Performance Comparison of CdTe:Na, CdTe:As, and CdTe:P Single Crystals for Solar Cell Applications
Abstract
:1. Introduction
2. Materials and Methods
2.1. Single-Crystal CdTe Growth Using the VB Technique
2.2. Solar-Cell Device Fabrication
2.3. Measurement Details
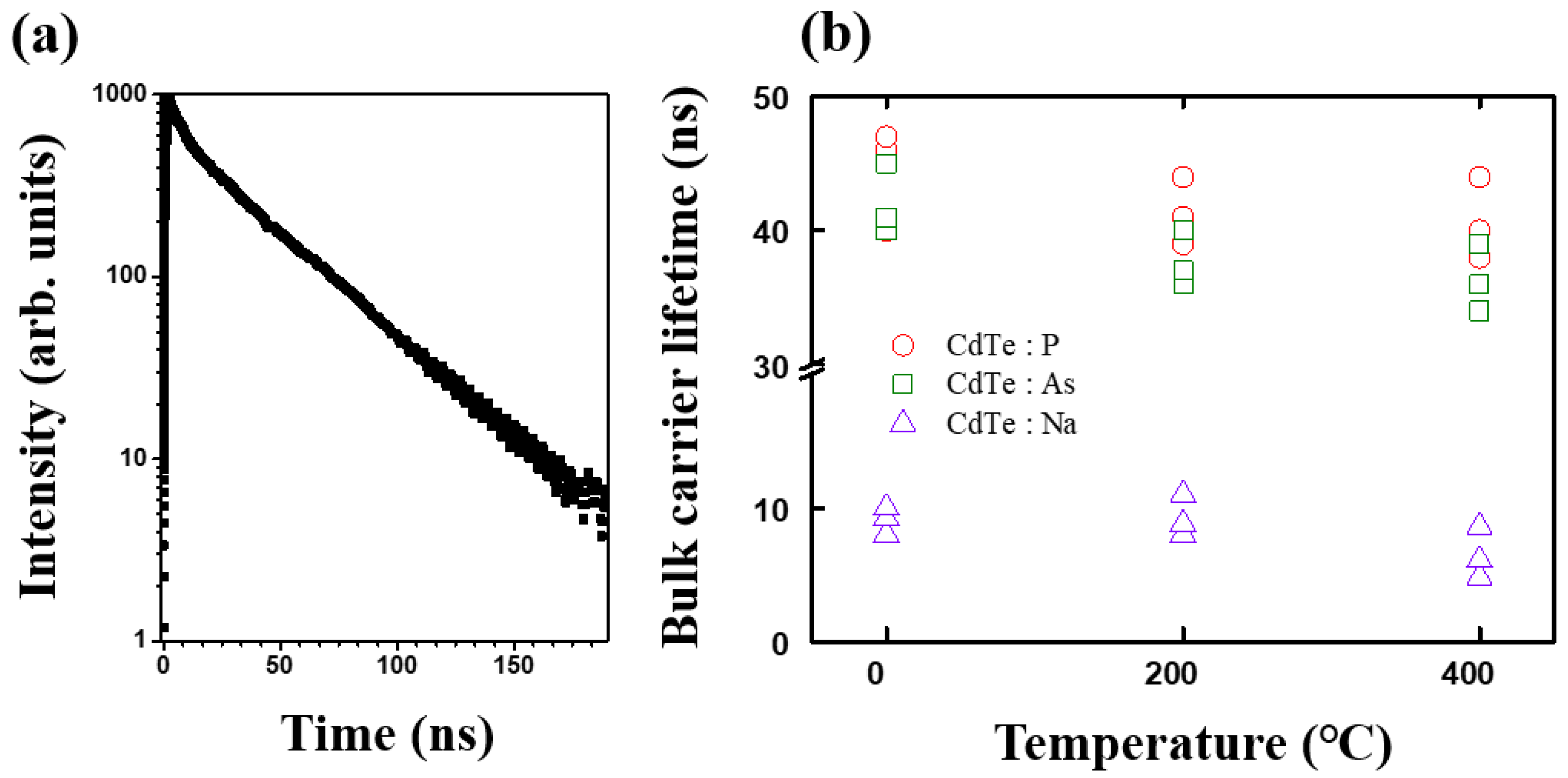
3. Results and Discussion
3.1. Single-Crystal CdTe
3.2. Solar-Cell Devices
4. Conclusions
Author Contributions
Funding
Institutional Review Board Statement
Informed Consent Statement
Data Availability Statement
Acknowledgments
Conflicts of Interest
References
- Green, M.A.; Dunlop, E.D.; Hohl-Ebinger, J.; Yoshita, M.; Kopidakis, N.; Hao, X. Solar cell efficiency tables (Version 58). Prog. Photovolt. Res. Appl. 2021, 29, 657–667. [Google Scholar] [CrossRef]
- Shockley, W.; Queisser, H.J. Detailed Balance Limit of Efficiency of p-n Junction Solar Cells. J. Appl. Phys. 1961, 32, 510–519. [Google Scholar] [CrossRef]
- Polman, A.; Knight, M.; Garnett, E.C.; Ehrler, B.; Sinke, W.C. Photovoltaic materials: Present efficiencies and future challenges. Science 2016, 352, aad4424. [Google Scholar] [CrossRef] [Green Version]
- Kim, S.; Suh, J.; Kim, T.; Hong, J.; Cho, S. Plasmon-enhanced performance of CdS/CdTe solar cells using Au nanoparticles. Opt. Express 2019, 27, 22017–22024. [Google Scholar] [CrossRef] [PubMed]
- Kim, S.; Song, J.-Y.; Kim, D.; Hong, J.; Cho, I.J.; Kim, Y.H.; Jeong, J.-U.; Yoon, M.S.; Ahn, S.-J.; Chung, W.-K.; et al. Effect of novel double treatment on the properties of CdTe solar cells. Energy Rep. 2021, 7, 1396–1403. [Google Scholar] [CrossRef]
- Swartz, C.H.; Edirisooriya, M.; Leblanc, E.G.; Noriega, O.C.; Jayathilaka, P.A.R.D.; Ogedengbe, O.S.; Hancock, B.L.; Holtz, M.; Myers, T.; Zaunbrecher, K.N. Radiative and interfacial recombination in CdTe heterostructures. Appl. Phys. Lett. 2014, 105, 222107. [Google Scholar] [CrossRef] [Green Version]
- Zhao, X.-H.; DiNezza, M.J.; Liu, S.; Campbell, C.M.; Zhao, Y.; Zhang, Y.-H. Determination of CdTe bulk carrier lifetime and interface recombination velocity of CdTe/MgCdTe double heterostructures grown by molecular beam epitaxy. Appl. Phys. Lett. 2014, 105, 252101. [Google Scholar] [CrossRef]
- Sites, J.; Pan, J. Strategies to increase CdTe solar-cell voltage. Thin Solid Films 2007, 515, 6099–6102. [Google Scholar] [CrossRef]
- Kanevce, A.; Gessert, T.A. Optimizing CdTe Solar Cell Performance: Impact of Variations in Minority-Carrier Lifetime and Carrier Density Profile. IEEE J. Photovolt. 2011, 1, 99–103. [Google Scholar] [CrossRef]
- Duenow, J.N.; Burst, J.M.; Albin, D.S.; Kuciauskas, D.; Johnston, S.W.; Reedy, R.C.; Metzger, W.K. Single-crystal CdTe solar cells with Voc greater than 900 mV. Appl. Phys. Lett. 2014, 105, 053903. [Google Scholar] [CrossRef]
- Metzger, W.K.; Grover, S.; Lu, D.; Colegrove, E.; Moseley, J.; Perkins, C.L.; Li, X.; Mallick, R.; Zhang, W.; Malik, R.; et al. Exceeding 20% efficiency with in situ group V doping in polycrystalline CdTe solar cells. Nat. Energy 2019, 4, 837–845. [Google Scholar] [CrossRef]
- Burst, J.M.; Duenow, J.N.; Albin, D.S.; Colegrove, E.; Reese, M.; Aguiar, J.A.; Jiang, C.-S.; Patel, M.; Al-Jassim, M.M.; Kuciauskas, D.; et al. CdTe solar cells with open-circuit voltage breaking the 1 V barrier. Nat. Energy 2016, 1, 16015. [Google Scholar] [CrossRef]
- Cho, S.; Ahn, S.H.; Cho, I.J.; Kim, Y.H.; Jeong, J.-U.; Yoon, M.S.; Ahn, S.-J.; Chung, W.-K.; Nam, T.-K.; Song, J.-Y. Radiation hardness of cadmium telluride solar cells in proton therapy beam mode. PLoS ONE 2019, 14, e0221655. [Google Scholar] [CrossRef] [PubMed]
- Burst, J.M.; Farrell, S.B.; Albin, D.S.; Colegrove, E.; Reese, M.; Duenow, J.N.; Kuciauskas, D.; Metzger, W.K. Carrier density and lifetime for different dopants in single-crystal and polycrystalline CdTe. APL Mater. 2016, 4, 116102. [Google Scholar] [CrossRef] [Green Version]
- Werthen, J.G.; Fahrenbruch, A.L.; Bube, R.H.; Zesch, J.C. Surface preparation effects on efficient indium-tin-oxide-CdTe and CdS-CdTe heterojunction solar cells. J. Appl. Phys. 1983, 54, 2750–2756. [Google Scholar] [CrossRef]
- Yang, J.-H.; Yin, W.-J.; Park, J.-S.; Ma, J.; Wei, S.-H. Review on first-principles study of defect properties of CdTe as a solar cell absorber. Semicond. Sci. Technol. 2016, 31, 083002. [Google Scholar] [CrossRef]
- Ma, J.; Kuciauskas, D.; Albin, D.; Bhattacharya, R.; Reese, M.; Barnes, T.; Li, J.V.; Gessert, T.; Wei, S.-H. Dependence of the Minority-Carrier Lifetime on the Stoichiometry of CdTe Using Time-Resolved Photoluminescence and First-Principles Calculations. Phys. Rev. Lett. 2013, 111, 067402. [Google Scholar] [CrossRef]
- Ablekim, T.; Swain, S.K.; Kuciauskas, D.; Parmar, N.S.; Lynn, K.G. Fabrication of single-crystal solar cells from phosphorous-doped CdTe wafer. In Proceedings of the 2015 IEEE 42nd Photovoltaic Specialist Conference (PVSC), New Orleans, LA, USA, 14–19 June 2015; pp. 1–4. [Google Scholar] [CrossRef]
- Korevaar, B.; Shuba, R.; Yakimov, A.; Cao, H.; Rojo, J.; Tolliver, T. Initial and degraded performance of thin film CdTe solar cell devices as a function of copper at the back contact. Thin Solid Films 2011, 519, 7160–7163. [Google Scholar] [CrossRef]
- Bätzner, D.; Romeo, A.; Terheggen, M.; Döbeli, M.; Zogg, H.; Tiwari, A. Stability aspects in CdTe/CdS solar cells. Thin Solid Films 2004, 451–452, 536–543. [Google Scholar] [CrossRef]
- Duenow, J.N.; Burst, J.M.; Albin, D.S.; Reese, M.O.; Jensen, S.A.; Johnston, S.W.; Kuciauskas, D.; Swain, S.K.; Ablekim, T.; Lynn, K.G.; et al. Relationship of Open-Circuit Voltage to CdTe Hole Concentration and Lifetime. IEEE J. Photovolt. 2016, 6, 1641–1644. [Google Scholar] [CrossRef]
- Metzger, W.K.; Albin, D.S.; Levi, D.H.; Sheldon, P.; Li, X.; Keyes, B.M.; Ahrenkiel, R.K. Time-resolved photoluminescence studies of CdTe solar cells. J. Appl. Phys. 2003, 94, 3549–3555. [Google Scholar] [CrossRef]
- Burgelman, M.; Nollet, P.; Degrave, S. Modelling polycrystalline semiconductor solar cells. Thin Solid Films 2000, 361-362, 527–532. [Google Scholar] [CrossRef]
- Metzger, W.K.; Ahrenkiel, R.K.; Dashdorj, J.; Friedman, D.J. Analysis of charge separation dynamics in a semiconductor junction. Phys. Rev. B 2005, 71, 035301. [Google Scholar] [CrossRef]
- Corwine, C.; Pudov, A.; Gloeckler, M.; Demtsu, S.; Sites, J. Copper inclusion and migration from the back contact in CdTe solar cells. Sol. Energy Mater. Sol. Cells 2004, 82, 481–489. [Google Scholar] [CrossRef]
- Gretener, C.; Perrenoud, J.; Kranz, L.; Cheah, E.; Dietrich, M.; Buecheler, S.; Tiwari, A. New perspective on the performance stability of CdTe solar cells. Sol. Energy Mater. Sol. Cells 2016, 146, 51–57. [Google Scholar] [CrossRef]
- Dobson, K.D.; Visoly-Fisher, I.; Hodes, G.; Cahen, D. Stability of CdTe/CdS thin-film solar cells. Sol. Energy Mater. Sol. Cells 2000, 62, 295–325. [Google Scholar] [CrossRef]
- Berniard, T.J.; Albin, D.S.; To, B.; Pankow, J.W.; Young, M.; Asher, S.E. Effects of Cu at the device junction on the properties of CdTe∕CdS photovoltaic cells. J. Vac. Sci. Technol. B Microelectron. Nanometer Struct. 2004, 22, 2423. [Google Scholar] [CrossRef]




| Elements | Top | Bottom | Elements | Top | Bottom | Elements | Top | Bottom |
|---|---|---|---|---|---|---|---|---|
| C | 400 | 310 | C | 410 | 310 | C | 390 | 300 |
| N | 20 | 20 | N | 20 | 20 | N | 20 | 20 |
| O | 700 | 810 | O | 720 | 790 | O | 700 | 710 |
| Na | 20 | 140 | Na | 30 | 130 | Na | 7100 | 8000 |
| Mg | 40 | 30 | Mg | 40 | 30 | Mg | 40 | 30 |
| Al | 10 | 10 | Al | 10 | 10 | Al | 10 | 10 |
| Si | 10 | 20 | Si | 10 | 20 | Si | 10 | 20 |
| P | 17,000 | 18,000 | P | 80 | 60 | P | 80 | 60 |
| S | 30 | 30 | S | 30 | 30 | S | 30 | 30 |
| Cu | 40 | 80 | Cu | 30 | 70 | Cu | 30 | 70 |
| As | 40 | 50 | As | 22,000 | 23,000 | As | 40 | 50 |
| Samples | Hole Density (cm−3) | Carrier Lifetime (ns) |
|---|---|---|
| CdTe:P | 4.92 × 1015 | 40–47 |
| CdTe:P (after annealing) | 9.34 × 1015 | 39–42 |
| CdTe:As | 5.84 × 1015 | 40–45 |
| CdTe:As (after annealing) | 2.16 × 1016 | 34–39 |
| CdTe:Na | 1.01 × 1016 | 9–13 |
| CdTe:Na (after annealing) | 1.68 × 1015 | 4.8–9.6 |
| Samples | Voc (V) | Jsc (mA/cm2) | FF (%) | Eff. (%) |
|---|---|---|---|---|
| CdTe:P | 0.86 | 23.3 | 53.6 | 10.7 |
| CdTe:As | 0.83 | 22.6 | 53.2 | 10.0 |
| CdTe:Na | 0.81 | 20.6 | 53.1 | 8.8 |
| CdTe:P (10 day) | 0.78 | 18.8 | 50.9 | 7.5 |
| CdTe:As (10 days) | 0.79 | 17.9 | 52.1 | 7.4 |
| CdTe:Na (10 days) | 0.54 | 15.1 | 25.9 | 2.1 |
Publisher’s Note: MDPI stays neutral with regard to jurisdictional claims in published maps and institutional affiliations. |
© 2022 by the authors. Licensee MDPI, Basel, Switzerland. This article is an open access article distributed under the terms and conditions of the Creative Commons Attribution (CC BY) license (https://creativecommons.org/licenses/by/4.0/).
Share and Cite
Kim, S.; Kim, D.; Hong, J.; Elmughrabi, A.; Melis, A.; Yeom, J.-Y.; Park, C.; Cho, S. Performance Comparison of CdTe:Na, CdTe:As, and CdTe:P Single Crystals for Solar Cell Applications. Materials 2022, 15, 1408. https://doi.org/10.3390/ma15041408
Kim S, Kim D, Hong J, Elmughrabi A, Melis A, Yeom J-Y, Park C, Cho S. Performance Comparison of CdTe:Na, CdTe:As, and CdTe:P Single Crystals for Solar Cell Applications. Materials. 2022; 15(4):1408. https://doi.org/10.3390/ma15041408
Chicago/Turabian StyleKim, Sangsu, Deok Kim, Jinki Hong, Abdallah Elmughrabi, Alima Melis, Jung-Yeol Yeom, Chansun Park, and Shinhaeng Cho. 2022. "Performance Comparison of CdTe:Na, CdTe:As, and CdTe:P Single Crystals for Solar Cell Applications" Materials 15, no. 4: 1408. https://doi.org/10.3390/ma15041408
APA StyleKim, S., Kim, D., Hong, J., Elmughrabi, A., Melis, A., Yeom, J.-Y., Park, C., & Cho, S. (2022). Performance Comparison of CdTe:Na, CdTe:As, and CdTe:P Single Crystals for Solar Cell Applications. Materials, 15(4), 1408. https://doi.org/10.3390/ma15041408

