Effect of Doping on the Electronic Structure of the Earth’s Lower Mantle Compounds: FeXO3 with X = C, Al, Si
Abstract
:1. Introduction
2. Materials and Methods
3. Results
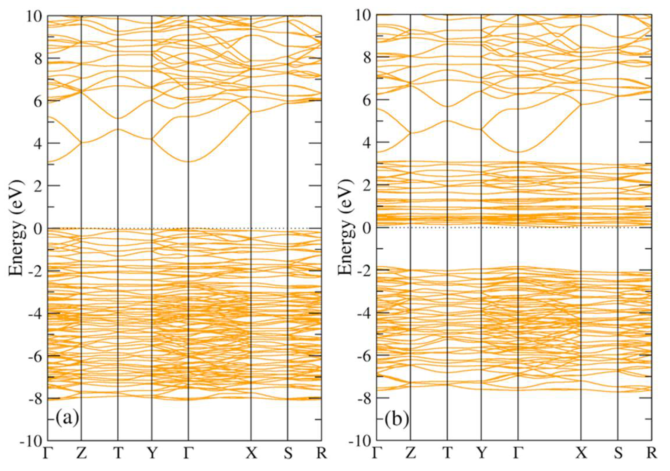
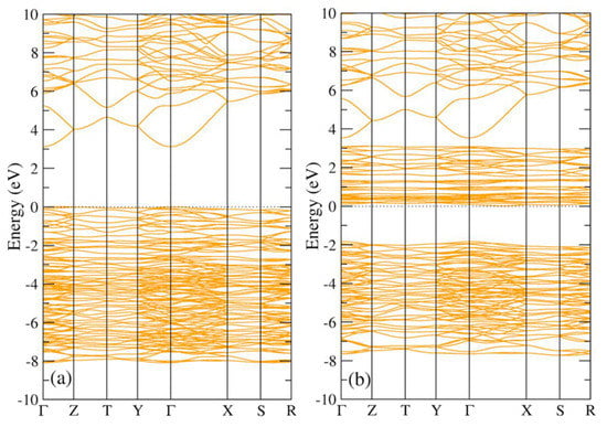
3.1. Doped FeCO3
3.2. Doped FeAlO3
3.3. Doped FeSiO3
4. Discussion
5. Conclusions
Author Contributions
Funding
Institutional Review Board Statement
Informed Consent Statement
Data Availability Statement
Acknowledgments
Conflicts of Interest
Appendix A



References
- Lin, J.-F.; Wheat, A. Electronic spin transition of iron in the Earth’s lower mantle. Hyperfine Interact. 2012, 207, 81–88. [Google Scholar] [CrossRef]
- Mao, Z.; Wang, F.; Lin, J.-F.; Fu, S.; Yang, J.; Wu, X.; Okuchi, T.; Tomioka, N.; Prakapenka, V.B.; Xiao, Y.; et al. Equation of state and hyperfine parameters of high-spin bridgmanite in the Earth’s lower mantle by synchrotron X-ray diffraction and Mössbauer spectroscopy. Am. Mineral. 2017, 102, 357–368. [Google Scholar] [CrossRef]
- Jeanloz, R.; Thompson, A.B. Phase transitions and mantle discontinuities. Rev. Geophys. 1983, 21, 51–74. [Google Scholar] [CrossRef]
- Stackhouse, S.; Brodholt, J.P.; Price, G.D. Electronic spin transitions in iron-bearing MgSiO3 perovskite. Earth Planet. Sci. Lett. 2007, 253, 282–290. [Google Scholar] [CrossRef]
- Cohen, R.E.; Mazin, I.I.; Isaak, D.G. Magnetic Collapse in Transition Metal Oxides at High Pressure: Implications for the Earth. Science 1997, 275, 654–657. [Google Scholar] [CrossRef] [PubMed] [Green Version]
- Cohen, R.E.; Lin, Y. Prediction of a potential high-pressure structure of FeSiO3. Phys. Rev. B 2014, 90, 140102. [Google Scholar] [CrossRef] [Green Version]
- Dyachenko, A.A.; Shorikov, A.O.; Lukoyanov, A.V.; Anisimov, V.I. Two successive spin transitions in a wide range of pressure and coexistence of high- and low-spin states in clinoferrosilite FeSiO3. Phys. Rev. B 2016, 93, 245121. [Google Scholar] [CrossRef]
- Chernov, E.D.; Lukoyanov, A.V.; Anisimov, V.I. Effect of electronic correlations on the electronic structures of the FeAlO3 and FeSiO3 compounds. J. Exp. Theor. Phys. 2021, 132, 548–555. [Google Scholar] [CrossRef]
- Ohta, K.; Yagi, T.; Taketoshi, N.; Hirose, K.; Komabayashi, T.; Baba, T.; Ohishi, Y.; Hernlund, J. Lattice thermal conductivity of MgSiO3 perovskite and post-perovskite at the core-mantle boundary. Earth Planet. Sci. Lett. 2012, 349, 109–115. [Google Scholar] [CrossRef]
- Ozawa, H.; Hirose, K.; Ohta, K.; Ishii, H.; Hiraoka, N.; Ohishi, Y.; Seto, Y. Spin crossover, structural change, and metallization in NiAs-type FeO at high pressure. Phys. Rev. B 2011, 84, 134417. [Google Scholar] [CrossRef] [Green Version]
- Hamada, M.; Kamada, S.; Ohtani, E.; Sakamaki, T.; Mitsui, T.; Masuda, R.; Hirao, N.; Ohishi, Y.; Akasaka, M. Mössbauer spectroscopic and x-ray diffraction study of ferropericlase in the high-pressure range of the lower mantle region. Phys. Rev. B 2021, 103, 174108. [Google Scholar] [CrossRef]
- Tang, R.; Chen, J.; Zeng, Q.; Li, Y.; Liang, X.; Yang, B.; Wang, Y. Study on the high-pressure behavior of goethite up to 32 GPa using X-ray diffraction, Raman, and electrical impedance spectroscopy. Minerals 2020, 10, 99. [Google Scholar] [CrossRef] [Green Version]
- Townsend, J.P.; Flores, S.D.P.; Clay, R.C., III; Mattsson, T.R.; Neuscamman, E.; Zhao, L.; Cohen, R.E.; Shulenburger, L. Starting-point-independent quantum Monte Carlo calculations of iron oxide. Phys. Rev. B 2020, 102, 155151. [Google Scholar] [CrossRef]
- Di Sabatino, S.; Koskelo, J.; Berger, J.A.; Romaniello, P. Photoemission spectrum in paramagnetic FeO under pressure: Towards an ab initio description. Phys. Rev. Res. 2021, 3, 013172. [Google Scholar] [CrossRef]
- Ohta, K.; Fujino, K.; Kuwayama, Y.; Kondo, T.; Shimizu, K.; Ohishi, Y. Highly conductive iron-rich (Mg,Fe)O magnesiowüstite and its stability in the Earth’s lower mantle. J. Geophys. Res. Solid Earth 2014, 119, 4656–4665. [Google Scholar] [CrossRef] [Green Version]
- Lin, J.-F.; Weir, S.T.; Jackson, D.D.; Evans, W.J.; Vohra, Y.K.; Qiu, W.; Yoo, C.-S. Electrical conductivity of the lower-mantle ferropericlase across the electronic spin transition. Geophys. Res. Lett. 2007, 34, 16. [Google Scholar] [CrossRef] [Green Version]
- Lyubutin, I.S.; Struzhkin, V.V.; Mironovich, A.A.; Gavriliuk, A.G.; Naumov, P.G.; Lin, J.-F.; Ovchinnikov, S.G.; Sinogeikin, S.; Chow, P.; Xiao, Y.; et al. Quantum critical point and spin fluctuations in lower-mantle ferropericlase. Proc. Natl. Acad. Sci. USA 2013, 110, 7142–7147. [Google Scholar] [CrossRef] [Green Version]
- Persson, K.; Bengtson, A.; Ceder, G.; Morgan, D. Ab initio study of the composition dependence of the pressure-induced spin transition in the (Mgx−1,Fex)O system. Geophys. Res. Lett. 2006, 33, 16. [Google Scholar] [CrossRef] [Green Version]
- Jackson, J.M.; Zhang, J.Z.; Shu, J.F.; Sinogeikin, S.V.; Bass, J.D. High-pressure sound velocities and elasticity of aluminous MgSiO3 perovskite to 45 GPa: Implications for lateral heterogeneity in Earth’s lower mantle. Geophys. Res. Lett. 2005, 32, L21305. [Google Scholar] [CrossRef] [Green Version]
- Caracas, R. Spin and structural transitions in AlFeO3 and FeAlO3 perovskite and post-perovskite. Phys. Earth Planet. Inter. 2010, 182, 10–17. [Google Scholar] [CrossRef]
- Bouree, F.; Baudour, J.L.; Elbadraoui, E.; Musso, J.; Laurent, C.; Rousset, A. Crystal and magnetic structure of piezoelectric, ferrimagnetic and magnetoelectric aluminium iron oxide FeAlO3 from neutron powder diffraction. Acta. Crystallogr. B. Struct. 1996, 52, 217–222. [Google Scholar] [CrossRef]
- Priyanga, G.S.; Thomas, T. Direct band gap narrowing and light-harvesting-potential in orthorhombic In-doped-AlFeO3 perovskite: A first principles study. J. Alloys Compd. 2018, 312–319. [Google Scholar] [CrossRef]
- Cerantola, V.; McCammon, C.; Kupenko, I.; Kantor, I.; Marini, C.; Wilke, M.; Ismailova, L.; Solopova, N.; Chumakov, A.; Pascarelli, S.; et al. High-pressure spectroscopic study of siderite (FeCO3) with a focus on spin crossover. Am. Mineral. 2015, 100, 2670–2681. [Google Scholar] [CrossRef]
- Nagai, T.; Ishido, T.; Seto, Y.; Nishio-Hamane, D.; Sata, N.; Fujino, K. Pressure-induced spin transition in FeCO3-siderite studied by X-ray diffraction measurements. J. Phys. Conf. Ser. 2010, 215, 012002. [Google Scholar] [CrossRef]
- Shi, H.; Luo, W.; Johansson, B.; Ahuja, R. First-principles calculations of the electronic structure and pressure-induced magnetic transition in siderite FeCO3. Phys. Rev. B 2008, 78, 155119. [Google Scholar] [CrossRef]
- Ming, X.; Wang, X.-L.; Du, F.; Yin, J.-W.; Wang, C.-Z.; Chen, G. First-principles study of pressure-induced magnetic transition in siderite FeCO3. J. Alloys Compd. 2012, 510, L1–L4. [Google Scholar] [CrossRef]
- Llorens, I.A.; Deniard, P.; Gautron, E.; Olicard, A.; Fattahi, M.; Jobic, S.; Grambow, B. Structural investigation of coprecipitation of technetium-99 with iron phases. Radiochim. Acta 2008, 96, 9. [Google Scholar] [CrossRef]
- Momma, K.; Izumi, F. VESTA 3 for three-dimensional visualization of crystal, volumetric and morphology data. J. Appl. Crystallogr. 2011, 44, 1272–1276. [Google Scholar] [CrossRef]
- Jones, D.A.H.; Woodland, A.B.; Angel, R.J. The Structure of High-Pressure C2/c Ferrosilite and Crystal Chemistry of High-Pressure C2/c Pyroxenes. Am. Miner. 1994, 79, 1032–1041. Available online: http://www.minsocam.org/ammin/AM79/AM79_1032.pdf (accessed on 27 January 2022).
- Giannozzi, P.; Andreussi, O.; Brumme, T.; Bunau, O.; Buongiorno Nardelli, M.; Calandra, M.; Car, R.; Cavazzoni, C.; Ceresoli, D.; Cococcioni, M.; et al. Advanced capabilities for materials modelling with Quantum ESPRESSO. J. Phys. Condens. Matter 2017, 29, 465901. [Google Scholar] [CrossRef] [Green Version]
- Giannozzi, P.; Baroni, S.; Bonini, N.; Calandra, M.; Car, R.; Cavazzoni, C.; Ceresoli, D.; Chiarotti, G.L.; Cococcioni, M.; Dabo, I.; et al. Quantum ESPRESSO: A modular and open-source software project for Quantum simulations of materials. J. Phys. Condens. Matter 2009, 21, 395502. [Google Scholar] [CrossRef] [PubMed]
- Perdew, J.P.; Burke, J.P.; Ernzerhof, M. Generalized gradient approximation made simple. Phys. Rev. Lett. 1996, 77, 3865–3868. [Google Scholar] [CrossRef] [PubMed] [Green Version]
- Available online: https://www.quantum-espresso.org/pseudopotentials (accessed on 27 January 2022).
- Badaut, V.; Zeller, P.; Dorado, B.; Schlegel, M.L. Influence of exchange correlation on the symmetry and properties of siderite according to density-functional theory. Phys. Rev. B 2010, 82, 205121. [Google Scholar] [CrossRef]
- Ribeiro, R.A.P.; de Lázaro, S.R. Structural, electronic and elastic properties of FeBO3 (B = Ti, Sn, Si, Zr) ilmenite: A density functional theory study. RSC Adv. 2014, 4, 59839–59846. [Google Scholar] [CrossRef]
- Borlido, P.; Aull, T.; Huran, A.W.; Tran, F.; Marques, M.A.L.; Botti, S. Large-scale benchmark of exchange−correlation functionals for the determination of electronic band gaps of solids. J. Chem. Theory Comput. 2019, 15, 5069–5079. [Google Scholar] [CrossRef] [PubMed] [Green Version]
- Morales-García, Á.; Valero, R.; Illas, F. An empirical, yet practical way to predict the band gap in solids by using Density Functional band structure calculations. J. Phys. Chem. C 2017, 121, 18862–18866. [Google Scholar] [CrossRef] [Green Version]
- Lejaeghere, K.; Bihlmayer, G.; Björkman, T.; Blaha, P.; Blügel, S.; Blum, V.; Caliste, D.; Castelli, I.E.; Clark, S.J.; Dal Corso, A.; et al. Reproducibility in density functional theory calculations of solids. Science 2016, 351, aad3000. [Google Scholar] [CrossRef] [Green Version]
- Kauwe, S.K.; Welker, T.; Sparks, T.D. Extracting knowledge from DFT: Experimental band gap predictions through ensemble learning. Integr. Mater. Manuf. Innov. 2020, 9, 213–220. [Google Scholar] [CrossRef]
- Anisimov, V.I.; Lukoyanov, A.V.; Skornyakov, S.L. Electronic structure and magnetic properties of strongly correlated transition metal compounds. Phys. Met. Metallogr. 2018, 119, 1254–1258. [Google Scholar] [CrossRef]
- Perdew, J.P.; Yang, W.; Burke, K.; Yang, Z.; Gross, E.K.U.; Scheffler, M.; Scuseria, G.E.; Henderson, T.M.; Zhang, I.Y.; Ruzsinszky, A.; et al. Understanding band gaps of solids in generalized Kohn–Sham theory. Proc. Natl. Acad. Sci. USA 2017, 114, 2801–2806. [Google Scholar] [CrossRef] [Green Version]
- Yang, Z.; Peng, H.; Sun, J.; Perdew, J.P. More realistic band gaps from meta-generalized gradient approximations: Only in a generalized Kohn-Sham scheme. Phys. Rev. B 2016, 93, 205205. [Google Scholar] [CrossRef] [Green Version]
- Anisimov, V.I.; Lukoyanov, A.V. Investigation of real materials with strong electronic correlations by the LDA+DMFT method. Acta Crystallogr. C 2014, 70, 137–159. [Google Scholar] [CrossRef] [PubMed]
- Kirchner-Hall, N.E.; Zhao, W.; Xiong, Y.; Timrov, I.; Dabo, I. Extensive Benchmarking of DFT+U Calculations for Predicting Band Gaps. Appl. Sci. 2021, 11, 2395. [Google Scholar] [CrossRef]
- Rasmussen, A.; Deilmann, T.; Thygesen, K.S. Towards fully automated GW band structure calculations: What we can learn from 60.000 self-energy evaluations. Npj Comput. Mater. 2021, 7, 22. [Google Scholar] [CrossRef]
- Marques, M.A.L.; Vidal, J.; Oliveira, M.J.T.; Reining, L.; Botti, S. Density-based mixing parameter for hybrid functionals. Phys. Rev. B 2011, 83, 035119. [Google Scholar] [CrossRef] [Green Version]
- Golosova, N.O.; Kozlenko, D.P.; Dubrovinsky, L.S.; Cerantola, V.; Bykov, M.; Bykova, E.; Kichanov, S.E.; Lukin, E.V.; Savenko, B.N.; Ponomareva, A.V.; et al. Magnetic and structural properties of FeCO3 at high pressures. Phys. Rev. B 2017, 96, 134405. [Google Scholar] [CrossRef] [Green Version]
- Eeckhout, S.G.; de Grave, E.; Lougear, A.; Gerdan, M.; McCammon, C.A.; Trautwein, A.X.; Vochten, R. Magnetic properties of synthetic P21/c (Mg-Fe)SiO3 clinopyroxenes as observed from their low-temperature Mössbauer spectra and from SQUID magnetization measurements. Am. Miner. 2001, 86, 957–964. [Google Scholar] [CrossRef]








| Ions | FeCO3, μB | FeAlO3, μB | FeSiO3, μB |
|---|---|---|---|
| Fe1 | 3.64 | 3.64 | 3.97 |
| Fe2 | 3.64 | 3.58 | 3.98 |
| X | 0.015 | 0.014–0.016 | 0.014–0.016 |
| O | 0.11 | 0.02–0.18 | 0.12–0.64 |
| Ions | Fe2C2O6 | Fe2CSiO6 | Fe2CAlO6 |
|---|---|---|---|
| Fe | 3.64 | 3.65 | 3.89 |
| C | 0.015 | 0.010 | 0.030 |
| X | 0.015 | 0.009 | 0.0026 |
| O | 0.11 | 0.10–0.11 | 0.13–0.26 |
| Fe8Al8−nXnO24 | n = 0 | n = 1 | n = 2 | n = 3 | n = 4 |
|---|---|---|---|---|---|
| X = C | 3.98 ± 0.01 | 3.92 ± 0.06 | 3.87 ± 0.10 | 3.82 ± 0.13 | 3.77 ± 0.13 |
| X = Si | 3.98 ± 0.01 | 3.95 ± 0.04 | 3.90 ± 0.07 | 3.84 ± 0.09 | 3.78 ± 0.09 |
| Fe8Si8−nXnO24 | n = 0 | n = 1 | n = 2 | n = 3 | n = 4 |
|---|---|---|---|---|---|
| X = C | 3.63 ± 0.04 | 3.65 ± 0.10 | 3.69 ± 0.09 | 3.72 ± 0.07 | 3.71 ± 0.07 |
| X = Si | 3.63 ± 0.04 | 3.62 ± 0.10 | 3.67 ± 0.10 | 3.72 ± 0.11 | 3.78 ± 0.09 |
| Compound | This Work | Previous Calculations | Experiment |
|---|---|---|---|
| FeCO3 | 3.64 | 3.71 [47] | 3.61 [47] |
| FeAlO3 | 3.97 | 3.69 [20] | 3.4 ± 0.3 [21] |
| FeSiO3 | 3.67 | 3.8 ± 0.1 [7] | 4.0 ± 0.1 [48] |
Publisher’s Note: MDPI stays neutral with regard to jurisdictional claims in published maps and institutional affiliations. |
© 2022 by the authors. Licensee MDPI, Basel, Switzerland. This article is an open access article distributed under the terms and conditions of the Creative Commons Attribution (CC BY) license (https://creativecommons.org/licenses/by/4.0/).
Share and Cite
Chernov, E.D.; Dyachenko, A.A.; Lukoyanov, A.V. Effect of Doping on the Electronic Structure of the Earth’s Lower Mantle Compounds: FeXO3 with X = C, Al, Si. Materials 2022, 15, 1080. https://doi.org/10.3390/ma15031080
Chernov ED, Dyachenko AA, Lukoyanov AV. Effect of Doping on the Electronic Structure of the Earth’s Lower Mantle Compounds: FeXO3 with X = C, Al, Si. Materials. 2022; 15(3):1080. https://doi.org/10.3390/ma15031080
Chicago/Turabian StyleChernov, Evgeniy D., Alexey A. Dyachenko, and Alexey V. Lukoyanov. 2022. "Effect of Doping on the Electronic Structure of the Earth’s Lower Mantle Compounds: FeXO3 with X = C, Al, Si" Materials 15, no. 3: 1080. https://doi.org/10.3390/ma15031080
APA StyleChernov, E. D., Dyachenko, A. A., & Lukoyanov, A. V. (2022). Effect of Doping on the Electronic Structure of the Earth’s Lower Mantle Compounds: FeXO3 with X = C, Al, Si. Materials, 15(3), 1080. https://doi.org/10.3390/ma15031080

