Critical Current Density and Meissner Effect of Smart Meta-Superconductor MgB2 and Bi(Pb)SrCaCuO
Abstract
1. Introduction
2. Experiment
2.1. Preparation and Characterization of Pure MgB2 and Doping MgB2 Superconducting Samples
2.2. Preparation and Characterization of Pure B(P)SCCO and Doping B(P)SCCO Superconducting Samples
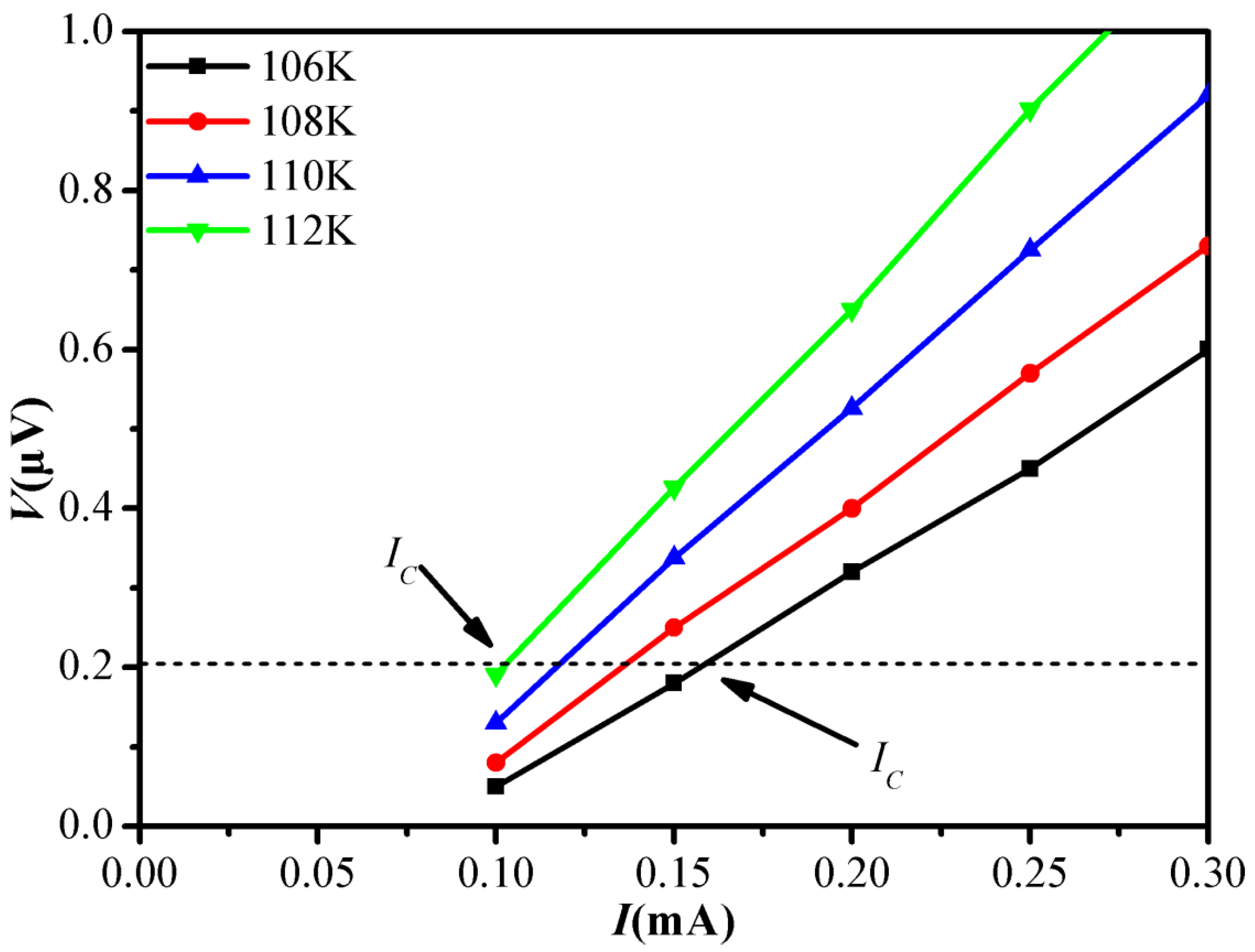
2.3. Testing of Transport Critical Current Density and Meissner Effect
3. Results and Discussion
4. Conclusions
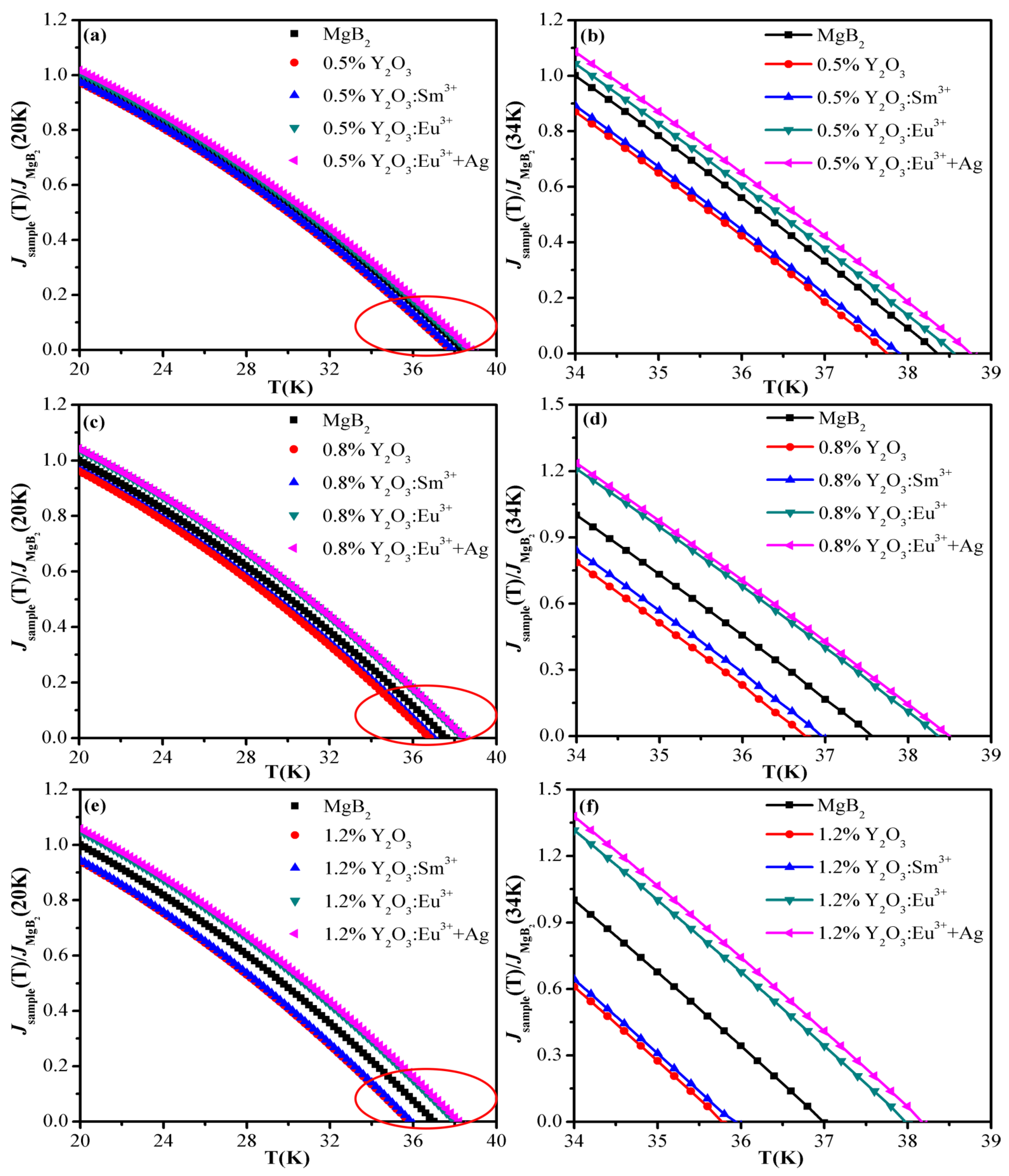
- Y2O3:Eu3++Ag luminescent inhomogeneous phase doping increases the JC of cMgB2 by 38% (T = 34 K), while the JC of non-luminescent dopant-doped samples decreases. The JC of pure cMgB2 decreases to a minimum value at 36.8 K, and the JC of Y2O3:Eu3+ and Y2O3:Eu3++Ag-doped samples decreases to a minimum value at 37.8 and 38 K, respectively. Meanwhile, the JC of Y2O3:Sm3+ and Y2O3-doped samples reduces to a minimum value at 35.8 and 35.6 K. The Meissner effect disappears at 36 K for pure cMgB2 sample, and it disappears at 36.8 and 37 K for Y2O3:Eu3+ and Y2O3:Eu3++Ag luminescent inhomogeneous phase-doped samples. Meanwhile, the Meissner effect disappears at 34.6 K for Y2O3 non-luminescent dopant-doped sample.
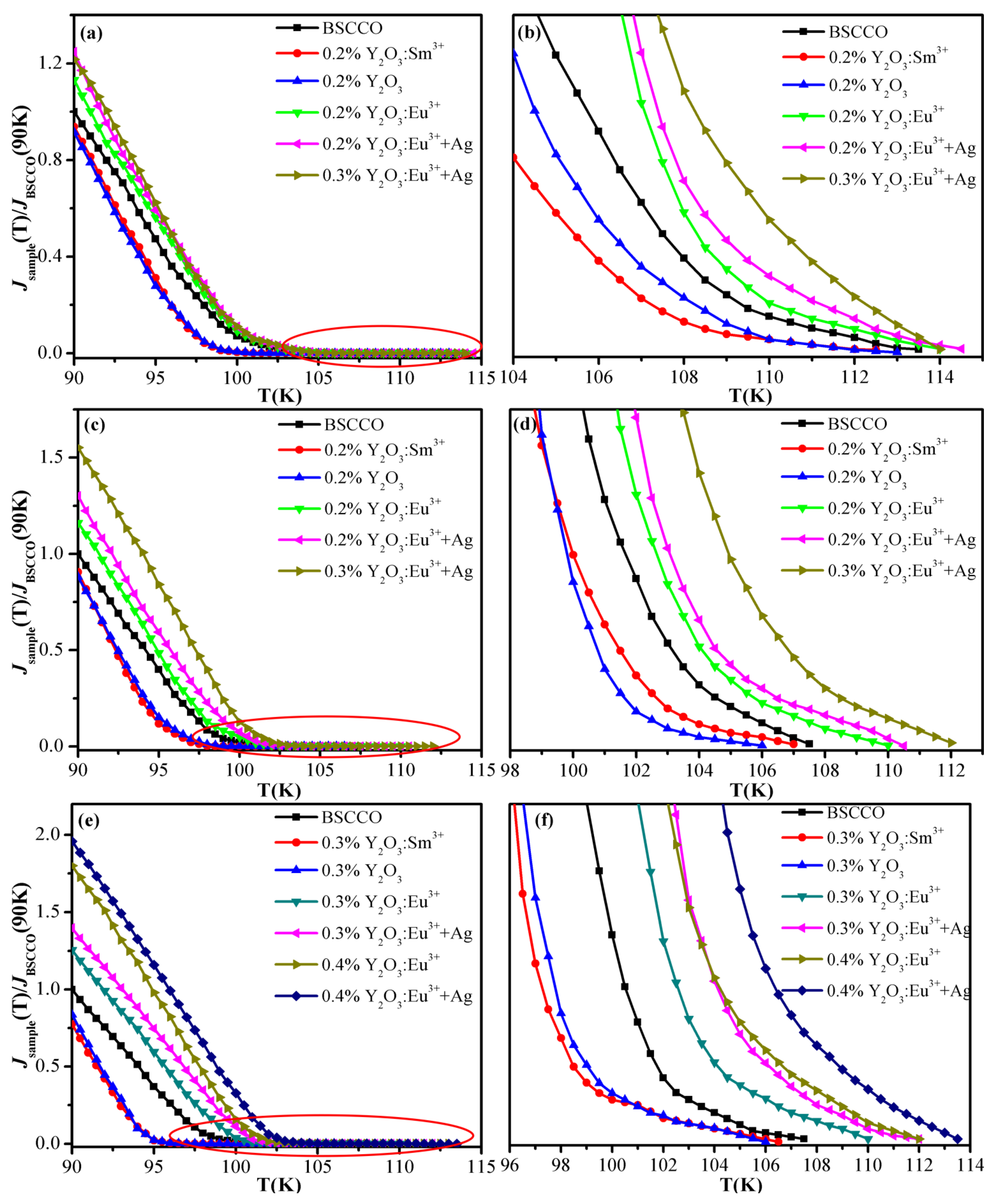
- Y2O3:Eu3++Ag luminescent inhomogeneous phase doping increases the JC of Bi(Pb)SrCaCuO by 95% (T = 90 K), the JC of non-luminescent dopants doped samples decreases. The JC of pure Bi(Pb)SrCaCuO (C1) decreases to a minimum value at 107.5 K. The JC of Y2O3:Eu3+ and Y2O3:Eu3++Ag-doped samples decreases to a minimum value at 112 and 113.5 K, respectively. Meanwhile, the JC of Y2O3:Sm3+ and Y2O3-doped samples reduces to a minimum value at 106.5 and 106 K. The Meissner effect of pure B(P)SCCO (C1) disappears when the temperature is higher than 100 K. The Meissner effect of Y2O3:Eu3+ and Y2O3:Eu3++Ag luminescent inhomogeneous phase-doped samples disappears when the temperature is higher than 102 and 104 K, while that of the Y2O3-doped sample disappears when the temperature is higher than 97 K.
- The TC and JC of smart meta-superconductor MgB2 and Bi(Pb)SrCaCuO increase simultaneously. The JC of luminescent inhomogeneous phase-doped samples decreases to a minimum value at a higher temperature. A smart meta-superconductor has the Meissner effect at higher temperatures. All these findings indicate that the improvement in superconducting performance through a smart meta-superconductor is applicable to conventional and copper oxide high-temperature superconductors.
Author Contributions
Funding
Institutional Review Board Statement
Informed Consent Statement
Data Availability Statement
Conflicts of Interest
References
- Qiu, D.; Gong, C.; Wang, S.; Zhang, M.; Yang, C.; Wang, X.; Xiong, J. Recent Advances in 2D Superconductors. Adv. Mater. 2021, 33, e2006124. [Google Scholar] [CrossRef] [PubMed]
- Gui, X.; Lv, B.; Xie, W.W. Chemistry in Superconductors. Chem. Rev. 2021, 121, 2966–2991. [Google Scholar] [CrossRef] [PubMed]
- Bardeen, J.; Cooper, L.N.; Schrieffer, J.R. Theory of Superconductivity. Phys. Rev. 1957, 108, 1175–1204. [Google Scholar] [CrossRef]
- Bardeen, J. Theory of the Meissner Effect in Superconductors. Phys. Rev. 1955, 97, 1724–1725. [Google Scholar] [CrossRef]
- Chung, D.Y. The Basic Cause of Superconductivity. J. Mod. Phys. 2015, 6, 26–36. [Google Scholar] [CrossRef]
- Fossheim, K.; Sudbø, A. What is Superconductivity? A Brief Overview. In Superconductivity: Physics and Applications; John Wiley & Sons Ltd.: Chichester, UK, 2004; pp. 1–26. [Google Scholar] [CrossRef]
- Buckel, W.; Kleiner, R. Fundamental Properties of Superconductors. In Superconductivity: Fundamentals and Applications, 2nd ed.; Wiley-VCH, Verlag GmbH & Co. KgaA: Weinheim, Germany, 2004; pp. 11–71. [Google Scholar] [CrossRef]
- Sunwong, P.; Higgins, J.S.; Tsui, Y.; Raine, M.J.; Hampshire, D.P. The critical current density of grain boundary channels in polycrystalline HTS and LTS superconductors in magnetic fields. Supercond. Sci. Technol. 2013, 26, 095006. [Google Scholar] [CrossRef]
- Pautrat, A.; Simon, C.; Scola, J.; Goupil, C.; Ruyter, A.; Ammor, L.; Thopart, P.; Plessis, D. On voltage-current characteristics and critical current in Bi-2212. Eur. Phys. J. B 2005, 43, 39–45. [Google Scholar] [CrossRef]
- Nappi, C.; Camerlingo, C.; Enrico, E.; Bellingeri, E.; Braccini, V.; Ferdeghini, C.; Sarnelli, E. Current Induced Resistive State in Fe(Se,Te) Superconducting Nanostrips. Sci. Rep. 2017, 7, 4115. [Google Scholar] [CrossRef]
- Montemurro, D.; Stornaiuolo, D.; Massarotti, D.; Ercolani, D.; Sorba, L.; Beltram, F.; Tafuri, F.; Roddaro, S. Suspended InAs nanowire Josephson junctions assembled via dielectrophoresis. Nanotechnology 2015, 26, 385302. [Google Scholar] [CrossRef]
- Rakshit, D.; Sk, T.; Das, P.; Haldar, S.; Ghosh, A.K. Exponential reduction in critical current density in Eu1-xCexBa2Cu3O7-δ superconductors near critical temperature. Phys. C Supercond. 2021, 588, 1353909. [Google Scholar] [CrossRef]
- Tampieri, A.; Fiorani, D.; Sparvieri, N.; Rinaldi, S.; Celotti, G.; Bartolucci, R. Granular and intergranular properties of hot pressed BSCCO (2223) superconductors. J. Mater. Sci. Mater. Electron. 1999, 34, 6177–6182. [Google Scholar] [CrossRef]
- Cava, R.J.; Zandbergen, H.W.; Inumaru, K. The substitutional chemistry of MgB2. Phys. C Supercond. 2003, 385, 8–15. [Google Scholar] [CrossRef]
- Pogrebnyakov, A.V.; Xi, X.X.; Redwing, J.M.; Vaithyanathan, V.; Schlom, D.G.; Soukiassian, A.; Mi, S.B.; Jia, C.L.; Giencke, J.E.; Eom, C.B.; et al. Properties of MgB2 thin films with carbon doping. Appl. Phys. Lett. 2004, 85, 2017–2019. [Google Scholar] [CrossRef]
- Zhao, Y.G.; Zhang, X.P.; Qiao, P.T.; Zhang, H.T.; Jia, S.L.; Cao, B.S.; Zhu, M.H.; Han, Z.H.; Wang, X.L.; Gu, B.L. Effect of Li doping on structure and superconducting transition temperature of Mg1−xLixB2. Phys. C Supercond. 2001, 361, 91–94. [Google Scholar] [CrossRef]
- Zhigadlo, N.D.; Petrashko, V.V.; Semenenko, Y.A.; Panagopoulos, C.; Cooper, J.R.; Salje, E.K.H. The effects of Cs doping, heat treatments on the phase formation and superconducting properties of (Bi,Pb)–Sr–Ca–Cu–O ceramics. Phys. C Supercond. 1998, 299, 327–337. [Google Scholar] [CrossRef]
- Yavuz, Ş.; Bilgili, Ö.; Kocabaş, K. Effects of superconducting parameters of SnO2 nanoparticles addition on (Bi, Pb)-2223 phase. J. Mater. Sci. Mater. Electron. 2016, 27, 4526–4533. [Google Scholar] [CrossRef]
- Jia, Z.Y.; Tang, H.; Yang, Z.Q.; Xing, Y.T.; Wang, Y.Z.; Qiao, G.W. Effects of nano-ZrO2 particles on the superconductivity of Pb-doped BSCCO. Phys. C Supercond. 2000, 337, 130–132. [Google Scholar] [CrossRef]
- Drozdov, A.P.; Eremets, M.I.; Troyan, I.A.; Ksenofontov, V.; Shylin, S.I. Conventional superconductivity at 203 kelvin at high pressures in the sulfur hydride system. Nature 2015, 525, 73–76. [Google Scholar] [CrossRef]
- Drozdov, A.P.; Kong, P.P.; Minkov, V.S.; Besedin, S.P.; Kuzovnikov, M.A.; Mozaffari, S.; Balicas, L.; Balakirev, F.F.; Graf, D.E.; Prakapenka, V.B.; et al. Superconductivity at 250 K in lanthanum hydride under high pressures. Nature 2019, 569, 528–531. [Google Scholar] [CrossRef]
- Snider, E.; Dasenbrock-Gammon, N.; McBride, R.; Debessai, M.; Vindana, H.; Vencatasamy, K.; Lawler, K.V.; Salamat, A.; Dias, R.P. Room-temperature superconductivity in a carbonaceous sulfur hydride. Nature 2020, 586, 373–377. [Google Scholar] [CrossRef]
- Tang, S.P.; Wang, D.L.; Zhang, X.P.; Zhang, Q.J.; Li, C.; Ma, Y.W.; Oguro, H.; Awaji, S.; Watanabe, K. Improved Transport JC in MgB2 Tapes by Graphene Doping. J. Supercond. Nov. Magn. 2014, 27, 2699–2705. [Google Scholar] [CrossRef]
- Yang, Y.; Sumption, M.D.; Rindfleisch, M.; Tomsic, M.; Collings, E.W. Enhanced higher temperature irreversibility field and critical current density in MgB2 wires with Dy2O3 additions. Supercond. Sci. Technol. 2021, 34, 025010. [Google Scholar] [CrossRef]
- Annabi, M.; M’Chirgui, A.; Ben Azzouz, F.; Zouaoui, M.; Ben Salem, M. Addition of nanometer Al2O3 during the final processing of (Bi,Pb)-2223 superconductors. Phys. C Supercond. 2004, 405, 25–33. [Google Scholar] [CrossRef]
- Hua, L.; Yoo, J.; Ko, J.; Kim, H.; Chung, H.; Qiao, G. Microstructure and phase evolution of ultrafine MgO doped Bi-2223/Ag tapes. Phys. C Supercond. 1997, 291, 149–154. [Google Scholar] [CrossRef]
- Guo, Y.C.; Tanaka, Y.; Kuroda, T.; Dou, S.X.; Yang, Z.Q. Addition of nanometer SiC in the silver-sheathed Bi2223 superconducting tapes. Phys. C Supercond. 1999, 311, 65–74. [Google Scholar] [CrossRef]
- Ahmad, I.; Sarangi, S.N.; Sarun, P.M. Enhanced critical current density and flux pinning of anthracene doped magnesium diboride superconductor. J. Alloys Compd. 2021, 884, 160999. [Google Scholar] [CrossRef]
- Abbasi, H.; Taghipour, J.; Sedghi, H. Superconducting and transport properties of (Bi–Pb)–Sr–Ca–Cu–O with Cr2O3 additions. J. Alloys Compd. 2010, 494, 305–308. [Google Scholar] [CrossRef]
- Abou-Aly, A.I.; Gawad, M.M.H.A.; Awad, R.; G-Eldeen, I. Improving the Physical Properties of (Bi,Pb)-2223 Phase by SnO2 Nano-particles Addition. J. Supercond. Nov. Magn. 2011, 24, 2077–2084. [Google Scholar] [CrossRef]
- Aftabi, A.; Mozaffari, M. Fluctuation induced conductivity and pseudogap state studies of Bi1.6Pb0.4Sr2Ca2Cu3O10+δ superconductor added with ZnO nanoparticles. Sci. Rep. 2021, 11, 4341. [Google Scholar] [CrossRef]
- Zhao, X.P. Bottom-up fabrication methods of optical metamaterials. J. Mater. Chem. 2012, 22, 9439–9449. [Google Scholar] [CrossRef]
- Liu, H.; Zhao, X.P.; Yang, Y.; Li, Q.W.; Lv, J. Fabrication of Infrared Left-Handed Metamaterials via Double Template-Assisted Electrochemical Deposition. Adv. Mater. 2008, 20, 2050–2054. [Google Scholar] [CrossRef]
- Smolyaninov, I.I.; Smolyaninova, V.N. Metamaterial superconductors. Phys. Rev. B 2015, 91, 094501. [Google Scholar] [CrossRef]
- Smolyaninov, I.I.; Smolyaninova, V.N. Is There a Metamaterial Route to High Temperature Superconductivity? Adv. Condens. Matter Phys. 2014, 2014, 479635. [Google Scholar] [CrossRef]
- Rosen, P.F.; Calvin, J.J.; Woodfield, B.F.; Smolyaninova, V.N.; Prestigiacomo, J.C.; Osofsky, M.S.; Smolyaninov, I.I. Normal state specific heat of a core-shell aluminum-alumina metamaterial composite with enhanced TC. Phys. Rev. B 2021, 103, 024512. [Google Scholar] [CrossRef]
- Zhang, Z.W.; Tao, S.; Chen, G.W.; Zhao, X.P. Improving the Critical Temperature of MgB2 Superconducting Metamaterials Induced by Electroluminescence. J. Supercond. Nov. Magn. 2016, 29, 1159–1162. [Google Scholar] [CrossRef][Green Version]
- Tao, S.; Li, Y.B.; Chen, G.W.; Zhao, X.P. Critical Temperature of Smart Meta-superconducting MgB2. J. Supercond. Nov. Magn. 2017, 30, 1405–1411. [Google Scholar] [CrossRef]
- Li, Y.B.; Chen, H.G.; Qi, W.C.; Chen, G.W.; Zhao, X.P. Inhomogeneous Phase Effect of Smart Meta-Superconducting MgB2. J. Low Temp. Phys. 2018, 191, 217–227. [Google Scholar] [CrossRef]
- Chen, H.G.; Li, Y.B.; Chen, G.W.; Xu, L.X.; Zhao, X.P. The Effect of Inhomogeneous Phase on the Critical Temperature of Smart Meta-superconductor MgB2. J. Supercond. Nov. Magn. 2018, 31, 3175–3182. [Google Scholar] [CrossRef]
- Li, Y.B.; Chen, H.G.; Wang, M.Z.; Xu, L.X.; Zhao, X.P. Smart meta-superconductor MgB2 constructed by the dopant phase of luminescent nanocomposite. Sci. Rep. 2019, 9, 14194. [Google Scholar] [CrossRef]
- Chen, H.G.; Li, Y.B.; Wang, M.Z.; Han, G.Y.; Shi, M.; Zhao, X.P. Smart Metastructure Method for Increasing TC of Bi(Pb)SrCaCuO High-Temperature Superconductors. J. Supercond. Nov. Magn. 2020, 33, 3015–3025. [Google Scholar] [CrossRef]
- Chen, H.G.; Wang, M.Z.; Qi, Y.; Li, Y.B.; Zhao, X.P. Relationship between the TC of Smart Meta-Superconductor Bi(Pb)SrCaCuO and Inhomogeneous Phase Content. Nanomaterials 2021, 11, 1061. [Google Scholar] [CrossRef] [PubMed]
- Li, Y.B.; Han, G.Y.; Zou, H.Y.; Tang, L.; Chen, H.G.; Zhao, X.P. Reinforcing Increase of ΔTC in MgB2 Smart Meta-Superconductors by Adjusting the Concentration of Inhomogeneous Phases. Materials 2021, 14, 3066. [Google Scholar] [CrossRef] [PubMed]
- Wang, M.Z.; Xu, L.X.; Chen, G.W.; Zhao, X.P. Topological luminophor Y2O3:Eu3++Ag with high electroluminescence performance. ACS Appl. Mater. Interfaces 2019, 11, 2328–2335. [Google Scholar] [CrossRef] [PubMed]
- Sunshine, S.A.; Siegrist, T.; Schneemeyer, L.F.; Murphy, D.W.; Cava, R.J.; Batlogg, B.; van Dover, R.B.; Fleming, R.M.; Glarum, S.H.; Nakahara, S.; et al. Structure and physical properties of single crystals of the 84-K superconductor Bi2.2Sr2Ca0.8Cu2O8+δ. Phys. Rev. B 1988, 38, 893–896. [Google Scholar] [CrossRef] [PubMed]
- Buzea, C.; Yamashita, T. Review of superconducting properties of MgB2. Supercond. Sci. Technol. 2001, 14, R115–R146. [Google Scholar] [CrossRef]
- Zhang, H.; Zhao, Y.; Zhang, Y. The Effects of Excess Mg Addition on the Superconductivity of MgB2. J. Supercond. Nov. Magn. 2015, 28, 2711–2714. [Google Scholar] [CrossRef]
- Arvapalli, S.S.; Miryala, M.; Jirsa, M.; Murakami, M. Size reduction of boron particles by high-power ultrasound for optimization of bulk MgB2. Supercond. Sci. Technol. 2020, 33, 115009. [Google Scholar] [CrossRef]
- Peng, J.M.; Cai, Q.; Cheng, F.; Ma, Z.Q.; Li, C.; Xin, Y.; Liu, Y.C. Enhancement of critical current density by a “MgB2 -MgB4 ” reversible reaction in self-sintered ex-situ MgB2 bulks. J. Alloys Compd. 2017, 694, 24–29. [Google Scholar] [CrossRef]
- Karaca, I.; Celebi, S.; Varilci, A.; Malik, A.I. Effect of Ag2O addition on the intergranular properties of the superconducting Bi-(Pb)-Sr-Ca-Cu-O system. Supercond. Sci. Technol. 2003, 16, 100–104. [Google Scholar] [CrossRef]
- Shamsodini, M.; Salamati, H.; Shakeripour, H.; Sarsari, I.A.; Esferizi, M.F.; Nikmanesh, H. Effect of using two different starting materials (nitrates and carbonates) and a calcination processes on the grain boundary properties of a BSCCO superconductor. Supercond. Sci. Technol. 2019, 32, 075001. [Google Scholar] [CrossRef]
- Manabe, T.; Tsunoda, T.; Kondo, W.; Shindo, Y.; Mizuta, S.; Kumagai, T. Preparation and Superconducting Properties of Bi-Pb-Sr-Ca-Cu-O Films (TC = 106 K) by the Dipping-Pyrolysis Process. Jpn. J. Appl. Phys. 1992, 31, 1020–1025. [Google Scholar] [CrossRef]
- Ghattas, A.; Annabi, M.; Zouaoui, M.; Azzouz, F.B.; Salem, M.B. Flux pinning by Al-based nano particles embedded in polycrystalline (Bi,Pb)-2223 superconductors. Phys. C Supercond. 2008, 468, 31–38. [Google Scholar] [CrossRef]
- Nam, S.B. Magnetization of Superconducting Ba (Y, Nd, Sm, Gd, Dy, Er, Yb) CuO Systems. Jpn. J. Appl. Phys. 1987, 26, 1175. [Google Scholar] [CrossRef]
- Schwenk, H.; Andres, K.; Wudl, F. Anisotropy of the lower critical field and meissner effect in (TMTSF)2ClO4 in the basal plane. Solid State Commun. 1984, 49, 723–726. [Google Scholar] [CrossRef]
- Krishna, N.M.; Lingam, L.S.; Ghosh, P.K.; Shrivastava, K.N. Effect of current-loop sizes on the para-Meissner effect in superconductors. Physica C Supercond 1998, 294, 243–248. [Google Scholar] [CrossRef]
- Posselt, H.; Muller, H.; Andres, K.; Saito, G. Reentrant Meissner effect in the organic conductor κ-(BEDT-TTF)2Cu[N(CN)2]Cl under pressure. Phys. Rev. B 1994, 49, 15849–15852. [Google Scholar] [CrossRef]
- Horiuchi, T.; Kawai, T.; Kawai, S.; Ogura, K. The trial of making Bi-Sr-Ca-Cu-M-O superconductors (M = Li, Na, K, Rb, Cs). Ferroelectrics 1990, 109, 351–356. [Google Scholar] [CrossRef]





Publisher’s Note: MDPI stays neutral with regard to jurisdictional claims in published maps and institutional affiliations. |
© 2022 by the authors. Licensee MDPI, Basel, Switzerland. This article is an open access article distributed under the terms and conditions of the Creative Commons Attribution (CC BY) license (https://creativecommons.org/licenses/by/4.0/).
Share and Cite
Chen, H.; Li, Y.; Qi, Y.; Wang, M.; Zou, H.; Zhao, X. Critical Current Density and Meissner Effect of Smart Meta-Superconductor MgB2 and Bi(Pb)SrCaCuO. Materials 2022, 15, 972. https://doi.org/10.3390/ma15030972
Chen H, Li Y, Qi Y, Wang M, Zou H, Zhao X. Critical Current Density and Meissner Effect of Smart Meta-Superconductor MgB2 and Bi(Pb)SrCaCuO. Materials. 2022; 15(3):972. https://doi.org/10.3390/ma15030972
Chicago/Turabian StyleChen, Honggang, Yongbo Li, Yao Qi, Mingzhong Wang, Hongyan Zou, and Xiaopeng Zhao. 2022. "Critical Current Density and Meissner Effect of Smart Meta-Superconductor MgB2 and Bi(Pb)SrCaCuO" Materials 15, no. 3: 972. https://doi.org/10.3390/ma15030972
APA StyleChen, H., Li, Y., Qi, Y., Wang, M., Zou, H., & Zhao, X. (2022). Critical Current Density and Meissner Effect of Smart Meta-Superconductor MgB2 and Bi(Pb)SrCaCuO. Materials, 15(3), 972. https://doi.org/10.3390/ma15030972

