Abstract
The regularities and synthetic potentialities of the alkylation of 4(5)-nitro-1,2,3-triazole in basic media were explored, and new energetic ionic and nitrotriazole-based coordination compounds were synthesized in this study. The reaction had a general nature and ended with the formation of N1-, N2-, and N3-alkylation products, regardless of the conditions and reagent nature (alkyl- or aryl halides, alkyl nitrates, dialkyl sulfates). This reaction offers broad opportunities for expanding the variability of substituents on the nitrotriazole ring in the series of primary and secondary aliphatic, alicyclic, and aromatic substituents, which is undoubtedly crucial for solving the problems related to both high-energy materials development and medicinal chemistry when searching for new efficient bioactive compounds. An efficient methodology for the separation of regioisomeric N-alkyl(aryl)nitrotriazoles has been devised and relies on the difference in their basicity and reactivity during quaternization and complexation reactions. Based on the inaccessible N3-substitution products that exhibit a combination of properties of practical importance, a series of energy-rich ionic systems and coordination compounds were synthesized that are gaining ever-increasing interest for the chemistry of energy-efficient materials, coordination chemistry, and chemistry of ionic liquids.
1. Introduction
1,2,3-Triazole derivatives are viewed as the valuable building block for the molecular construction of a wide array of new compounds with various properties of practical importance. The 1,2,3-triazole ring is a major pharmacophore system among nitrogen-containing heterocycles [1,2,3]. Furthermore, a number of drugs that contain 1,2,3-triazole moieties, including TSAO [4] (anti-HIV agent), Cefatrizine [5] (antibiotic), CAI [6] (anticancer agent), and Tazobactum [7] (antibacterial agent) are currently used in clinical applications (Figure 1).
Figure 1.
Some of the commercially available 1,2,3-triazole ring-based drugs.
The favorable properties of the enhanced biological activities of the triazole ring include hydrogen bonding capability under in vivo conditions, a strong dipole moment, high chemical stability (they are typically inert toward oxidizing and reducing agents), and rigidity [8].
1,2,3-Triazole nitro derivatives―five-membered heteroaromatic systems bearing three endocyclic nitrogen atoms and exocyclic explosophoric NO2 groups―are commonly used in the development of efficient high-energy compounds, including ionic ones, that exhibit enhanced technological and operational safety for various applications [9,10,11,12,13,14].
The aromatic nature provides the triazole heterocyclic molecule with high thermal and chemical stabilities and a low sensitivity to mechanical stimuli [9,10]. The three coupled nitrogen atoms united into the five-membered heterocyclic system preserve the energy potential of the azido group and impart quite a high enthalpy of formation to 1,2,3-triazoles [15]. The functionalization with supplemental energy-rich moieties in the form of NO2 groups promotes enhanced density and increases the number of oxidizing elements (oxygen balance) required to oxidize components and maximize the energetic potential of the overall system [16]. The capability of accepting various metal ions and oxoacid anions opens the door to the synthesis of various supramolecular ionic systems, including the oxygen-enriched ones in the active form, starting from cations of triazolium heterocycles [10]. Such ionic systems holds promise as energetic compounds, which concurrently combine low sensitivity to mechanical stimuli and high energetic performance [17].
The high potential for practical application of 1,2,3-triazole derivatives provides for the highly relevant problem of finding directed synthesis methods for various functionalized triazoles-bearing systems.
There are two well-known, conceptually distinct approaches for the synthesis of N-substituted 4-nitro-1,2,3-triazoles. The first approach refers to the heterocyclization of nitrogen derivatives that contain activated C–C, N–N, and C–N bonds. A good deal of original papers and review articles report the findings of the first approach [18,19]. However, such methods are limited by the synthesis directions of inaccessible N3-substituted nitro derivatives of 1,2,3-triazoles.
The rational method for the functionalization of 1,2,3-triazole nitro derivatives for the potential synthesis of N1, N2, and N3 isomers is by alkylating unsubstituted 4-nitro-1,2,3-triazoles. Varying the nature of substituents and their location within the structure of N-substituted nitrotriazoles imparts a specified set of characteristics to the compounds and allows the control of their biological activity, energy performance, complexing, and other useful properties.
The alkylation reaction of azoles is usually carried out in the presence of bases. In these reactions, nitrotriazoles manifest properties of ambident nucleophiles. The data available in the literature on the alkylation of 4-nitro-1,2,3-triazole (1) are limited, have no systematic nature, and tend to be controversial. Most of the examples described previously regarding the alkylation of triazole 1 in basic media highlight the formation of a mixture of only two isomers [20,21,22,23,24,25]. The reaction [20,21,22,23,24,25] between triazole 1 and different electrophilic agents in basic media ends with the resulting mixed reaction products related to N1- and N2-isomeric 4-nitro-1,2,3-triazoles. The reaction [24,25] between triazole 1 with propargyl bromide [24] and ethyl iodides [25] also shows the formation of only two isomers, to one of which the structure of N3-isomer (1-substituted 5-nitro-1,2,3-triazole) has been ascribed by mistake.
Along with that, inaccessible N3-substitution products in the series of isomeric N-substituted 4-nitro-1,2,3-triazoles are of special interest for the development of high-energy [26,27], ionic [28,29,30], and polymeric materials [31] and metal complexes [32,33]. Due to the low accessibility, N3-substitution products are almost understudied. At the same time, they may serve as promising cages for high-energy materials because they have a unique combination of extreme and practically important properties (high enthalpy of formation [34], basicity [35]). From the synthetic standpoint, N3 derivatives arouse a huge interest, as they are more efficient in quaternization [36] and complexation [32,33] reactions among the isomeric N-substituted 4-nitro-1,2,3-triazoles. Such reactions are a powerful tool to produce the important class of compounds—energy-rich ionic systems and coordination compounds starting from nitrotriazoles.
Thus, the present study was focused on the synthesis and transformations of a wide array of N-alkyl(aryl)-nitrotriazoles differing in substituent types. The present study reports the results of the alkylation of 4-nitro-1,2,3-triazole in alkali whereby the triazole heterocycle is functionalized over all the three endocyclic nitrogen atoms. The unique properties of the N3 isomers allow for new quaternization and complexation processes that afforded a series of ionic and coordination compounds that have a set of characteristics combining enhanced energy performance and safety.
2. Materials and Methods
All the reagents and solvents were used as received. Ethanol (EtOH) (96.2%) was obtained from Kirov BioChemPlant, Kirov, Russian Federation. Dimethyl sulfoxide-d6 (DMSO-d6) (99.9%), dimethyl sulfate (99.8%), and sodium carbonate (99.8%) were acquired from Chemical Line Co. Ltd., Saint Petersburg, Russian Federation. Dichloromethane (99.8%), MgSO4·7H2O (99.5%), sodium hydroxide (99.6%), potassium hydroxide (85.7%), perchloric acid (72.8%), CuCl2·2H2O (99.0%), diethyl ether (99.2%), and tert-butanol (99.4%) were obtained from Vekton, Saint Petersburg, Russian Federation. Diethyl sulfate (98.0%), iodomethane (99.0%), bromoethane (99.0%), 1-bromopropane (99.0%), 2-bromopropane (99.0%), 1-bromo-3-methylbutane (99.0%), benzyl chloride (99.0%), and 2-ethylhexyl nitrate (97.0%) were procured from Aldrich, St. Louis, MO, USA. 1-Bromobutane (99.0%) was obtained from Sigma-Aldrich, St. Louis, MO, USA. Triazole 1 was prepared by the common procedure [37].
1H and 13C NMR spectra were recorded on a Bruker Avance III spectrometer (Bruker Corporation, Billerica, MA, USA). 1H NMR spectra were acquired at 400.13 MHz, while 13C NMR spectra were taken at 100.61 MHz. The measurements were conducted at 298 K unless otherwise stated. The spectra were calibrated using residual solvent signals (DMSO-d6: 2.50 ppm for 1H, 39.5 ppm for 13C). All NMR spectra of the new compounds are shown in the Supplementary Materials (Figures S1–S21). IR spectra (KBr): Simex FT-801 FTIR spectrometer (Simex, Novosibirsk, Russia). The melting point was determined on a Stuart SMP30 apparatus (Bibby Scientific Ltd., Stone, Staffordshire, UK). Elemental analyses were done on a Thermo Scientific Flash EA1112 CHNS elemental analyzer (Thermo Fisher Scientific, Waltham, MA, USA) for carbon, hydrogen, nitrogen, and oxygen contents. The XRD analysis was performed on a Bruker KAPPA APEX II CCD diffractometer (Bruker AXS GmbH, Karlsruhe, Germany) (λ(MoKα) = 0.71073 Å, φ,ω-scans of narrow (0.5°) frames). The density of the synthesized samples was measured on a AccuPyc II 1340 helium pycnometer (Micromeritics, Norcross, GA, USA) at 25 °C.
The reagents were procured from commercial sources and used as received unless otherwise stated. The commercially available compounds were used without additional purification unless otherwise stated. Triazole 1 was synthesized by the procedure reported [37].
Synthesis of triazoles 2–4a, 2–4b, 2–4c, 2–4d, 2–4e, 2–4f, 2–4g, 2–4h (general procedure). A suspension of triazoles 1 (2.85 g, 25 mmol) in ethanol (15 mL) (or water, 7.5 mL) and the corresponding alkali metal hydroxide (25 mmol) was heated to 40 °C with stirring until a solution was prepared. Then, dialkyl sulfate (benzyl chloride) (22.5 mmol, 0.9 equiv) or alkyl halide (50 mmol) was added and stirred. Low-boiling alkyl halides (EtBr, PriBr) were added dropwise with constant stirring. The reaction temperature and time for each case are summarized in Table 1. After the reaction was completed, the reaction mixture in ethanol was cooled to room temperature and concentrated in a rotary evaporator. The residue was treated with CH2Cl2 (3 × 25 mL). The reaction mixture in water was cooled, and extraction with CH2Cl2 (3 × 25 mL) was performed. The combined organic layers were washed successively with 3% aqueous sodium carbonate (7.5 mL), water (7.5 mL), dried over MgSO4, and then concentrated in a rotary evaporator. The overall yield and the composition of mixed alkylation products are listed in Table 1.
Table 1.
Alkylation of 4(5)-nitro-1,2,3-triazole with different alkylating agents.
Synthesis of triazoles 2–4j. To a suspension of triazoles 1 (2.85 g, 25 mmol) in ethanol (15 mL) was added an equimolar quantity of sodium hydroxide and cyclohexyl nitrate (22.5 mmol) and stirred at 78–80 °C for 13 h. 1H NMR spectroscopy identified the formation of three isomeric N-cyclohexylnitrotriazoles 2–4j (conversion degree of the starting cyclohexyl nitrate did not exceed 1%) in the reaction mixture. The reaction mixture was cooled to room temperature and ethanol was removed in vacuo. To the residue was added water (7.5 mL), the whole mixture was heated to 90–95 °C and held for 25 h with stirring. The product was isolated in a manner similar to the previous procedure. The overall yield and the ration of isomers 2–4j are specified in Table 1.
General procedure for quaternization of mixed 2–4a, 2–4b, 2–4c, 2–4d, 2–4e, 2–4f, 2–4g, 2–4h or 2–4j in t-BuOH-HClO4 (synthesis of 1-tert-butyl-3-alkyl-4-nitro-1,2,3-triazolium salts 5a–j).
A solution of the corresponding mixed triazoles 2–4a, 2–4b, 2–4c, 2–4d, 2–4e, 2–4f, 2–4g, 2–4h or 2–4j (20 mmol) and tert-butanol (20 mmol) in conc. HClO4 (72%, 3.8 mL) was stirred for 12 h, and then, water was added (4 mL). The precipitated product was combined by filtration, washed with water, and dried to yield 1-tert-butyl-3-alkyl-4-nitro-1,2,3-triazolium salts 5a–d, 5g, 5j.
Salts 5e,f,h were isolated as follows: after being diluted, the reaction mixture was extracted with CH2Cl2 (20 mL) to recover products 5e,f,h together with unreacted triazoles 2e,f,h and 3e,f,h. The organic layer was concentrated in a rotary evaporator and the residue was treated with Et2O. The precipitated products were combined by filtration and washed with Et2O to furnish salts 5e,f,h.
The yields of salts 5a-j were calculated equivalent to the proportions of N3 isomers 4a–j in mixtures 2–4a, 2–4b, 2–4c, 2–4d, 2–4e, 2–4f, 2–4g, 2–4h, or 2–4j (Table 1, Scheme 1).
Scheme 1.
Regioselective quaternization of N-alkyl-4-nitro-1,2,3-triazoles in t-BuOH-HClO4.
Salts 5a–d and 5j were compatible by the spectral characteristics with the compounds synthesized and characterized previously [36].
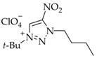
1-Tert-butyl-3-n-butyl-4-nitro-1,2,3-triazolium perchlorate (5e)

White solid. Yield: 84%, 0.33 g. Mp: 164–165 °C (H2O). 1H NMR (400 MHz, DMSO-d6): δ 0.95 (t, 3H, J = 7.4 Hz, C-CH3), 1.37–1.46 (m, 2H, C-CH2), 1.75 (s, 9H, C(CH3)), 1.95–2.02 (m, 2H, C-CH2), 4.93 (t, 2H, J = 7.2 Hz, N-CH2), 10.40 (s, 1H, =C-H) ppm. 13C NMR (100 MHz, DMSO-d6): δ 13.3 (CH3), 18.8 (CH2), 28.2 ((CH3)3), 29.5 (CH2), 55.0 (N-CH2), 68.7 (N-C), 128.6 (=C-H), 145.1 (C-NO2) ppm. FTIR (KBr): 624, 747, 844, 1030, 1092, 1191, 1334, 1366, 1381, 1469, 1546, 1582, 2944, 2977, 3096 cm−1. Elemental analysis: calcd. C 36.76, H 5.86, N 17.15, O 29.38; found C 36.68, H 5.74, N 17.08, O 29.12.
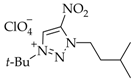
1-Tert-butyl-3-i-amyl-4-nitro-1,2,3-triazolium perchlorate (5f)

White solid. Yield: 82%, 0.34 g. Mp: 152–153 °C (H2O). 1H NMR (400 MHz, DMSO-d6): δ 0.97 (d, 3H, J = 6.6 Hz, C-(CH3)2), 1.67–1.75 (m, 1H, C-CH), 1.75 (s, 9H, C(CH3)), 1.88–1.93 (m, 2H, C-CH2), 4.95 (t, 2H, J = 7.6 Hz, N-CH2), 10.40 (s, 1H, =C-H) ppm. 13C NMR (100 MHz, DMSO-d6): δ 22.4 ((CH3)2), 25.4 (CH), 28.6 ((CH3)3), 31.2 (CH2), 54.2 (N-CH2), 69.2 (N-C), 129.1 (=C-H), 145.5 (C-NO2) ppm. FTIR (KBr): 624, 747, 845, 1093, 1191, 1162, 1380, 1467, 1547, 1584, 2937, 2970, 3103 cm–1. Elemental analysis: calcd. C 38.77, H 6.21, N 16.44, O 28.17; found C 38.70, H 6.14, N 16.38, O 28.14.
1-Tert-butyl-3-benzyl-4-nitro-1,2,3-triazolium perchlorate (5g)

White solid. Yield: 87%, 0.38 g. Mp: 137–139 °C (H2O). 1H NMR (400 MHz, DMSO-d6): δ 1.71 (s, 9H, C(CH3)), 6.17 (s, 2H, N-CH2), 7.43–7.49 (m, 5H, CHarom), 10.43 (s, 1H, =C-H) ppm. 13CNMR (100 MHz, DMSO-d6): δ 28.4 ((CH3)3), 58.3 (N-CH2), 69.3 (N-C), 129.2–129.5 (CHarom), 129.6 (=C-H), 131.0 (Carom), 145.0 (C-NO2) ppm. FTIR (KBr): 626, 693, 717, 830, 855, 1028, 1087, 1190, 1259, 1297, 1342, 1379, 1457, 1544, 1583, 2995, 3100 cm−1. Elemental analysis: calcd. C 43.28, H 4.75, N 15.53, O 26.61; found C 43.12, H 4.68, N 15.48, O 26.57.
1-Tert-butyl-3-ethylhexyl-4-nitro-1,2,3-triazolium perchlorate (5h)

White solid. Yield: 79%. Mp: 149–150 °C (H2O). 1H NMR (400 MHz, DMSO-d6): δ 0.87–0.93 (m, 6H, 2CH3), 1.24–1.41 (m, 8H, CH(CH2)CH2CH2CH2),1.75 (s, 9H, C(CH3)), 2.09–2.15 (m, 1H, CH(CH2)CH2CH2CH2), 4.84 (d, 2H, J = 7.0 Hz, N-CH2), 10.42 (s, 1H, =C-H) ppm. 13C NMR (100 MHz, DMSO-d6): δ 10.4 (CH3), 14.4 (CH3), 22.8 (CH2), 23.1(CH2), 27.9 (CH2), 28.6 ((CH3)3), 29.6 (CH2), 38.1 (CH), 58.3 (N-CH2), 69.2 (N-C), 129.4 (=C-H), 145.6 (C-NO2) ppm. FTIR (KBr): 625, 745, 845, 1095, 1164, 1190, 1379, 1466, 1548, 1587, 2860, 2934, 2961, 3133 cm−1. Elemental analysis: calcd. C 43.92, H 7.11, N 14.63, O 25.07; found C 43.88, H 7.07, N 14.72, O 25.12.
After N3-isomers 4a–j were isolated, the mixtures composed of N1-(2a–j) and N2-substituted derivatives (3a–j) were separated as follows: readily volatile isomers 3 were removed from mixed liquid compounds 2,3b–f, 2,3h, and 2,3j by vacuum distillation and from mixed crystalline compounds 2,3a and 2,3g by extraction with nonpolar solvents. The residue was crystallized to yield individual N1 isomers 2a–j. The compounds N-methyl-(2–4a), N-ethyl-(2–4b), N-n-propyl-(2–4c), N-isopropyl- (2–4d), N-cyclohexylnitrotriazoles (2–4j), 1-n-butyl-4-nitro- (2e), 1-n-butyl-5-nitro-1,2,3-triazole (4e), 1-i-amyl-4-nitrotriazole (2f), and 1-benzyl-4-nitrotriazole (2g) corresponded by spectral characteristics to the compounds synthesized and characterized in the previous studies [20,32,35,38,39,40].
2-n-Butyl-4-nitro-1,2,3-triazole (3e)

Colorless liquid. Yield: 39%, 1.7 g. Bp: 98–99 °C/1–2 mmHg). 1H NMR (400 MHz, DMSO-d6): δ 0.84 (t, 3H, J = 7.4 Hz, C-CH3), 1.22–1.31 (m, 2H, C-CH2), 1.87–1.95 (m, 2H, C-CH2), 4.52 (t, 2H, J = 7.1 Hz, N-CH2), 8.33 (s, 1H, =C-H) ppm. 13C NMR (100 MHz, DMSO-d6): δ 12.7 (CH3), 19.1 (CH2), 30.8 (CH2), 56.0 (N-CH2), 130.5 (=C-H), 152.9 (C-NO2) ppm. FTIR (KBr): 674, 758, 827, 862, 1025, 1103, 1296, 1340, 1444, 1537, 2876, 2962, 3145 cm−1. Elemental analysis: calcd. C 42.35, H 5.92, N 32.92, O 18.80; found C 42.40, H 5.90, N 32.97, O 18.74.
2-i-Amyl-5-nitro-1,2,3-triazole (3f)

Colorless liquid. Yield 39%, 1.8 g. Bp 95–96 °C/1–2 mmHg). 1HNMR (400 MHz, DMSO-d6): δ 0.88 (d, 6H, J = 7.0 Hz, C-(CH3)2), 1.48–1.56 (m, 1H, C-CH), 1.81–1.87 (m, 2H, C-CH2), 4.54 (t, 2H, J = 7.3 Hz, N-CH2), 8.28 (s, 1H, =C-H) ppm. 13C-NMR (100 MHz, DMSO-d6): δ 21.4 ((CH3)2), 25.0 (CH), 37.5 (CH2), 54.6 (N-CH2), 130.3 (=C-H), 152.9 (C-NO2) ppm. FTIR (KBr): 675, 758, 826, 859, 1024, 1110, 1296, 1342, 1446, 1538, 2872, 2960, 3150 cm−1. Elemental analysis: calcd. C 45.64, H 6.57, N 30.42, O 17.37; found C 45.57, H 6.45, N 30.38, O 17.42.
2-Benzyl-4-nitro-1,2,3-triazole (3g)

White solid. Yield: 25%, 1.1 g. Mp: 68–70 °C (EtOH). 1H-NMR (400 MHz, DMSO-d6): δ 5.81 (s, 2H, N-CH2), 7.35–7.40 (m, 5H, CHarom), 8.74 (s, 1H, =C-H) ppm. 13C-NMR (100 MHz, DMSO-d6): δ 59.4 (N-CH2), 128.5–128.8 (CHarom), 131.9 (=C-H), 134.1 (Carom), 153.3 (C-NO2) ppm. FTIR (KBr): 3139, 1952, 1774, 1525, 1442, 1383, 1354, 1325, 1309, 1171, 1074, 1028, 930, 891, 829, 760, 710, 691, 673 cm−1. Elemental analysis: calcd. C 52.94, H 3.95, N 27.44, O 15.67; found C 53.01, H 3.89, N 27.40, O 15.72.
2-Ethylhexyl-4-nitro-1,2,3-triazole (3h)

Colorless liquid. Yield: 33%, 1.8 g. Bp: 119–120 °C/−2 mmHg). 1H NMR (400 MHz, DMSO-d6): δ 0.81–0.87 (m, 6H, 2CH3), 1.22–1.28 (m, 8H, CH(CH2)CH2CH2CH2), 1.99 (m, 1H, CH(CH2)CH2CH2CH2), 4.46 (d, 2H, J = 6.7 Hz, N-CH2), 8.53 (s, 1H, =C-H) ppm. 13C NMR (100 MHz, DMSO-d6): δ 9.8 (CH3), 13.3 (CH3), 22.4 (CH3), 23.2 (CH2), 27.9 (CH2), 29.8 (CH2), 39.6 (CH), 59.1 (N-CH2), 130.4 (=C-H), 152.9 (C-NO2) ppm. FTIR (KBr): 677, 758, 827, 1026, 1180, 1295, 1341, 1385, 1446, 1541, 2931, 2960 cm−1. Elemental analysis: calcd. C 53.08, H 8.02, N 24.76, O 14.14; found C 53.11, H 8.07, N 24.81, O 14.23.
2-Cyclohexyl-4-nitro-1,2,3-triazole (3j)

White solid. Yield 3.5%, 0.15 g. Mp 43–45 °C (EtOH). 1H-NMR (400 MHz, DMSO-d6): δ 1.20–1.31 (m, 1H, 4′-CH2), 1.40–1.50 (m, 2H, 3′,5′-CH2), 1.63–1.67 (m, 1H, 4′-CH2), 1.75–1.85 (m, 4H, 2′,3′,5′,6′-CH2), 2.14–2.17 (m, 2H, 2′,6′-CH2), 4.62–4.70 (m, 1H, N-CH), 8.71 (s, 1H, =C-H) ppm. 13C-NMR (100 MHz, DMSO-d6): δ 24.0 (2CH2), 24.5 (CH2), 31.8 (2CH2), 65.0 (N-CH), 131.0 (=C-H), 152.6 (C-NO2) ppm. FTIR (KBr): 696, 760, 833, 882, 986, 1034, 1351, 1405, 1446, 1482, 1536, 1766, 2854, 2928, 3140 cm−1. Elementary analysis: calcd. C 48.97, H 6.16, N 28.56, O 16.31; found C 48.86, H 6.22, N 28.61, O 16.32.
Complex 6. To a solution (3.12 g, 20.0 mmol) of mixed nitrotriazoles 2–4c (ratio of 2c:3c:4c = 35:56:9) in 96% EtOH (1 mL) was added a solution (0.31 g, 1.8 mmol) of CuCl2·2H2O in EtOH (2 mL). The whole was stirred at room temperature and held for about 1 month to furnish crystals of complex Cu4OCl6L4, where L = 1-n-propyl-5-nitro-1,2,3-triazole 4c.
Green crystals. Yield: 0.09 g (4.4%). 1H NMR (400 MHz, DMSO-d6): δ 0.85 (br s, 3H, N-CH3), 1.85 (br s, 2H, N-CH2), 4.60 (br s, 2H, N-CH2), 8.63 (br s, 1H, C-H) ppm. 13C NMR (100 MHz, DMSO-d6): δ9.4 (N-CH3), 20.8 (N-CH2), 51.4 (N-CH2), 132.1 (C-H), 142.9 (C-NO2) ppm. FTIR (KBr): 697, 745, 802, 835, 877, 997,1098, 1162, 1222, 1294, 1368, 1431, 1464, 1521, 1563, 2879, 2973, 3110, 3156 cm−1.
X-ray Crystallography
Single crystal X-ray diffraction intensity data were collected at 296(2) K using a Bruker APEX-II CCD diffractometer equipped with graphite monochromated MoKα radiation (λ = 0.71073 Å). Data reduction was carried out using the program Bruker SAINT, and an empirical absorption correction was applied with the Bruker SADABS program based on the multi-scan method. The structure of the complex was solved by the direct method (SHELXT-18) and refined by the full-matrix least-square technique (SHELXL-18) with anisotropic thermal parameters. All hydrogen atoms were refined isotropically in riding positions. CCDC 2119451 contains the supplementary crystallographic data of 6. These data can be obtained free of charge from the Cambridge Crystallographic Data Centre.
More information can be found in the Supplementary Materials (Tables S1 and S2).
3. Results and Discussion
The first phase of this study was to explore the alkylation regularities of triazole 1 in basic media. All the three available reaction sites―N1, N2, and N3 heteroatoms―were found to undergo an electrophilic attack, irrespective of the alkylating agent nature (alkyl- or aryl halides, alkyl nitrates, dialkyl sulfates), solvent and base types, and reaction temperature and time. All the cases resulted in high yields of three regioisomeric N-alkylation products 2–4 among which N2-substituted derivatives 3 were mostly prevailing (Table 1).
At the first stage, the equimolar quantity of alkali produced easily a highly nucleophilic anion from NH-triazole 1 that had quite a high acidity (pKa 4.8). The latter underwent an attack by different electrophilic agents to furnish N-substitution products.
The structure of the alkylating reagent determined significantly the reaction conditions and the ratio of alkylation products. The reaction with dialkyl sulfates (DAS) at 78 °C in ethanol or at 84–90 °C in water in excess of triazoles 1 was completed within 5–10 min (Entries 1–4). Prolongation of the reaction involving N-substituted azoles, including N-alkyl-4-nitro-1,2,3-triazoles [20,38], in acidic media or by using activated alkylating reagents may be accompanied by the migration of substituents and interconversion of regioisomers. An increase in time of the reaction between triazole 1 and diethyl sulfate from 5 min to 10–15 h did not considerably alter the composition and ratio of isomers 2–4b (Entries 4–6).
To exclude possible quaternization processes when triazole 1 is reacted with DAS, the alkylating reagent was used in deficiency (0.9 equiv). Since alkyl halides do not engage in the quaternization reaction with N-substituted 4-nitro-1,2,3-triazole, excess alkyl halides (2–3 equiv) were utilized in the alkylation of triazole 1, which is especially important when using lower alkyl halides because of possible reaction losses associated with their low boiling points. When alkyl halides or DAS were employed in ethanol, isomer 3 was prevailing in mixed alkylation products 2–4 in all cases. The proportion of 3 in the mixture was 53–57% (Entries 1, 3, 4, 7–13). The alkylation conditions using water as the polar solvent increased naturally a proportion of the most polar N1-isomer 2, in which case one of regioisomers 2 or 3 (Entries 2, 4–6, 9) was observed to dominate slightly (Entries 2, 4–6, 9).
The content of minor N3-isomer 4 in the mixed alkylation products of triazole 1 and dialkyl sulfates was 11–12% (Entries 1–4) and did not exceed 9% when alkyl halides were used (Entries 7–16). A minimum proportion of isomer 4 (as little as 2%, Entry 15) was documented in the reaction with ethylhexyl nitrate, which is likely due to the steric effects of the ethylhexyl substituent. Unexpectedly, when cyclohexyl nitrate was used, the composition of the isomers changed dramatically, and the proportion of 4 came up to 18% (Entry 16). Moreover, the alkylation reaction between triazoles 1 and cyclohexyl nitrate in basic media considerably diminished the yield of products 2–4j. The yield of the target N-cyclohexylnitrotriazoles 2–4j in water was not above 8%, and when reacted in alcohol, the products were documented only in the 1H NMR spectra. This is attributed to the tendency of cyclohexyl nitrate to undergo a side elimination reaction to form cyclohexene. The latter did not probably participate in the primary reaction; instead, it was consumed during polymerization. As opposed to the conditions considered, unsaturated alicycles have successfully been used to alkylate azoles in acidic media [41,42].
Benzyl chloride used as the activated electrophilic reagent afforded mixed regioisomers containing chiefly N1-substitution product 2h. The proportion of 2h in the mixture reached 64% (Entry 14).
The composition of the alkylation products and the ratio of isomeric N1-, N2- and N3-alkyl-4-nitro-1,2,3-triazoles 2–7a–c were estimated from the integral intensities of characteristic proton signals of the cyclic carbon atom of the H-5 heterocycle in the 1H NMR spectra. For the signal assignment in the 1H NMR spectra, the known regularity for alkyl nitrotriazoles [32,35,38] was employed whereby the H-5 proton signals of the nitro-1,2,3-triazole ring are always arranged in the sequence: δ (H-5 N1-isomer) > δ (H-5 N3-isomer) > δ (H-5 N2-isomer). For example, such signals for compounds 2g (N1-isomer), 3g (N2-isomer), and 4g (N3-isomer) are observed at 9.45, 8.74, and 8.81 ppm, respectively. In addition, the spectrum showed pronounced proton signals from the benzyl substituents: singlets of methyls associated with endocyclic nitrogen atoms were recorded at 5.73, 5.81, and 5.96 ppm for isomers 2g, 3g, and 4g, respectively. The proton signals from the benzyl rings for isomers 2–4g were close and observed near 7.27–7.43 ppm (Figure 2).
Figure 2.
A characteristic 1H NMR spectrum of isomeric N-alkyl-4-nitro-1,2,3-triazoles by the example of triazoles 2–4g.
Regioisomerism exerts a significant impact on the physicochemical and energetic characteristics of N-alkyl(aryl)-4-nitro-1,2,3-triazoles 2a–j, 3a–j, 4a–j (Table 2). It was found that N3-derivatives in the series of regioisomeric N-substituted 4(5)-nitro-1,2,3-triazoles have the highest density and enthalpy of formation, making them a promising scaffold for the construction of high-energy compounds.
Table 2.
Density and enthalpy of formation of regioisomeric N-methyl-4(5)-nitro-1,2,3-triazoles 2–4a.
The basicity of N-alkyl-4-nitro-1,2,3-triazoles as per quantum–chemical predictions is also dependent on the location of the substituent on endocyclic nitrogen atoms in the nitrotriazole ring and increases in the row: N2- <N1- <N3-isomer. The calculated pKBH+ value of 1-methyl-5-nitro-1,2,3-triazole (N3-isomer) is more than 4 log units higher than those of the N1-substituted derivatives [35].
The high basicity of the N3-isomers makes them attractive from the synthetic perspective. The dramatic difference of the N3 isomers from other regioisomers is that they are involved in complexation and quaternization reactions in acidic media. For instance, the use of efficient t-BuOH-HClO4 allows for the selective quaternization of N3-isomers 4a–j. The quaternization of isomers 4a–j proceeded over the N1 atom to furnish 1-(tert-butyl)-3-alkyl-4-nitro-1,2,3-triazolium perchlorates 5a–j in a high yield of 78–87% (Scheme 1). The yield of salts 5a–j was calculated in equivalent to the portion of N3-isomers 4a–j in mixed 2–4a, 2–4b, 2–4c, 2–4d, 2–4e, 2–4f, 2–4g, 2–4h or 2–4j.
Nitrotriazolium salts 5a–d, 5g, 5j (where R = Me, Et, Pr, i-Pr, Bn, cyclohexyl) precipitated as crystals from the reaction mixture. As the length of the substituent (R = Bu, i-amyl, 2-ethylhexyl) increased due to the higher solubility, salts 5e,f,h required other isolation conditions: products 5e, f, and h were extracted with dichloromethane from the water-diluted reaction mixture; the solvent was removed in vacuo; they were treated with diethyl ether, and the precipitated products were combined by filtration to yield salts 5e,f,h individually.
Treatment of mixed N-alkyl nitrotriazoles 2–4c with copper(II) chloride afforded coordination compound 6 in which N3-isomer 4c acted as the monodentant ligand (L) due to the N1 atom being involved in the coordination (Scheme 2). The selective formation of complex isomer 4c was also due to the higher basicity of the N3 derivatives from among their regioisomers 2–4c [35]. The resultant complex 6 was easily decomposed by water to form free ligand 4c.
Scheme 2.
Complexation of triazole 4c.
Thus, the difference in basicity [35] and reactivity during the quaternization [36] and complexation [32,33] processes typical of isomeric alkyl nitrotriazoles was used herein to isolate inaccessible N3-substituted derivatives from the resultant mixed regioisomers 2a–j, 3a–j and 4a–j and use them for the synthesis of high-energy ionic materials and coordination compounds.
After N3 isomers 4a–j were isolated, the mixtures composed of N1-(2a–j) and N2-substituted derivatives (3a–j) were separated as below. Highly volatile isomers 3 were removed from mixed liquid compounds 2, 3b–f, 2, 3h, 2, and 3j by vacuum distillation, and from mixed crystalline compounds 2, 3a, 2, and 3g by extraction with nonpolar solvents. The residue was crystallized to give individual N1-isomers 2a–j.
The structure of complex 6 (CCDC-2119451) [43] was unambiguously validated by single-crystal X-ray diffraction (Figure 3). The copper atoms of tetranuclear copper(II) complex 6 exist in a distorted trigonal-bipyramidal environment, with the N triazole atoms and the central oxygen atom in axial positions. Three chlorine atoms lie in the equatorial plane with the Cu atom deviations by 0.230, 0.186, 0.225, and 0.211 Å directed to the N atom accordingly for Cu1, Cu2, Cu3, and Cu4. The Cu–O, Cu–Cl, and Cu–N lengths range from 1.892(1), 2.3384(6), and 1.972(2) Å to 1.904(1), 2.5233(7), and 1.979(2) Å, respectively. For example, these ranges are close to the analogous ranges for hexakis(µ-chlorido)-(µ-oxido)-tetrakis(1-vinyl-1H-imidazole)-tetra-copper(II) [44] and (µ4-oxo)-hexakis(µ2-chloro)-tetrakis(1-ethyl-5-nitro-1,2,3-tetrazol-3-yl)-tetra-copper(II) [32]. Interestingly, the three propyl groups are oriented in gauche conformation, while the propyl of N19 triazole cycle is in anti-conformation. The shortest intermolecular contact is C-H...O with an H...O distance of 2.50 Å between the propyl and nitro groups leading to the formation of centrosymmetric dimers.
Figure 3.
Structure of complex 6 with displacement ellipsoid at the 30% probability.
4. Conclusions
Synthetic methods for a wide array of N-alkyl(aryl)-4(5)-nitro-1,2,3-triazoles (alkyl = Me, Et, Pr, Pri, Bu, 2-ethylhexyl, cyclohexyl; aryl = Bn), including inaccessible N3-substitution products, have been devised herein. Due to the unique physicochemical characteristics (the highest enthalpies of formation, density, basicity), the inaccessible N3-substitutuion products appeared to be quite attractive as cages for the construction of energetic ionic and coordination compounds. The synthesis involved the N-monoalkylation in basic media, quaternization using the highly efficient t-BuOH–HClO4 system, and complexation with transition metal salts. The methodology for the separation of regioisomeric N-alkyl(aryl)nitrotriazoles by quaternization and complexation reactions warranted the synthesis of a range of new energy-efficient nitrotriazole salts and coordination compounds.
Supplementary Materials
The following are available online at https://www.mdpi.com/article/10.3390/ma15031119/s1: Figures S1–S21: NMR spectra of compounds 2g, 3g, 4g, 3e–3j, 5e–5h; Table S1: Crystal data and structure refinement parameters for complex 6; Table S2: Selected bond distances [Å] for complex 6.
Author Contributions
Conceptualization, G.T.S. and Y.V.F.; methodology, A.G.S., K.K.B. and E.V.P.; formal analysis, G.T.S.; investigation, I.A.K., E.V.P., Y.V.G. and V.I.K.; data curation, G.T.S., V.I.K., Y.V.G. and I.A.K.; writing—original draft preparation, Y.V.F.; writing—review and editing, G.T.S., A.G.S. and K.K.B. All authors have read and agreed to the published version of the manuscript.
Funding
This research was funded by Project No. 0308-2021-0003 “Directed Synthesis and Technological Fundamentals of High-Energy Materials Components” (State Registration of Theme No. 121061500029-7 dated 15 June 2021).
Institutional Review Board Statement
Not applicable.
Informed Consent Statement
Not applicable.
Data Availability Statement
Not applicable.
Acknowledgments
The study was performed using equipment provided by the Biysk Regional Center for Shared Use of Scientific Equipment of the SB RAS (IPCET SB RAS, Biysk). The authors acknowledge the Multi-Access Chemical Service Center of the SB RAS for performing X-ray diffraction and spectral measurements (NIOCh SB RAS, Novosibirsk).
Conflicts of Interest
The authors declare no conflict of interest.
References
- Steppeler, F.; Kłopotowska, D.; Wietrzyk, J.; Wojaczyńska, E. Synthesis and Antiproliferative Activity of Triazoles Based on 2-Azabicycloalkanes. Materials 2021, 14, 2039. [Google Scholar] [CrossRef] [PubMed]
- Bozorov, K.; Zhao, J.; Aisa, H.A. 1,2,3-Triazole-containing hybrids as leads in medicinal chemistry: A recent overview. Bioorg. Medic. Chem. 2019, 27, 3511–3531. [Google Scholar] [CrossRef] [PubMed]
- Agalave, S.G.; Maujan, S.R.; Pore, V.S. Click chemistry: 1,2,3-triazoles as pharmacophores. Chem. Asian J. 2011, 6, 2696–2718. [Google Scholar] [CrossRef] [PubMed]
- Sheng, C.; Zhang, W. New lead structures in antifungal drug discovery. Curr Med. Chem. 2011, 18, 733–766. [Google Scholar] [CrossRef]
- Neu, H.C.; Fu, K.P. Cefatrizine activity compared with that of other cephalosporins. Antimicrob. Agents Chemother. 1979, 15, 209–212. [Google Scholar] [CrossRef] [Green Version]
- Soltis, M.J.; Yeh, H.J.; Cole, K.A.; Whittaker, N.; Wersto, R.P.; Kohn, E.C. Identification and characterization of human metabolites of CAI [5-amino-1-1(4’-chlorobenzoyl-3,5-dichlorobenzyl)-1,2,3-triazole-4-carboxamide). Drug Metab. Dispos. 1996, 24, 799–806. [Google Scholar]
- Higashitani, F.; Hyodo, A.; Ishida, N.; Inoue, M.; Mitsuhashi, S. Inhibition of betalactamases by tazobactam and in-vitro antibacterial activity of tazobactam combined with piperacillin. J. Antimicrob. Chemother. 1990, 25, 567–574. [Google Scholar] [CrossRef]
- Zhang, S.; Xu, Z.; Gao, C. Triazole derivatives and their anti-tubercular activity. Eur. J. Med. Chem. 2017, 138, 501–513. [Google Scholar] [CrossRef]
- Zhang, Y.Q.; Parrish, D.A.; Shreeve, J.M. Derivatives of 5-nitro-1,2,3-2H-triazole—High performance energetic materials. J. Mat. Chem. A. 2013, 1, 585–593. [Google Scholar] [CrossRef]
- Cao, W.; Qin, J.; Zhang, J.; Sinditskii, V.P. 4,5-Dicyano-1,2,3-Triazole—A Promising Precursor for a New Family of Energetic Compounds and Its Nitrogen-Rich Derivatives: Synthesis and Crystal Structures. Molecules 2021, 26, 6735. [Google Scholar] [CrossRef]
- Gu, H.; Xiong, H.; Yang, H.; Cheng, G. Tricyclic nitrogen-rich cation salts based on 1,2,3-triazole: Chemically stable and insensitive candidates for novel gas generant. Chem. Eng. J. 2021, 408, 128021. [Google Scholar] [CrossRef]
- Feng, S.; Yin, P.; He, C.; Pang, S.P.; Shreeve, J.M. Tunable Dimroth rearrangement of versatile 1,2,3-triazoles towards highperformance energetic materials. J. Mat. Chem. A. 2021, 9, 12291–12298. [Google Scholar] [CrossRef]
- Lai, Q.; Fei, T.; Yin, P.; Shreeve, J.M. 1,2,3-Triazole with linear and branched catenated nitrogen chains—The role of regiochemistry in Energetic Materials. Chem. Eng. J. 2020, 410, 128148. [Google Scholar] [CrossRef]
- Yao, W.; Xue, Y.; Qian, L.; Yang, H.; Cheng, G. Combination of 1,2,3-triazole and 1,2,4-triazole frameworks for new high-energy and low-sensitivity compounds. Energ. Mat. Front. 2021, 2, 131–138. [Google Scholar] [CrossRef]
- Cao, Y.; Huang, H.; Pang, A.; Lin, X.; Yang, J.; Gong, X.; Fan, G. Synthesis of a bi-heterocyclic skeleton with high HOF and corresponding energetic salts with high heat of detonation. Chem. Eng. J. 2020, 393, 124683. [Google Scholar] [CrossRef]
- Zhao, X.X.; Li, S.H.; Wang, Y.; Li, Y.C.; Zhao, F.Q.; Pang, S.P. Design and Synthesis of Energetic Materials Towards High Density and Positive Oxygen Balance by N-Dinitromethyl Functionalization of Nirtoazoles. J. Mater. Chem. A. 2016, 4, 5495–5504. [Google Scholar] [CrossRef]
- Zhang, Q.; Shreeve, J.M. Energetic Ion Liquids as Explosives and Propellant Fuels: A New Journey of Liquid Chemistry. Chem. Rev. 2014, 114, 10527–10574. [Google Scholar] [CrossRef] [PubMed]
- Larina, L.; Lopyrev, V. Nitroazoles: Synthesis, Structure and Applications. Topics in Applied Chemistry; Springer Science + Business Media: Dordrecht, The Netherlands, 2009; pp. 1–441. ISBN 978-1-4614-2445-1. [Google Scholar]
- Krivopalov, V.P.; Shkurko, O.P. 1,2,3-Triazole and its derivatives. Development of methods for the formation of the triazole ring. Russ. Chem. Rev. 2005, 74, 339–379. [Google Scholar] [CrossRef]
- Vereshchagin, L.I.; Kuznetsova, N.I.; Kirillova, L.P.; Shcherbakov, V.V.; Sukhanov, G.T.; Gareev, G.A. Reactions of 4-nitro-1,2,3-triazole with alkylating agents and compounds with activated multiple bonds. Chem. Heterocycl. Compd. 1986, 22, 745–748. [Google Scholar] [CrossRef]
- Tsutomu, K.; Motonobu, M.; Nakahara, Y.; Ryoji, K.; Tsuneo, T.; Ryochi, O.; Sakano, K. A radiation sensitizer. EP Patent 0212558A2, 4 March 1987. [Google Scholar]
- Vereschagin, L.I.; Pokatilov, F.A.; Kizhnyaev, V.N. Synthesis and properties of nitro-1,2,3-triazoles (Review). Chem. Heterocycl. Compd. 2008, 44, 1–19. [Google Scholar] [CrossRef]
- Licht, H.H.; Ritter, H.; Bircher, H.R.; Bigler, P. Tautomerism in nitrotriazoles: Structure investigation by combined 1H, 13C and 15N NMR spectroscopy. Magn. Reson. Chem. 1998, 36, 343–350. [Google Scholar] [CrossRef]
- Verkhozina, O.N.; Kizhnyaev, V.N.; Vereshchagin, L.I.; Rokhin, A.V.; Smirnov, A.I. Synthesis of PolynuclearNonfused Azoles. Russ. J. Org. Chem. 2003, 39, 1792–1796. [Google Scholar] [CrossRef]
- Pryde, D.C.; Maw, G.N.; Planken, S.; Platts, M.Y.; Sanderson, V.; Corless, M.; Stobie, A.; Barber, C.G.; Russell, R.; Foster, L.; et al. Novel Selective Inhibitors of Neutral Endopeptidase for the Treatment of Female Sexual Arousal Disorder. Synthesis and Activity of Functionalized Glutaramides. J. Med. Chem. 2006, 49, 4409–4424. [Google Scholar] [CrossRef] [PubMed]
- Shangbiao, F.; Fengsheng, L.; Xinyuan, Z.; Yadong, Q.; Teng, F.; Ping, Y.; Siping, P. Comparative study on 1,2,3-triazole based azo- and triazene-bridged high-nitrogen energetic materials. Energetic Mater. Front. 2021, 2, 125–130. [Google Scholar] [CrossRef]
- Licht, H.H.; Ritter, H. Synthesis and explosive properties of dinitrobitriazole. Propellants Explos. Pyrotech. 1997, 22, 333–336. [Google Scholar] [CrossRef]
- Hirai, R.; Watanabe, T.; Ono, T. Design of Clickable Ionic Liquid Monomers to Enhance Ionic Conductivity for Main-Chain 1,2,3-Triazolium-Based Poly(Ionic Liquid)s. ACS Omega 2021, 6, 10030–10038. [Google Scholar] [CrossRef]
- González-Perdomo, P.; González, J.; Martínez-Otero, D.; Unnamatla, B.; García-Eleno, M.A.; Corona-Becerril, D.; Cuevas-Yañez, E. Synthesis of 3-alkyl-1,2,3-triazol-1-ium hydrogen sulphate derivatives. J. Chem Res. 2021, 45, 322–325. [Google Scholar] [CrossRef]
- Yacob, Z.; Liebscher, J. Chemistry of 1,2,3-Triazolium Salts. In Chemistry of 1,2,3-triazoles. Topics in Heterocyclic Chemistry; Dehaen, W., Bakulev, V., Eds.; Springer: Berlin/Heidelberg, Germany, 2014; Volume 40, pp. 1–384. [Google Scholar] [CrossRef]
- Kizhnyaev, V.N.; Golobokova, T.V.; Pokatilov, F.A.; Vereshchagin, L.I.; Estrin, Y.I. Synthesis of energetic triazole- and tetrazole-containing oligomers and polymers. Chem. Heterocycl. Compd. 2017, 53, 682–692. [Google Scholar] [CrossRef]
- Voitekhovich, S.V.; Gaponik, P.N.; Lyakhov, A.S.; Filipova, J.V.; Sukhanova, A.G.; Sukhanov, G.T.; Ivashkevich, O.A. N-Alkylation of 4-nitro-1,2,3-triazole revisited. Detection and characterization of the N3-ethylation product, 1-ethyl-5-nitro-1,2,3-triazole. Tetrahedron Lett. 2009, 50, 2577–2579. [Google Scholar] [CrossRef]
- Voitekhovich, S.V.; Filippova, J.V.; Sukhanova, A.G.; Lyakhov, A.S.; Ivashkevich, L.S.; Sukhanov, G.T.; Grigoriev, Y.V. Selective complexation of 1-ethyl-5-nitro-1,2,3-triazole (entz) with copper(II) salts: Preparation and characterization of [Cu(entz)2Cl2] and [Cu(entz)4(H2O)2](ClO4)2. Inorg. Chem. Comm. 2012, 24, 77–80. [Google Scholar] [CrossRef]
- Matulis, V.E.; Ivashkevich, O.A.; Gaponik, P.N.; Elkind, P.D.; Sukhanov, G.T.; Bazyleva, A.B.; Zaitsau, D.H. Theoretical study of gas-phase formation enthalpies and isomerism for 4(5)-nitro-1,2,3-triazole and its N-alkyl derivatives and experimental determination of formation enthalpy for 2-methyl-4-nitro-1,2,3-triazole. J. Mol. Struct. 2008, 854, 18–25. [Google Scholar] [CrossRef]
- Ivashkevich, O.A.; Matulis, V.E.; Gaponik, P.N.; Sukhanov, G.T.; Filippova, J.V.; Sukhanova, A.G. Quantum-chemical investigation of certain physicochemical properties of C-nitro-1,2,3-triazole and N-alkyl-4(5)-nitro-1,2,3-triazoles. Chem. Heterocycl. Compd. 2008, 44, 1472–1482. [Google Scholar] [CrossRef]
- Sukhanov, G.T.; Sakovich, G.V.; Filippova, Y.V.; Bagryanskaya, I.Y.; Sukhanova, A.G. Regioselective quaternization of N-alkyl-4-nitro-1,2,3-triazoles in ButOH–HClO4 system. Mendeleev. Commun. 2014, 24, 280–282. [Google Scholar] [CrossRef]
- Baryshnikov, A.T.; Erashko, V.I.; Zubanova, N.I.; Ugrak, B.I.; Shevelev, S.A.; Fainzil’berg, A.A.; Laikhter, A.L.; Mel’nikova, L.G.; Semenov, V.V. Gem-dinitro compounds in organic synthesis. 3. Syntheses of 4-nitro-1,2,3-triazoles from gem-dinitro compounds. Russ. Chem. Bull. 1992, 41, 751–757. [Google Scholar] [CrossRef]
- Sakovich, G.V.; Sukhanov, G.T.; Filippova, Y.V.; Sukhanova, A.G.; Bosov, K.K. Alkylation of 4(5)-nitro-1,2,3-triazole with alcohols in strongly acidic media. Russ. Chem. Bull. Int. Ed. 2013, 62, 111–116. [Google Scholar] [CrossRef]
- Filippova, Y.V.; Sukhanova, A.G.; Voitekhovich, S.V.; Matulis, V.E.; Sukhanov, G.T.; Grigoriev, Y.V.; Ivashkevich, O.A. Acid Catalyzed tert-Butylation and Tritylation of 4-Nitro-1,2,3-triazole: Selective Synthesis of 1-Methyl-5-nitro-1,2,3-triazole via 1-tert-Butyl-4-nitro-1,2,3-triazole. J. Heterocycl. Chem. 2012, 49, 965–968. [Google Scholar] [CrossRef]
- Sukhanov, G.T.; Filippova, Y.V.; Gatilov, Y.V.; Sukhanova, A.G.; Bosov, K.K.; Krupnova, I.A.; Pivovarova, E.V. Acidic N-dealkylation in nitrotriazolium salts. Mendeleev Commun. 2022, 1, in press. [Google Scholar]
- Grigoriev, Y.V.; Voitekhovich, S.V.; Ivashkevich, O.A. Alkylation of 3-nitro-1,2,4-triazole with allyl bromide and cyclohexa-1,3-diene in acid medium. Russ. J. Org. Chem. 2012, 48, 610–612. [Google Scholar] [CrossRef]
- Gaponik, P.N.; Voitekhovich, S.V.; Klyaus, B.G. Formation of 2-(2-Cyclohexenyl)-5-R-tetrazoles in Acid-Catalyzed Alkylation of 5-Substituted Tetrazoles with 1,3-Cyclohexadiene. Russ. J. Org. Chem. 2004, 40, 598–600. [Google Scholar] [CrossRef]
- CCDC-2119451 Contains the Supplementary Crystallographic Data of 6 for This Paper. These Data Can be Obtained Free of Charge from The Cambridge Crystallographic Data Centre. Available online: www.ccdc.cam.ac.uk/data_request/cif (accessed on 1 November 2021).
- Li, T.; Xing, Z. Crystal structure of hexa-μ2-chlorido-μ4-oxido-tetrakis(1-vinyl-1H-imidazole-κN)tetracopper(II), C20H24Cu4Cl6N8O. Z.Kristallogr. New Cryst.Struct. 2019, 234, 363–365. [Google Scholar] [CrossRef]
Publisher’s Note: MDPI stays neutral with regard to jurisdictional claims in published maps and institutional affiliations. |
© 2022 by the authors. Licensee MDPI, Basel, Switzerland. This article is an open access article distributed under the terms and conditions of the Creative Commons Attribution (CC BY) license (https://creativecommons.org/licenses/by/4.0/).
