Synthesis and Hydrophilicity Analysis of bis(propane-1,2-diol) Terminated Polydimethylsiloxanes (PDMSs)
Abstract
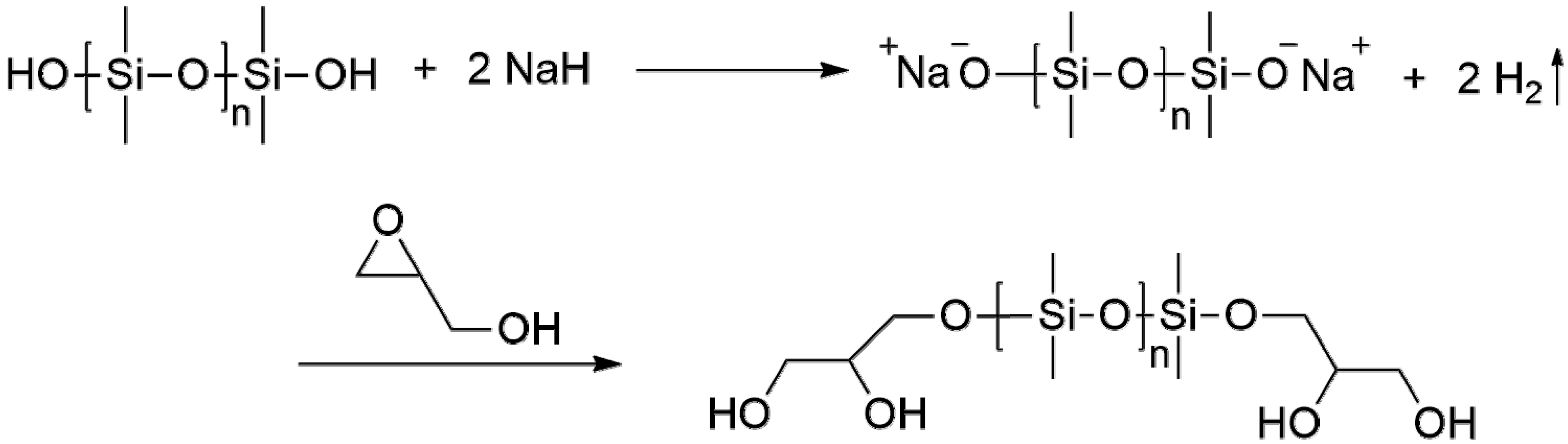
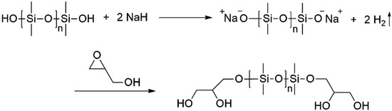
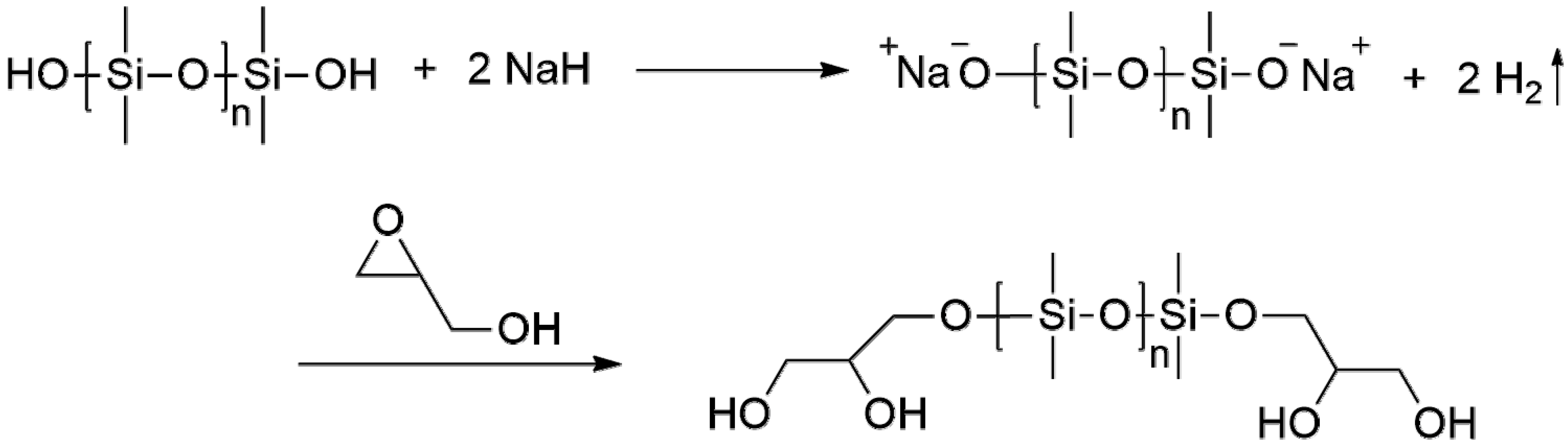
1. Introduction
2. Experimental
2.1. Materials
2.2. Sample Characterization
2.3. Glycidol-Terminated PDMS (G-PDMS-G-1) from HO-PDMS-OH-1
2.4. Glycidol-Terminated PDMS (G-PDMS-G-2) from HO-PDMS-OH-2
2.5. Glycidol-Terminated PDMS (G-PDMS-G-3) from HO-PDMS-OH-3
3. Results and Discussion
4. Conclusions
Supplementary Materials
Author Contributions
Funding
Institutional Review Board Statement
Informed Consent Statement
Data Availability Statement
Acknowledgments
Conflicts of Interest
References
- Dow Corning Corp. An Overview of Polydimethylsiloxane (PDMS) Fluids in the Environment; Dow Corning Corp.: Midland, MI, USA, 1997. [Google Scholar]
- Chaumont, P.; Beinert, G.; Herz, J.; Rempp, P. Synthesis and characterization of multiblock copolymers containing poly (dimethyl siloxane) blocks. Polymer 1981, 22, 663–666. [Google Scholar] [CrossRef]
- Zaman, Q.; Zia, K.M.; Zuber, M.; Mabkhot, Y.N.; Almalki, F.; Hadda, T.B. A conprehensive review on synthesis, chracterization, and applications of polydimethylsiloxane and copolymers. Int. J. Plast. Technol. 2019, 23, 261–282. [Google Scholar] [CrossRef]
- Singh, H.; Jain, A. Ignition, combustion, toxicity, and fire retardancy of polyurethane foams: A comprehensive review. J. Appl. Polym. Sci. 2009, 111, 1115–1143. [Google Scholar] [CrossRef]
- Cui, M.; Li, J.; Chen, W.; Hong, W.; Chen, Y.; Xiang, J.; Yan, J.; Fan, H. A halogen-free, flame retardant, waterborne polyurethane coating based on the synergistic effect of phosphorus and silicon Prog. Org. Coat. 2021, 158, 106359. [Google Scholar] [CrossRef]
- Song, L.; Yang, H.; Li, D.; Jiang, Q.; Zeng, D. Polydimethylsiloxane/monomer casting nylon copolymers: Preparation, flame-retardant properties, and wear-resistant properties J. Appl Polym. Sci. 2020, 137, 48753. [Google Scholar] [CrossRef]
- Zhang, Z.; Song, X.; Cui, L.; Qi, Y. Synthesis of polydimethylsiloxane-modified polyurethane and the structure and properties of its antifouling coatings. Coatings 2018, 8, 157. [Google Scholar] [CrossRef]
- Cui, Y.; Li, Y.; Huan, D.; Zeng, D.; Yang, Y.; Zhu, C.; Wang, J. Fabrication of silicone modified polyurethane matrix superhydrophobic coating with hydroxy-terminated polydimethylsiloxane modified SiO2 nanoparticles. Polym. Plast. Technol. Mater. 2022. [Google Scholar]
- Arkles, B. Hydrophobicity, Hydrophilicity and Silane Surface Modification; Gelest Inc.: Morrisville, PA, USA, 2011. [Google Scholar]
- Janik, H.; Sienkiewicz, M.; Kucinska-Lipka, J. Handbook of Thermoset Plastics: 9. Polyurethanes; Elsevier: Amsterdam, The Netherlands, 2013. [Google Scholar]
- Abbasi, F.; Mirzadeh, H.; Katbab, A.A. Modification of polysiloxane polymers for biomedical applications: A review. Polym. Int. 2001, 50, 1279–1287. [Google Scholar] [CrossRef]
- Boehm, P.; Frey, H.; Menke, T.J. Hydrophilic Polyorganosiloxanes. United States Patent Application Publication US 2013/0123530 A1, 16 May 2013. [Google Scholar]
- Miyanaga, S. Silicone Modified with Branched Polyglycerol. European Patent Office EP 1 489 128 A1, 22 December 2004. [Google Scholar]
- Miyanaga, S. Silicone Modifiee par Polyglycerol Ramifie. European Patent Office EP 1 489 128 B1, 21 September 2011. [Google Scholar]
- Tamura, S.; Sawayama, S.; Hori, S. Manufacturing Method for High-Purity Glycerol Derivative-Modified Silicone. United States Patent Application Publication, US 2016/0052944 A1, 25 February 2016. [Google Scholar]
- Wagner, R.; Richter, L.; Wu, Y.; Weifimüller, J.; Reiners, J.; Klein, K.D.; Schaefer, D.; Stadtmüller, S. Carbohydrate-Modified Siloxane Surfactants: The Effect of Substructures on the Wetting Behavior on Non Polar Solid Surfaces. Organosilicon Chem. III Mol. Mater. 2005, 510–514. [Google Scholar] [CrossRef]
- Wagner, R.; Richter, L.; Wersig, R.; Schmaucks, G.; Weiland, B.; Weissmüller, J.; Reiners, J. Silicon-modified carbohydrate surfactants I: Synthesis of siloxanyl moieties containing straight-chained glycosides and amides. Appl. Organomet. Chem. 1996, 10, 421–435. [Google Scholar] [CrossRef]
- Jonas, G.; Stadler, R. Polysiloxanes with statistically distributed glucose and galactose units, 1. Synthesis and thermal characterization. Die Makromol. Chem. Rapid Commun. 1991, 12, 625–632. [Google Scholar] [CrossRef]
- Jonas, G.; Stadler, R. Carbohydrate modified polysiloxanes II. Synthesis via hydrosilation of mono-, di-and oligosaccharide allylglycosides. Acta Polym. 1994, 45, 14–20. [Google Scholar] [CrossRef]
- Zhan, X.L.; Luo, Z.H.; Zhang, Q.H.; Chen, B.; Chen, F.Q. Synthesis and characterization of α-{3-[(2, 3-dihydroxy) propoxy] propyl}-ω-butyl-polydimethylsiloxanes. Chin. Chem. Lett. 2009, 20, 729–732. [Google Scholar] [CrossRef]
- Jang, S.-H.; Baek, S.-S.; Hwang, S.-H. Preparation, Surface Characteristics and Physical Properties of Polyurethane-based Gel-coat Containing Reactive Silicone Oligomers. Elastomers Compos. 2016, 51, 269–274. [Google Scholar] [CrossRef][Green Version]
- Clayden, J.; Warren, S. Solutions Manual to Accompany Organic Chemistry; Oxford University Press: Oxford, UK, 2013. [Google Scholar]
- Weiss, M.E.R. A Kinetic Model for the Anionic Ring-Opening Polymerization of Glycidol. Ph.D. Thesis, Freie Universität, Berlin, Germany, 2012. [Google Scholar]
- Cucciniello, R.; Ricciardi, M.; Vitiello, R.; Di Serio, M.; Proto, A.; Capacchione, C. Synthesis of monoalkyl glyceryl ethers by ring opening of glycidol with alcohols in the presence of lewis acids. ChemSusChem 2016, 9, 3272–3275. [Google Scholar] [CrossRef] [PubMed]
- Pavia, D.L.; Lampman, G.M.; Kriz, G.S.; Vyvyan, J.A. Introduction to Spectroscopy; Cengage Learning: Boston, MA, USA, 2008. [Google Scholar]
- Helms, E.; Arpaia, N.; Widener, M. Assigning the NMR spectrum of glycidol: An advanced organic chemistry exercise. J. Chem. Educ. 2007, 84, 1328. [Google Scholar] [CrossRef]
- Chojnowski, J.; Kaźmierski, K.; Rubinsztajn, S.; Stańczyk, W. Transformation of oligodimethylsiloxanols in the presence of a strong base. Reactivity enhancement of the siloxane bond by the adjacent hydroxyl group. Die Makromol. Chem. Macromol. Chem. Phys. 1986, 187, 2039–2052. [Google Scholar] [CrossRef]
- Jones, R.G.; Ando, W.; Chojnowski, J. Silicon-Containing Polymers: The Science and Technology of Their Synthesis and Applications; Springer Science & Business Media: Berlin, Germany, 2013. [Google Scholar]




| Entry | Mn (NMR) | Mn (GPC) | Mw (GPC) | PDI (GPC) |
|---|---|---|---|---|
| HO-PDMS-OH-1 | 438 | 686 | 804 | 1.17 |
| HO-PDMS-OH-2 | 3295 | 3021 | 4368 | 1.51 |
| HO-PDMS-OH-3 | 3450 | 3043 | 4902 | 1.61 |
| G-PDMS-G-1 | 883 | 969 | 1.10 | |
| G-PDMS-G-2 | 6499 | 9671 | 1.49 | |
| G-PDMS-G-3 | 6712 | 8831 | 1.32 |
| HO-PDMS-OH | G-PDMS-G | |||
|---|---|---|---|---|
| Viscosity (cP) | Temperature (°C) | Viscosity (cP) | Temperature (°C) | |
| 1 | 34.74 | 21.7 | 11.97 | 21.8 |
| 2 | 98.10 | 21.4 | 53.1 | 21.4 |
| 3 | 109.2 | 21.4 | 20.84 | 21.2 |
Publisher’s Note: MDPI stays neutral with regard to jurisdictional claims in published maps and institutional affiliations. |
© 2022 by the authors. Licensee MDPI, Basel, Switzerland. This article is an open access article distributed under the terms and conditions of the Creative Commons Attribution (CC BY) license (https://creativecommons.org/licenses/by/4.0/).
Share and Cite
Yang, L.-H.; Park, K.E.; Yoon, S. Synthesis and Hydrophilicity Analysis of bis(propane-1,2-diol) Terminated Polydimethylsiloxanes (PDMSs). Materials 2022, 15, 753. https://doi.org/10.3390/ma15030753
Yang L-H, Park KE, Yoon S. Synthesis and Hydrophilicity Analysis of bis(propane-1,2-diol) Terminated Polydimethylsiloxanes (PDMSs). Materials. 2022; 15(3):753. https://doi.org/10.3390/ma15030753
Chicago/Turabian StyleYang, Lan-Hee, Kyeong Eun Park, and Sungho Yoon. 2022. "Synthesis and Hydrophilicity Analysis of bis(propane-1,2-diol) Terminated Polydimethylsiloxanes (PDMSs)" Materials 15, no. 3: 753. https://doi.org/10.3390/ma15030753
APA StyleYang, L.-H., Park, K. E., & Yoon, S. (2022). Synthesis and Hydrophilicity Analysis of bis(propane-1,2-diol) Terminated Polydimethylsiloxanes (PDMSs). Materials, 15(3), 753. https://doi.org/10.3390/ma15030753
