Study on Bond Performance between Corroded Deformed Steel Bar and DS-ECC
Abstract
1. Introduction
2. Materials and Methods
2.1. Test Materials and Their Mechanical Properties
2.2. Specimen Design
2.3. Determination of Corrosion and Corrosion Rate of Steel Bars
2.3.1. Electrochemical Corrosion
2.3.2. Determination of Steel Bars Corrosion Rate
2.3.3. Steel Bars De-Rusting
2.4. Specimen Preparation and Maintenance
2.5. Loading Device and Loading System
3. Results and Discussion
3.1. Specimen Failure Mode
3.2. Bond Stress–Slip Curve Analysis
- (1)
- Micro-slip stage (OA, OE): the chemical bonding force between the steel bars and DS-ECC gradually decreases, the steel bars start to slip, and the bond–slip curve shows a linear increasing trend with the increase of the slip in the steel bars. The curve T rises to point A and the curve RT rises to point E.
- (2)
- Slip stage (AB): With the increase in stress, the DS-ECC matrix produces radial cracks along the direction of steel bars’ distribution, at which time the bridging effect of fibers starts to consume energy to retard the development of cracks. With continued loading, the steel bars and DS-ECC bond interface are extruded and sheared, the bond stress reaches the peak stress and the slip phase ends. The effective height of the cross-rib of the de-rusted steel bars is reduced, which leads to a reduction in the bond area between DS-ECC and steel bars and reduces the fiber-bridging effect, so the curve RT has no slip phase.
- (3)
- Failure stage (BC, EF): The bond stress is mainly provided by the mechanical bite force and friction force of the inter-rib DS-ECC and matrix DS-ECC, and the bond stress gradually decreases with the increase in the slip value of the steel bar. As the bond interface between the steel bars and DS-ECC is gradually smoothed, the mechanical biting force of the DS-ECC matrix and the DS-ECC matrix between the ribs of the steel bars decreases, and the decreasing range of bond stress slows down.
- (4)
- Residual stage (CD, FG): The pull-out interface between the steel bars and the substrate tends to level off, the mechanical bite between the DS-ECC and DS-ECC substrate between the cross ribs of the steel bars is consumed and the residual bond stress changes less, at which time the bond stress mainly depends on the sliding friction between the steel bars and DS-ECC.
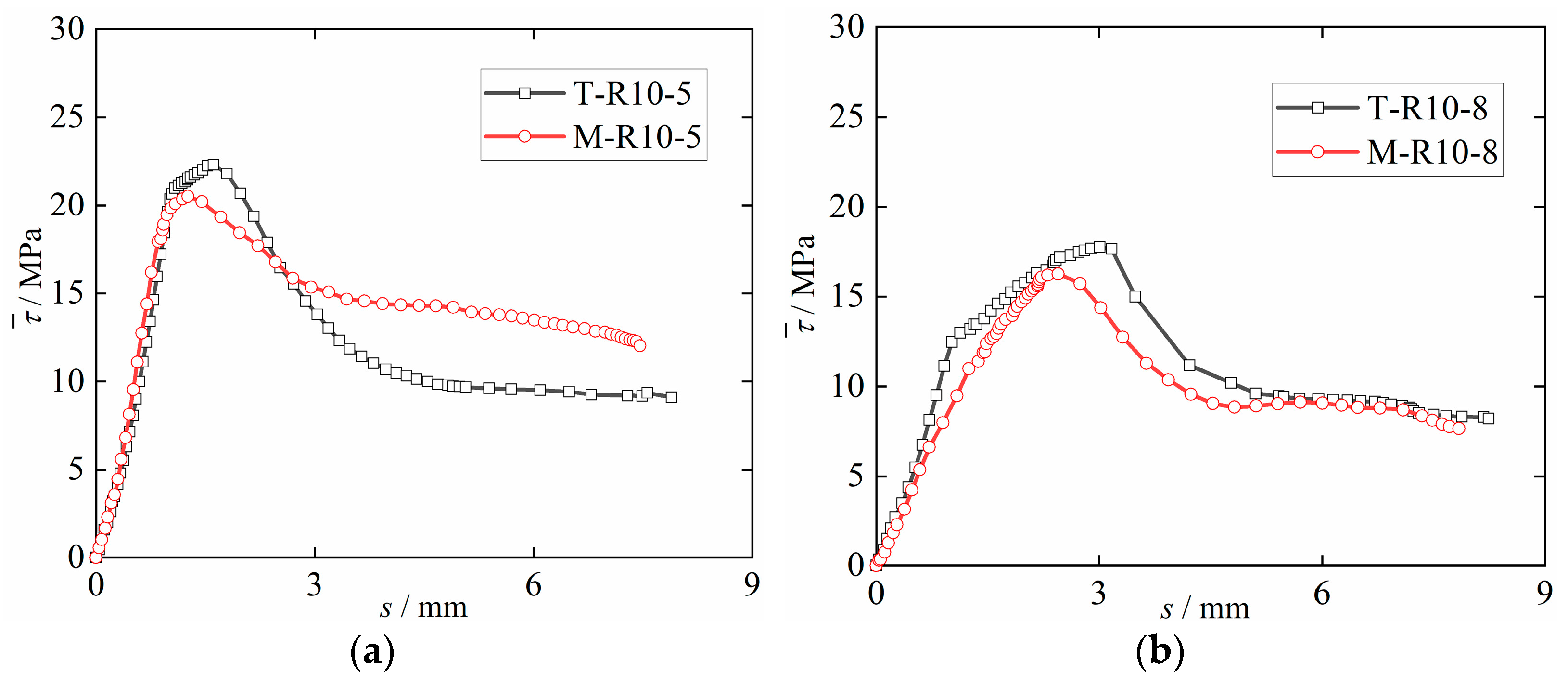
3.3. Effect of Desert Sand Type on Bonding Performance
3.4. Effect of Corrosion Rate of Steel Bars on Bonding Performance
3.5. The Effect of De-Rust on Bonding Performance
3.6. Bond Toughness Index
3.7. Bond–Slip Curve Fitting
4. Conclusions
- (1)
- The bond–slip curve of DS-ECC and corrosion steel bars can be divided into the micro-slip stage, slip stage, failure stage and residual stage, the bond–slip curve of DS-ECC and de-rusted steel bars can be divided into the micro-slip stage, failure stage and residual stage and the failure types of the specimen are all splitting and pulling-out failure.
- (2)
- Tengger DS-ECC and Mu Us DS-ECC have good bond properties with corrosion steel bars. With the increase in the steel bar corrosion rate, the bond strength of the Tengger Desert sand ECC and the corrosion steel bars first increases and then decreases, and the ultimate bond strength is the highest when the corrosion rate is 5%. The bond strength between the de-rusted steel bars and ECC of Tengger Desert sand decreases with the increase in the steel bars’ corrosion rate.
- (3)
- When the corrosion rate of the steel bars is 10%, the bond toughness indexes and are positively correlated with the anchorage length of steel bars. When the anchorage length is 5d, the bond toughness indexes and are negatively correlated with the corrosion rate of the bars, indicating that with the increase in the steel bar corrosion rate, the effect of fiber toughening and crack resistance is less obvious, and the ductility of the bonding properties of the specimen after peak loading worsens.
- (4)
- The bond–slip mathematical relationship between corroded steel bars and de-rusted steel bars and DS-ECC is established. The bond–slip curve obtained from the test is in good agreement with the fitting curve. The bond–slip mathematical relationship can provide some theoretical basis for studying the bond performance between corroded and de-rusted steel bars and DS-ECC.
Author Contributions
Funding
Institutional Review Board Statement
Informed Consent Statement
Data Availability Statement
Conflicts of Interest
References
- Yuan, F.; Chen, M.C.; Yang, C. Behaviors of steel-reinforced ECC columns under eccentric compression. Constr. Build. Mater. 2018, 185, 402–413. [Google Scholar] [CrossRef]
- Yuan, F.; Pan, J.L.; Leung, C.K.Y. Elastoplastic time history analysis of reinforced engineered cementitious composite or engineered cementitious composite-concrete composite frame under earthquake action. Adv. Struct. Eng. 2017, 20, 491–503. [Google Scholar] [CrossRef]
- Kanda, T.; Li, V.C. Practical Design Criteria for Saturated Pseudo Strain Hardening Behavior in ECC. J. Adv. Concr. Technol. 2006, 4, 59–78. [Google Scholar] [CrossRef]
- Li, V.C.; Wang, S.X.; Wu, C. Tensile strain-hardening behavior of polyvinyl alcohol engineered cementitious composite (PVA-ECC). Acl. Mater. J. 2001, 98, 483–492. [Google Scholar]
- Li, V.C.; Stang, H.; Krenchel, H. Micromechanics of crack bridging in fiber reinforced concrete. Mater. Struct. 1993, 26, 486–494. [Google Scholar] [CrossRef]
- Li, V.C.; Wu, C.; Wang, S.X.; Ogawa, A.; Saito, T. Interface tailoring for strain-hardening polyvinyl alcohol engineered cementitious composite (PVA-ECC). Mater. J. 2002, 99, 463–472. [Google Scholar]
- Gu, D.W.; Pan, J.L.; Mustafa, S.; Huang, Y.T.; Lukovic, M. Shear transfer mechanism in reinforced engineered cementitious composite (ECC) beams: Quantification of V-s and V-c. Eng. Struct. 2022, 261, 114282. [Google Scholar] [CrossRef]
- Zhang, Z.G.; Yuvaraj, A.; Di, J.; Qian, S.Z. Matrix design of light weight, high strength, high ductility ECC. Constr. Build. Mater. 2019, 210, 188–197. [Google Scholar] [CrossRef]
- Li, K.; Liu, W.K.; Zhang, K.; Wang, X.L.; Zhu, J.T.; Sheikh, S. Bond behavior of stainless steel wire ropes embedded in engineered cementitious composites. Constr. Build. Mater. 2021, 281, 122622. [Google Scholar] [CrossRef]
- Yuan, F.; Chen, M.C. Effect of matrix ductility on the compression behavior of steel-reinforced engineered cementitious composite columns. Adv. Struct. Eng. 2019, 22, 2250–2263. [Google Scholar] [CrossRef]
- Liu, X.G.; Zhang, W.P.; Gu, X.L.; Ye, Z.W. Probability distribution model of stress impact factor for corrosion pits of high-strength prestressing wires. Eng. Struct. 2021, 230, 111686. [Google Scholar] [CrossRef]
- Saether, I. Bond deterioration of corroded steel bars in concrete. Struct. Infrastruct. Eng. 2011, 7, 415–429. [Google Scholar] [CrossRef]
- Naderpour, H.; Ghasemi-Meydansar, F.; Haji, M. Experimental study on the behavior of RC beams with artificially corroded bars. Structures 2022, 43, 1932–1944. [Google Scholar] [CrossRef]
- Huang, C.H. Effects of Rust and Scale of Reinforcing Bars on the Bond Performance of Reinforcement Concrete. J. Mater. Civil. Eng. 2014, 26, 576–581. [Google Scholar] [CrossRef]
- Du, Y.G.; Clark, L.A.; Chan, A.H.C. Effect of corrosion on ductility of reinforcing bars. Mag. Concr. Res. 2005, 57, 407–419. [Google Scholar] [CrossRef]
- Zhu, W.J.; Francois, R.; Poon, C.S.; Dai, J.G. Influences of corrosion degree and corrosion morphology on the ductility of steel reinforcement. Constr. Build. Mater. 2017, 148, 297–306. [Google Scholar] [CrossRef]
- Yalciner, H.; Eren, O.; Sensoy, S. An experimental study on the bond strength between reinforcement bars and concrete as a function of concrete cover, strength and corrosion level. Cem. Concr. Res. 2012, 42, 643–655. [Google Scholar] [CrossRef]
- Zhu, W.J.; Dai, J.G.; Poon, C.S. Prediction of the bond strength between non-uniformly corroded steel reinforcement and deteriorated concrete. Constr. Build. Mater. 2018, 187, 1267–1276. [Google Scholar] [CrossRef]
- Fernandez, I.; Bairan, J.M.; Mari, A.R. Corrosion effects on the mechanical properties of reinforcing steel bars. Fatigue and sigma-epsilon behavior. Constr. Build. Mater. 2015, 101, 772–783. [Google Scholar] [CrossRef]
- Almusallam, A.A. Effect of degree of corrosion on the properties of reinforcing steel bars. Constr. Build. Mater. 2001, 15, 361–368. [Google Scholar] [CrossRef]
- Fan, L.; Bao, Y.; Meng, W.N.; Chen, G.D. In-situ monitoring of corrosion-induced expansion and mass loss of steel bar in steel fiber reinforced concrete using a distributed fiber optic sensor. Compos. Part B-Eng. 2019, 165, 679–689. [Google Scholar] [CrossRef]
- Luo, D.M.; Li, F.; Xing, G.H. Corrosion resistance of 6061-T6 aluminium alloy and its feasibility of near-surface reinforcements in concrete structure. Rev. Adv. Mater. Sci. 2022, 61, 638–653. [Google Scholar] [CrossRef]
- Lee, S.W.; Kang, S.B.; Tan, K.H.; Yang, E.H. Experimental and analytical investigation on bond-slip behaviour of deformed bars embedded in engineered cementitious composites. Constr. Build. Mater. 2016, 127, 494–503. [Google Scholar] [CrossRef]
- Choi, W.C.; Jang, S.J.; Yun, H.D. Bond and cracking behavior of lap-spliced reinforcing bars embedded in hybrid fiber reinforced strain-hardening cementitious composite (SHCC). Compos. Part B-Eng. 2018, 108, 35–44. [Google Scholar] [CrossRef]
- Cai, J.M.; Pan, J.L.; Tan, J.W.; Li, X.P. Bond behaviours of deformed steel rebars in engineered cementitious composites (ECC) and concrete. Constr. Build. Mater. 2020, 252, 119082. [Google Scholar] [CrossRef]
- Deng, M.K.; Pan, J.J.; Sun, H.Z. Bond behavior of steel bar embedded in Engineered Cementitious Composites under pullout load. Constr. Build. Mater. 2018, 168, 705–714. [Google Scholar] [CrossRef]
- Hou, L.J.; Guo, S.; Zhou, B.X.; Chen, D.; Aslani, F. Bond-slip behaviour of corroded reinforcement and ultra-high toughness cementitious composite in flexural members. Constr. Build. Mater. 2019, 196, 185–194. [Google Scholar] [CrossRef]
- Hou, L.J.; Liu, H.; Xu, S.L.; Zhuang, N.; Chen, D. Effect of corrosion on bond behaviors of rebar embedded in ultra-high toughness cementitious composite. Constr. Build. Mater. 2017, 138, 141–150. [Google Scholar] [CrossRef]
- Hou, L.J.; Guo, S.; Zhou, B.X.; Xu, S.L.; Chen, D. Bond-Slip Behavior of Corroded Rebar Embedded in Ultrahigh Toughness Cementitious Composite. J. Mater. Civil. Eng. 2018, 30, 04018132. [Google Scholar] [CrossRef]
- Che, J.L.; Gong, M.Y.; An, X.; Liu, H.F.; Doh, S.I. Compressive properties and microscopic analysis of engineered cementitious composites after salt freezing. Phys. Chem. Earth 2022, 128, 103253. [Google Scholar] [CrossRef]
- Che, J.L.; Wang, D.; Liu, H.F.; Zhang, Y.X. Mechanical Properties of Desert Sand-Based Fiber Reinforced Concrete (DS-FRC). Appl. Sci. 2019, 9, 1857. [Google Scholar] [CrossRef]
- Che, J.L.; Guo, Z.W.; Li, Q.W.; Liu, H.F. Mechanical Properties of Desert-Sand-Based Steel-PVA Hybrid Fiber Reinforced Engineered Cementitious Composites (H-DSECC). KSCE J. Civ. Eng. 2022, 26, 5160–5172. [Google Scholar] [CrossRef]
- Deng, M.K.; Pan, J.J.; Sun, H.Z. Bond behavior of deformed bar embedded in Engineered Cementitious Composites under cyclic loading. Constr. Build. Mater. 2019, 197, 164–174. [Google Scholar] [CrossRef]
- Liu, X.; Liu, Y.; Wu, T.; Wei, H. Bond-slip properties between lightweight aggregate concrete and rebar. Constr. Build. Mater. 2020, 255, 119355. [Google Scholar] [CrossRef]
- Zheng, Y.; Zheng, S.S.; Yang, L.; Dong, L.G.; Zhang, Y.B. Experimental study and analytical model of the bond behavior of corroded reinforcing steel bars in concrete. Constr. Build. Mater. 2022, 327, 126991. [Google Scholar] [CrossRef]
- Feng, H.B.; Shang, H.S.; Yang, J.X.; Hu, B.; Zhao, W.Y. Study on the bond behavior between steel bar with different derusting methods and concrete. J. Build. Eng. 2022, 49, 103962. [Google Scholar] [CrossRef]
Desert Sand Type | Apparent Density (kg/m3) | Bulk Density (kg/m3) | Fineness Modulus |
---|---|---|---|
Tengger | 2623 | 1562 | 0.72 |
Mu Us | 2637 | 1547 | 0.34 |
Fiber Type | Length (mm) | Diameter (µm) | Ultimate Tensile Strength (MPa) | Density (kL/m3) | Elastic Modulus (GPa) |
---|---|---|---|---|---|
PVA | 12 | 40 | 1600 | 1300 | 40 |
Concrete Type | Desert Sand Type | Water Binder Ratio | Cement (kg/m3) | Fly Ash (kg/m3) | Desert Sand (kg/m3) | Fiber Content (%) | Average Compressive Strength (MPa) | Tensile Strength (MPa) | Ultimate Tensile Strain (%) |
---|---|---|---|---|---|---|---|---|---|
T | Tengger | 0.3 | 617.6 | 617.6 | 580.2 | 2 | 52.9 | 9.8 | 3.3 |
M | Mu Us | 49.8 | 9.96 | 4.6 |
A Steel Bar | Diameter (mm) | Average Yield Strength (MPa) | Average Tensile Strength (MPa) | Elongation (%) |
---|---|---|---|---|
HRB400 | 12 | 465 | 625 | 22 |
Number | Anchorage Length (mm) | Theoretical Corrosion Rate (%) | The Actual Corrosion Rate of Steel Bars (%) |
---|---|---|---|
T-R0-5 | 60 | 0 | 0 |
T-R5-5 | 60 | 5 | 5.16 |
T-R10-5 | 60 | 10 | 9.95 |
T-R15-5 | 60 | 15 | 14.79 |
RT-R5-5 | 60 | 5 | 6.32 |
RT-R10-5 | 60 | 10 | 12.14 |
RT-R15-5 | 60 | 15 | 15.72 |
T-R10-8 | 96 | 10 | 10.32 |
M-R10-5 | 60 | 10 | 9.05 |
M-R10-8 | 96 | 10 | 8.76 |
Number | |||||
---|---|---|---|---|---|
T-R5-5 | 8.06 | 37.04 | 73.81 | 4.60 | 9.16 |
T-R10-5 | 10.35 | 21.86 | 39.47 | 2.11 | 3.81 |
T-R15-5 | 12.42 | 21.86 | 42.16 | 1.76 | 3.39 |
T-R10-8 | 7.26 | 36.84 | 49.47 | 5.07 | 6.81 |
M-R10-5 | 8.23 | 14.92 | 44.95 | 1.81 | 5.46 |
M-R10-8 | 6.86 | 23.72 | 38.15 | 3.46 | 5.56 |
Number | Relevance R2 | |||||
---|---|---|---|---|---|---|
a | b | c | d | e | ||
T-R0-5 | −1.217 | 21.634 | −6.333 | 0.653 | −0.022 | 0.949 |
T-R5-5 | −3.397 | 25.001 | −7.514 | 0.816 | −0.030 | 0.967 |
T-R10-5 | −2.708 | 32.657 | −14.380 | 2.222 | −0.114 | 0.923 |
T-R15-5 | −2.947 | 18.456 | −6.111 | 0.712 | −0.028 | 0.947 |
RT-R5-5 | 0.138 | 17.805 | −5.642 | 0.637 | −0.024 | 0.899 |
RT-R10-5 | 0.816 | 12.186 | −3.466 | 0.351 | −0.012 | 0.894 |
RT-R15-5 | 0.172 | 10.906 | −4.165 | 0.351 | −0.012 | 0.950 |
Publisher’s Note: MDPI stays neutral with regard to jurisdictional claims in published maps and institutional affiliations. |
© 2022 by the authors. Licensee MDPI, Basel, Switzerland. This article is an open access article distributed under the terms and conditions of the Creative Commons Attribution (CC BY) license (https://creativecommons.org/licenses/by/4.0/).
Share and Cite
Liu, T.; Li, X.; Che, J. Study on Bond Performance between Corroded Deformed Steel Bar and DS-ECC. Materials 2022, 15, 9009. https://doi.org/10.3390/ma15249009
Liu T, Li X, Che J. Study on Bond Performance between Corroded Deformed Steel Bar and DS-ECC. Materials. 2022; 15(24):9009. https://doi.org/10.3390/ma15249009
Chicago/Turabian StyleLiu, Tongwei, Xinping Li, and Jialing Che. 2022. "Study on Bond Performance between Corroded Deformed Steel Bar and DS-ECC" Materials 15, no. 24: 9009. https://doi.org/10.3390/ma15249009
APA StyleLiu, T., Li, X., & Che, J. (2022). Study on Bond Performance between Corroded Deformed Steel Bar and DS-ECC. Materials, 15(24), 9009. https://doi.org/10.3390/ma15249009