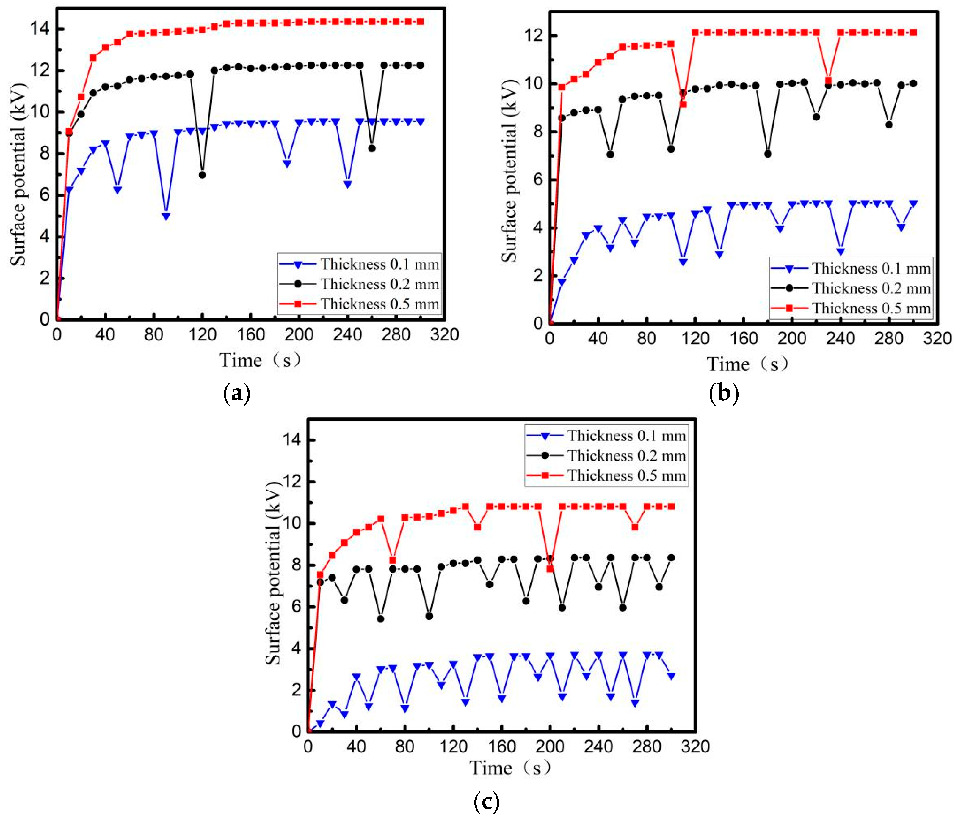
3.2.2. Comparative Analysis of Surface Charging Potentials of Different Thickness Dielectric under Intense Field
3.2.3. Comparative Analysis of Surface Charging Potentials of Different Dielectric Materials under Intense Field
3.3. Study on Electrostatic Discharge Characteristics of Spacecraft Typical Media under Intense Field
3.3.1. Effect of Radiation Field Strength on Electrostatic Discharge Frequency of Dielectric Material
3.3.2. Effect of Dielectric Material Thickness on Electrostatic Discharge Frequency
3.3.3. Effect of Ground Electrode Shape on Electrostatic Discharge Frequency of Dielectric Material
3.3.4. Effect of Ground Electrode Area on Electrostatic Discharge Frequency of Dielectric Material
4. Conclusions
- Under vacuum conditions, when irradiated and charged with high-energy electron beam, the surface potential of PI, PTFE and EP increases gradually. Although the surface potential of the materials can decrease due to the charge discharge induced by electrostatic discharge, the surface potential of the media still increases gradually. Finally, a dynamic balance limit (surface charge balance potential) is reached. The surface balance potential increases with the energy of the irradiated electron beam.
- Under vacuum conditions, when ESD irradiation is applied to charging material, the discharge frequency of material is increased, that is, the induced electrostatic discharge is produced by the dielectric material under the action of the radiation field. With the increase of radiation field strength, the number of evoked electrostatic discharge increases, the accumulated charge on the dielectric surface decreases, and the dielectric surface potential decreases.
- Under vacuum conditions, under the same charging mode and radiation conditions, the discharge frequency of PI is the lowest, PTFE next, EP the highest, inversely the surface dynamic balance potential of EP is the lowest, PTFE centred, PI the highest. The same change of the three media is that the thicker the dielectric material, the lower the discharge frequency and the higher the surface dynamic balance potential.
- Under vacuum conditions, when high-energy electron beam charges a dielectric material, the shape and size of the background electrodes will affect the discharge frequency of the dielectric material. When the area of the electrodes is the same, the sharper the electrode edge, the higher the discharge frequency. When the electrodes are of the same shape, the larger the grounding area, the higher the discharge frequency.
Author Contributions
Funding
Institutional Review Board Statement
Informed Consent Statement
Data Availability Statement
Conflicts of Interest
References
- Wu, H.J.; Jiang, Y.D.; Zhang, Z.Y. Active control of spacecraft surface potential. In Proceedings of the 19th Academic Conference of the Space Exploration Professional Committee of the Chinese Academy of Space Sciences, Ningbo, China, October 2006; Volume II, pp. 40–42. [Google Scholar]
- Feng, W.Q. Ground simulation test of large space geomagnetic sub-storm environment. Spacecr. Env. Eng. 2001, 18, 33–42. [Google Scholar]
- Hu, X.F.; Zhang, J.P.; Xu, B. Progress in space electrostatic effect of spacecraft. High Power Laser Part. Beam 2019, 31, 10–18. [Google Scholar] [CrossRef]
- Liu, Y.N.; Zhao, H. Analysis and Countermeasures of space station electrification effect. Manned Space Flight 2013, 19, 6–12. [Google Scholar] [CrossRef]
- Xie, X.N.; Hu, X.F.; Yuan, Q.Y. Discharge test of needle sphere electrode structure induced by electrostatic electromagnetic pulse radiation field. Acta Aeronaut. Astronaut. Sin. 2019, 40, 323161. [Google Scholar]
- Li, S.T.; Zheng, X.Y.; Chen, Y. Shutl. Principle of Spacecraft Electrification Translate; Science Press: Beijing, China, 2015. [Google Scholar]
- Quan, R.H.; Han, J.W.; Huang, J.G. Model study on radiation induced conductivity of dielectric materials. Acta Phys. Sin. 2007, 56, 6642–6647. [Google Scholar] [CrossRef]
- Zhu, C.Q.; Liu, S.H.; Wei, M. ESD radiation field measurement and research. J. Electron. 2005, 33, 1702–1705. [Google Scholar] [CrossRef]
- Liu, S.H.; Hu, X.F.; Yuan, Q.Y. Research progress of spacecraft charge discharge effect and protection. High Volt. Technol. 2019, 45, 11. [Google Scholar]
- Wright, K.H.; Schneider, T.A.; Vaughn, J.A.; Hoang, B.; Funderburk, V.V.; Wong, F.K.; Gardiner, G. Electrostatic Discharge Testing of Multijunction Solar Array Coupons After Combined Space Environmental Exposures. IEEE Trans. Plasma Sci. 2011, 40, 334–344. [Google Scholar] [CrossRef]
- Xu, B.; Yuan, Q.Y.; Wu, Z.C. Ground simulation of electrostatic protection of aerospace materials under low pressure environment. High Volt. Eng. 2013, 39, 2894–2898. [Google Scholar]
- Yuan, Q.Y.; Sun, Y.W.; Zhang, X.J. Spacecraft Electrification Theory and Protection; National Defense Industry Press: Beijing, China, 2016. [Google Scholar]
- Abdel-aziz, Y.A.; El-hameed, A.M.A. Ground-based simulation for the effects of space plasma on spacecraft. Adv. Pace Res. 2013, 28, 133–142. [Google Scholar] [CrossRef]
- Lai, S.T. Fundamentals of Spacecraft Charging-Spacecraft Interactions with Space Plasma; Princeton University Press: Princeton, NJ, USA, 2012. [Google Scholar]
- Zhao, C.X.; Li, D.T.; Yang, S.S. Surface charging and its environment influencing factors for low earth orbit spacecraft. High Volt. Eng. 2017, 43, 1438–1444. [Google Scholar] [CrossRef]
- Liu, S.H.; Wei, G.H.; Liu, Z.C. Electrostatic Theory and Protection; Weapon Industry Press: Beijing, China, 1999. [Google Scholar]
- Liu, H.; Liu, S.; Cao, H.; Hu, X.; Wei, M.; Fan, G. Study of ESD induced by spark EMP radiation at low air pressure. Vacuum 2015, 122, 31–35. [Google Scholar] [CrossRef]
- Fennell, J.F.; Koons, H.C.; Roeder, J.L. Spacecraft Charging: Observations and Relationship to Satellite Anomalies; The Aerospace Corporation: Los Angeles, CA, USA, 2001. [Google Scholar]
- Garrett, H.B. The charging of spacecraft surfaces. Rev. Geophys. 1981, 19, 577–616. [Google Scholar] [CrossRef]
- Davis, V.A.; Mandell, M.J.; Ferguson, D.C.; Cooke, D.L. Modeling of DMSP Surface Charging Events. IEEE Trans. Plasma Sci. 2017, 45, 1906–1914. [Google Scholar] [CrossRef]
- Yuan, Q.Y.; Sun, Y.W.; Liu, C.L. Testing methods for surface charging characteristics of spacecraft materials in space environment. High Volt. Eng. 2014, 40, 1644–1649. [Google Scholar] [CrossRef]
- Su, Q.S. Surface Charge and Discharge Characteristics of Typical Spacecraft Dielectric Materials; Academy of Military Engineering: Shijiazhuang, China, 2016. [Google Scholar]
- Li, D.T. Effects of Surface Charge and Discharge Area of Dielectric Materials and Simulation Experiments. Ph.D. Thesis, Lanzhou Institude of Physics, Lanzhou, China, June 2014. [Google Scholar]
- Quan, R.H.; Han, J.W.; Zhang, Z.L.; Yan, X.J.; Huang, J.G. Deep charging and discharging experiments and numerical simulation of spacecraft dielectric materials. J. Space Sci. 2009, 29, 609–614. Available online: http://ir.cssar.ac.cn/handle/122/97 (accessed on 26 January 2022).
- Mott, N.F.; Davis, E.A. Electronic Processes in NonCrystalline Materials; Oxford University Press: Oxford, UK, 1979. [Google Scholar]
- Yue, L. Study on the Radioconductivity and Dielectric Properties of Polyimide Charged Particles. Ph.D Thesis, Harbin University of Technology, Harbin, China, June 2013. [Google Scholar]
- Zhao, H.F.; Zu, C.K.; Wang, Y.X. The secondary electron emission coefficient and measurement of anti-irradiated glass for space. Silic. Notif. 2017, 36, 98–102. [Google Scholar]
- Wang, Y.; Zhang, Z.L.; Quan, R.G. Research on satellite dielectric conductivity measurement technology for deep charging evaluation. Spacecr. Environ. Eng. 2012, 29, 425–429. [Google Scholar] [CrossRef]
- Wang, D.; He, Y.G.; Li, Y. Analysis of charged phenomenon caused by electron beam impacting on medium surface. China Space Sci. Technol. 2017, 37, 1–10. [Google Scholar] [CrossRef]
- Xue, Y.X.; Yang, S.S.; De-Dong, B.A. Analyze of spacecraft system failures and anomalies attributed to the natural space radiation environment. Vac. Cryog. 2012, 2, 5–12. [Google Scholar]
- Mandell, M.J.; Davis, V.A.; Cooke, D.L. Nascap-2K spacecraft charging code overview. IEEE Trans. Plasma Sci. 2006, 34, 2084–2093. [Google Scholar] [CrossRef]
- Yao, H.; Zhang, Z.W.; Huang, Y. Influence factors of surface roughness of polyimide film. High Power Laser Part. Beam 2011, 23, 1861–1866. [Google Scholar] [CrossRef]
- Wang, Y.Y.; Meng, J.Y.; Wang, Y.P. Effect of low temperature plasma treatment on surface properties of PTFE. J. Aeronaut. Mater. 2009, 29, 77–81. [Google Scholar] [CrossRef]
- Meng, Z.C. Study on the Influence of Ambient Temperature on the Electrification Characteristics of Spacecraft Dielectric Materials. Master’s Thesis, College of Ordnance Engineering, Shijiazhuang, China, June 2017. [Google Scholar]
- Tyutnev, A.P.; Ikhsanov, R.S.; Saenko, V.S.; Pozhidaev, E.D. Theoretical analysis of the Rose-Fowler-Vaisberg model: Dipolar conductivity. Polym. Sci. Ser. A 2007, 49, 861–866. [Google Scholar] [CrossRef]














| Discharge Gun Voltage (kV) | −1 | −5 | −10 | −15 | −20 | −25 | −30 |
| Radiation peak field intensity (kV/m) | −0.5 | −3.6 | −6.6 | −8.1 | −10.2 | −11.4 | −12.3 |
Publisher’s Note: MDPI stays neutral with regard to jurisdictional claims in published maps and institutional affiliations. |
© 2022 by the authors. Licensee MDPI, Basel, Switzerland. This article is an open access article distributed under the terms and conditions of the Creative Commons Attribution (CC BY) license (https://creativecommons.org/licenses/by/4.0/).
Share and Cite
Hu, X.; Zhang, J.; Wei, M.; Wang, Y. Research on the Induced Electrostatic Discharge of Spacecraft Typical Dielectric Materials under the ESD Pulse Irradiation. Materials 2022, 15, 2115. https://doi.org/10.3390/ma15062115
Hu X, Zhang J, Wei M, Wang Y. Research on the Induced Electrostatic Discharge of Spacecraft Typical Dielectric Materials under the ESD Pulse Irradiation. Materials. 2022; 15(6):2115. https://doi.org/10.3390/ma15062115
Chicago/Turabian StyleHu, Xiaofeng, Jianping Zhang, Ming Wei, and Yingying Wang. 2022. "Research on the Induced Electrostatic Discharge of Spacecraft Typical Dielectric Materials under the ESD Pulse Irradiation" Materials 15, no. 6: 2115. https://doi.org/10.3390/ma15062115
APA StyleHu, X., Zhang, J., Wei, M., & Wang, Y. (2022). Research on the Induced Electrostatic Discharge of Spacecraft Typical Dielectric Materials under the ESD Pulse Irradiation. Materials, 15(6), 2115. https://doi.org/10.3390/ma15062115
