Effect of Retrograded Starch Hydrogel on the Hygroscopic and Durability Properties of Clay Composites
Abstract
1. Introduction
2. Materials and Methods
2.1. Materials
2.2. Methods
2.3. Preparation of the Retrograded Starch Hydrogel (RSH) and Clay Composites
- The RSH was prepared by mixing corn starch with hot water (90 °C) to obtain the required concentration. In this study, the following starch concentrations in an aqueous solution were used: 2.5, 5, 7.5, and 10%. Later, the solution was placed in an oven at 150 °C for 3 or 5 h. After this step, the hydrogel was kept in a laboratory at 20–22 °C for 24 h to obtain the starch retrogradation effect [56,57]. The basic principle of such modification of clay materials is the complete replacement of water with the starch hydrogel. RSH preparation technology, as well as the mechanism of the starch transformation process (gelatinization and retrogradation process), was described in more detail in our previous work [28].
- Mixing of the clay and RSH components. The mixtures were then homogenized in a mixer (clay + RSH) for no more than 3 min, and then the resulting mass was placed in a desiccator for 24 h. The obtained mixtures of the clay composites are given in Table 4.
- Formation of cylindrical clay specimens with a diameter of 100 mm and 10 mm in height. After forming the samples, they were dried at 20–22 °C for 10–12 days to determine their drying rate. Finally, the surfaces of obtained specimens were examined for visible damage or some shrinkage defects on it. To determine the hygroscopic behavior, five cylindrical samples (d–100 mm, h–10 mm) were formed. The described technological steps for clay composite preparation are also shown in Figure 3.
3. Results and Discussion
3.1. Physical Properties
3.2. Drying Kinetics
3.3. Moisture Buffering Capacity Results
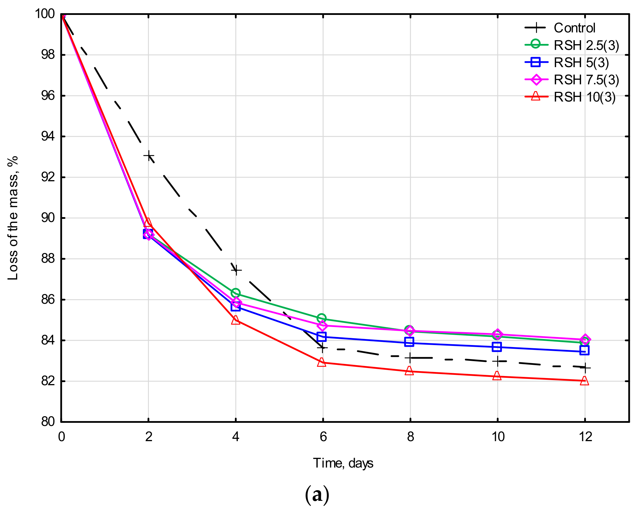
3.4. Water Erosion Results
4. Conclusions
Author Contributions
Funding
Institutional Review Board Statement
Informed Consent Statement
Data Availability Statement
Conflicts of Interest
References
- Hammond, G.P.; Jones, C.P. Embodied energy and carbon in construction materials. Proc. Inst. Civ. Eng. Energy 2008, 161, 87–98. [Google Scholar] [CrossRef]
- Martínez-Rocamora, A.; Solís-Guzmán, J.; Marrero, M. LCA databases focused on construction materials: A review. Renew. Sustain. Energy Rev. 2016, 58, 565–573. [Google Scholar] [CrossRef]
- Zabalza Bribián, I.; Valero Capilla, A.; Aranda Usón, A. Life cycle assessment of building materials: Comparative analysis of energy and environmental impacts and evaluation of the eco-efficiency improvement potential. Build. Environ. 2011, 46, 1133–1140. [Google Scholar] [CrossRef]
- Sarkhosh, M.; Najafpoor, A.A.; Alidadi, H.; Shamsara, J.; Amiri, H.; Andrea, T.; Kariminejad, K. Indoor Air Quality associations with sick building syndrome: An application of decision tree technology. Build. Environ. 2020, 188, 107446. [Google Scholar] [CrossRef]
- Udo de Haes, H.A.; Heijungs, R. Life-cycle assessment for energy analysis and management. Appl. Energy 2007, 84, 817–827. [Google Scholar] [CrossRef]
- Ben-Alon, L.; Loftness, V.; Harries, K.A.; DiPietro, G.; Hameen, E.C. Cradle to site Life Cycle Assessment (LCA) of natural vs conventional building materials: A case study on cob earthen material. Build. Environ. 2019, 160, 106150. [Google Scholar] [CrossRef]
- Christoforou, E.; Kylili, A.; Fokaides, P.A.; Ioannou, I. Cradle to site Life Cycle Assessment (LCA) of adobe bricks. J. Clean. Prod. 2016, 112, 443–452. [Google Scholar] [CrossRef]
- Marcelino-Sadaba, S.; Kinuthia, J.; Oti, J.; Seco Meneses, A. Challenges in Life Cycle Assessment (LCA) of stabilised clay-based construction materials. Appl. Clay Sci. 2017, 144, 121–130. [Google Scholar] [CrossRef]
- Plank, J. Applications of biopolymers and other biotechnological products in building materials. Appl. Microbiol. Biotechnol. 2004, 66, 1–9. [Google Scholar] [CrossRef]
- Saiter, J.M.; Dobircau, L.; Leblanc, N. Are 100% Green Composites and Green Thermoplastics the New Materials for the Future. Int. J. Polym. Sci. 2012, 2012, 280181. [Google Scholar] [CrossRef]
- Lagouin, M.; Laborel-Préneron, A.; Magniont, C.; Geoffroy, S.; Aubert, J.E. Effects of organic admixtures on the fresh and mechanical properties of earth-based plasters. J. Build. Eng. 2021, 41, 102379. [Google Scholar] [CrossRef]
- Laborel-Préneron, A.; Magniont, C.; Aubert, J.E. Characterization of Barley Straw, Hemp Shiv and Corn Cob as Resources for Bioaggregate Based Building Materials. Waste Biomass Valorization 2017, 9, 1095–1112. [Google Scholar] [CrossRef]
- Laborel-Préneron, A.; Aubert, J.E.; Magniont, C.; Tribout, C.; Bertron, A. Plant aggregates and fibers in earth construction materials: A review. Constr. Build. Mater. 2016, 111, 719–734. [Google Scholar] [CrossRef]
- Giroudon, M.; Laborel-Préneron, A.; Aubert, J.E.; Magniont, C. Comparison of barley and lavender straws as bioaggregates in earth bricks. Constr. Build. Mater. 2019, 202, 254–265. [Google Scholar] [CrossRef]
- Salih, M.M.; Osofero, A.I.; Imbabi, M.S. Critical review of recent development in fiber reinforced adobe bricks for sustainable construction. Front. Str. Civ. Eng. 2020, 14, 839–854. [Google Scholar] [CrossRef]
- Binici, H.; Aksogan, O.; Shah, T. Investigation of fibre reinforced mud brick as a building material. Constr. Build. Mater. 2005, 19, 313–318. [Google Scholar] [CrossRef]
- Muñoz, P.; Letelier, V.; Muñoz, L.; Bustamante, M.A. Adobe bricks reinforced with paper & pulp wastes improving thermal and mechanical properties. Constr. Build. Mater. 2020, 254, e119314. [Google Scholar] [CrossRef]
- Yetgin, Ş.; Çavdar, Ö.; Çavdar, A. The effects of the fiber contents on the mechanic properties of the adobes. Constr. Build. Mater. 2008, 22, 222–227. [Google Scholar] [CrossRef]
- Calatan, G.; Hegyi, A.; Dico, C.; Mircea, C. Determining the Optimum Addition of Vegetable Materials in Adobe Bricks. Proc. Technol. 2016, 22, 259–265. [Google Scholar] [CrossRef]
- Danso, H.; Martinson, D.B.; Ali, M.; Williams, J. Effect of fibre aspect ratio on mechanical properties of soil building blocks. Constr. Build. Mater. 2015, 83, 314–319. [Google Scholar] [CrossRef]
- Dove, C. The development of unfired earth bricks using seaweed biopolymers. WIT Trans. Built Environ. Eco-Arch. 2014, 142, 219–230. Available online: https://www.witpress.com/Secure/elibrary/papers/ARC14/ARC14020FU1.pdf (accessed on 1 November 2022).
- Perrot, A.; Rangeard, D.; Courteille, E. 3D printing of earth-based materials: Processing aspects. Constr. Build. Mater. 2018, 172, 670–676. [Google Scholar] [CrossRef]
- Nakamatsu, J.; Kim, S.; Ayarza, J.; Ramírez, E.; Elgegren, M.; Aguilar, R. Eco-friendly modification of earthen construction with carrageenan: Water durability and mechanical assessment. Constr. Build. Mater. 2017, 139, 193–202. [Google Scholar] [CrossRef]
- Olacia, E.; Pisello, A.L.; Chiodo, V.; Maisano, S.; Frazzica, A.; Cabeza, L.F. Use of seagrass fibres in adobe bricks. IOP Conf. Ser. Earth Environ. Sci. 2019, 225, 012051. [Google Scholar] [CrossRef]
- Keita, I.; Sorgho, B.; Dembele, C.; Plea, M.; Zerbo, L.; Guel, B.; Ouedraogo, R.; Gomina, M.; Blanchart, P. Ageing of clay and clay-tannin geomaterials for building. Constr. Build. Mater. 2014, 61, 114–119. [Google Scholar] [CrossRef]
- Sorgho, B.; Zerbo, L.; Keita, I.; Dembele, C.; Plea, M.; Sol, V.; Gomina, M.; Blanchart, P. Strength and creep behavior of geomaterials for building with tannin addition. Mater. Struct. 2014, 47, 937–946. [Google Scholar] [CrossRef]
- Aguilar, R.; Nakamatsu, J.; Ramirez, E.; Elgegren, M.; Ayarza, J.; Kim, S.; Pando, M.A.; Ortega-San-Martin, L. The potential use of chitosan as a biopolymer additive for enhanced mechanical properties and water resistance of earthen construction. Constr. Build. Mater. 2016, 114, 625–637. [Google Scholar] [CrossRef]
- Trambitski, Y.; Kizinievic, O.; Kizinievic, V. Modification of clay materials with retrograded starch hydrogel. Constr. Build. Mater. 2022, 314, 125619. [Google Scholar] [CrossRef]
- Alhaik, G.; Ferreira, M.; Dubois, V.; Wirquin, E.; Tilloy, S.; Monflier, E.; Aouad, G. Enhance the rheological and mechanical properties of clayey materials by adding starches. Constr. Build. Mater. 2017, 139, 602–610. [Google Scholar] [CrossRef]
- Alhaik, G.; Dubois, V.; Wirquin, E.; Leblanc, A.; Aouad, G. Evaluate the influence of starch on earth/hemp or flax straws mixtures properties in presence of superplasticizer. Constr. Build. Mater. 2018, 186, 762–772. [Google Scholar] [CrossRef]
- Galán-Marín, C.; Rivera-Gómez, C.; Petric, J. Clay-based composite stabilized with natural polymer and fibre. Constr. Build. Mater. 2010, 24, 1462–1468. [Google Scholar] [CrossRef]
- Galán-Marín, C.; Rivera-Gómez, C.; Bradley, F. Ultrasonic, Molecular and mechanical testing diagnostics in natural fibre reinforced, polymer-stabilized earth blocks. Nat. Synth. Rec. Pol. Comp. Mat. 2013, 2013, 130582. [Google Scholar] [CrossRef]
- Rivera-Gómez, C.; Galán-Marín, C.; Bradley, F. Analysis of the influence of the fiber type in polymer matrix/fiber bond using natural organic polymer stabilizer. Polymers 2014, 6, 977–994. [Google Scholar] [CrossRef]
- Soldo, A.; Miletić, M.; Auad, M.L. Biopolymers as a sustainable solution for the enhancement of soil mechanical properties. Sci. Rep. 2020, 10, 1–13. [Google Scholar] [CrossRef]
- Cabalar, A.F.; Wiszniewski, M.; Skutnik, Z. Effects of Xanthan Gum Biopolymer on the Permeability, Odometer, Unconfined Compressive and Triaxial Shear Behavior of a Sand. Soil Mech. Found. Eng. 2017, 54, 356–361. [Google Scholar] [CrossRef]
- Cabalar, A.F.; Awraheem, M.H.; Khalaf, M.M. Geotechnical Properties of a Low-Plasticity Clay with Biopolymer. J. Mater. Civ. Eng. 2018, 30, 04018170. [Google Scholar] [CrossRef]
- Chang, I.; Im, J.; Prasidhi, A.K.; Cho, G.C. Effects of Xanthan gum biopolymer on soil strengthening. Constr. Build. Mater. 2015, 74, 65–72. [Google Scholar] [CrossRef]
- Chang, I.; Im, J.; Prasidhi, A.K.; Cho, G.C. Soil strengthening using thermo-gelation biopolymers. Constr. Build. Mater. 2015, 77, 430–438. [Google Scholar] [CrossRef]
- Ayeldeen, M.K.; Negm, A.M.; El Sawwaf, M.A. Evaluating the physical characteristics of biopolymer/soil mixtures. Arab. J. Geosci. 2016, 9, 1–13. [Google Scholar] [CrossRef]
- Zhang, T.; Cai, G.; Liu, S. Application of lignin-based by-product stabilized silty soil in highway subgrade: A field investigation. J. Clean. Prod. 2017, 142, 4243–4257. [Google Scholar] [CrossRef]
- Cai, G.; Zhang, T.; Liu, S.; Li, J.; Jie, D. Stabilization Mechanism and Effect Evaluation of Stabilized Silt with Lignin Based on Laboratory Data. Mar. Georesources Geotechnol. 2016, 34, 331–340. [Google Scholar] [CrossRef]
- Losini, A.E.; Grillet, A.C.; Bellotto, M.; Woloszyn, M.; Dotelli, G. Natural additives and biopolymers for raw earth construction stabilization—A review. Constr. Build. Mater. 2021, 304, 124507. [Google Scholar] [CrossRef]
- Turco, C.; Paula Junior, A.C.; Teixeira, E.R.; Mateus, R. Optimisation of Compressed Earth Blocks (CEBs) using natural origin materials: A systematic literature review. Constr. Build. Mater. 2021, 309, 125140. [Google Scholar] [CrossRef]
- Cid-Falceto, J.; Mazarrón, F.R.; Cañas, I. Assessment of compressed earth blocks made in Spain: International durability tests. Constr. Build. Mater. 2012, 37, 738–745. [Google Scholar] [CrossRef]
- Rode, C.; Grau, K. Moisture Buffering and its Consequence in Whole Building Hygrothermal Modeling. J. Build. Phys. 2008, 31, 333–360. [Google Scholar] [CrossRef]
- Zhang, L.; Sang, G.; Han, W. Effect of hygrothermal behaviour of earth brick on indoor environment in a desert climate. Sustain. Cities Soc. 2020, 55, 102070. [Google Scholar] [CrossRef]
- Binici, H.; Aksogan, O.; Bodur, M.N.; Akca, E.; Kapur, S. Thermal isolation and mechanical properties of fibre reinforced mud bricks as wall materials. Constr. Build. Mater. 2007, 21, 901–906. [Google Scholar] [CrossRef]
- Ashour, T.; Georg, H.; Wu, W. An experimental investigation on equilibrium moisture content of earth plaster with natural reinforcement fibres for straw bale buildings. Appl. Therm. Eng. 2011, 31, 293–303. [Google Scholar] [CrossRef]
- Faria, P.; Santos, T.; Aubert, J.E. Experimental Characterization of an Earth Eco-Efficient Plastering Mortar. J. Mater. Civ. Eng. 2016, 28, 04015085. [Google Scholar] [CrossRef]
- Jiang, Y.; Phelipot-Mardele, A.; Collet, F.; Lanos, C.; Lemke, M.; Ansell, M.; Lawrence, M. Moisture buffer, fire resistance and insulation potential of novel bio-clay plaster. Constr. Build. Mater. 2020, 244, 118353. [Google Scholar] [CrossRef]
- Maddison, M.; Mauring, T.; Kirsimäe, K.; Mander, Ü. The humidity buffer capacity of clay–sand plaster filled with phytomass from treatment wetlands. Build. Environ. 2009, 44, 1864–1868. [Google Scholar] [CrossRef]
- Santos, T.; Nunes, L.; Faria, P. Production of eco-efficient earth-based plasters: Influence of composition on physical performance and bio-susceptibility. J. Clean. Prod. 2017, 167, 55–67. [Google Scholar] [CrossRef]
- Romano, A.; Grammatikos, S.; Riley, M.; Bras, A. Analysis of dynamic moisture movement within bio-based earth mortars. Constr. Build. Mater. 2021, 306, 124862. [Google Scholar] [CrossRef]
- Romano, A.; Riley, M.; Bras, A. Prescriptive Bio-based earth mortar composites as a buffer for internal thermal comfort. EPiC Ser. Built Environ. 2021, 2, 626–634. [Google Scholar] [CrossRef]
- McGregor, F.; Heath, A.; Shea, A.; Lawrence, M. The moisture buffering capacity of unfired clay masonry. Build. Environ. 2014, 82, 599–607. [Google Scholar] [CrossRef]
- McGregor, F.; Heath, A.; Maskell, D.; Fabbri, A.; Morel, J.C. A review on the buffering capacity of earth building materials. Proc. Inst. Civ. Eng. Constr. Mater. 2016, 169, 241–251. [Google Scholar] [CrossRef]
- Giannotas, G.; Kamperidou, V.; Stefanidou, M.; Kampragkou, P.; Liapis, A.; Barboutis, I. Utilization of tree-bark in cement pastes. J. Build. Eng. 2022, 57, 104913. [Google Scholar] [CrossRef]
- Guzlena, S.; Sakale, G.; Certoks, S.; Grase, L. Sand size particle amount influence on the full brick quality and technical properties. Constr. Build. Mater. 2019, 220, 102–109. [Google Scholar] [CrossRef]
- Wang, S.; Li, C.; Copeland, L.; Niu, Q.; Wang, S. Starch retrogradation: A comprehensive review, Compr. Rev. Food Sci. Food Saf. 2015, 14, 568–585. [Google Scholar] [CrossRef]
- Cornejo-Ramírez, Y.I.; Martínez-Cruz, O.; Del Toro-Sanchez, C.L.; Wong-Corral, F.J.; Borboa-Flores, J.; Cinco-Moroyoqui, F.J. The structural characteristics of starches and their functional properties. CyTA-J. Food 2018, 16, 1003–1017. [Google Scholar] [CrossRef]
- Liu, Q.; Zhang, Y.; Laskowski, J.S. The adsorption of polysaccharides onto mineral surfaces: An acid/base interaction. Int. J. Miner. Process. 2000, 60, 229–245. [Google Scholar] [CrossRef]
- EN 772-1; Methods of Test for Masonry Units—Part 1: Determination of Compressive Strength. European Committee for Standardization: Belgium, Brussels, 2015; 13p.
- ASTM C 326-09; Standard Method for Drying and Firing Shrinkages of Ceramic Whiteware Clays. ASTM International: West Conshohocken, PA, USA, 2009; 2p.
- ISO 24353; Hygrothermal Performance of Building Materials and Products—Determination of Moisture Adsorption/Desorption Properties in Response to Humidity Variation. International Organization for Standardization: Geneva, Switzerland, 2008; 18p.
- 65. NZS 4298; Materials and Workmanship for Earth Buildings. Standards New Zealand: Wellington, New Zealand, 1998; 91p.
- UNE R41410:2008; Bloques de Tierra Comprimida para Muros y Tabiques: Definiciones, Especificaciones y Métodos de Ensayo. AENOR: Madrid, Spain, 2008.
- Walker, P. Australian Earth Building Handbook; Standards Australia International: Sydney, Australia, 2002. [Google Scholar]
- Shaikh, S.M.R.; Nasser, M.S.; Hussein, I.; Benamor, A.; Onaizi, S.A.; Qiblawey, H. Influence of polyelectrolytes and other polymer complexes on the flocculation and rheological behaviors of clay minerals: A comprehensive review. Sep. Purif. Technol. 2017, 187, 137–161. [Google Scholar] [CrossRef]
- Ngoulou, N.; Elenga, R.G.; Ahouet, L.; Bouyila, S.; Konda, S. Modeling the Drying Kinetics of Earth Bricks Stabilized with Cassava Flour Gel and Amylopectin. Geomaterials 2019, 9, 91004. [Google Scholar] [CrossRef]
- DIN 18947:2013-08; Earth Plasters—Requirements, Test and Labelling. German Institute for Standardization: Berlin, Germany, 2013.
- Cagnon, H.; Aubert, J.E.; Coutand, M.; Magniont, C. Hygrothermal properties of earth bricks. Energy Build. 2014, 80, 208–217. [Google Scholar] [CrossRef]
- Du, Y.; Habert, G.; Brumaud, C. Influence of tannin and iron ions on the water resistance of clay materials. Constr. Build. Mater. 2022, 323, 126571. [Google Scholar] [CrossRef]










| Clay Chemical Composition, % | |||||||
|---|---|---|---|---|---|---|---|
| SiO2 | Al2O3 + TiO2 | Fe2O3 | CaO | MgO | K2O | Na2O | L.o.i |
| 48.53 | 17.05 | 5.62 | 9.79 | 4.33 | 2.25 | 0.46 | 11.97 |
| Particle Size Distribution, % | ||||
|---|---|---|---|---|
| >50 μm | 50–10 μm | 10–5 μm | 5–1 μm | <1 μm |
| 3.48 | 13.62 | 16.51 | 24.78 | 41.61 |
| Characteristics | 1st Step | 2nd Step | 3rd Step |
|---|---|---|---|
| Relative humidity, % | 50 | 75 | 50 |
| Temperature, °C | 22 | ||
| Time, h | 24 | 12 | 12 |
| Surface area, mm2 | 100 | ||
| Sample thickness, mm | 10 | ||
| Process | Mass stabilization | Adsorption | Desorption |
| Code | Clay Composite | |||
|---|---|---|---|---|
| Clay Content, % | RSH Content, % | Starch Content in Solution, % | Water Content, % | |
| RSH 0 | 100 | 0 | - | 20 |
| RSH 2.5(3) | 20 | 2.5 | 0 | |
| RSH 5(3) | 5 | |||
| RSH 7.5(3) | 7.5 | |||
| RSH 10(3) | 10 | |||
| RSH 2.5(5) | 2.5 | |||
| RSH 5(5) | 5 | |||
| RSH 7.5(5) | 7.5 | |||
| RSH 10(5) | 10 | |||
Publisher’s Note: MDPI stays neutral with regard to jurisdictional claims in published maps and institutional affiliations. |
© 2022 by the authors. Licensee MDPI, Basel, Switzerland. This article is an open access article distributed under the terms and conditions of the Creative Commons Attribution (CC BY) license (https://creativecommons.org/licenses/by/4.0/).
Share and Cite
Trambitski, Y.; Kizinievič, O.; Kizinievič, V. Effect of Retrograded Starch Hydrogel on the Hygroscopic and Durability Properties of Clay Composites. Materials 2022, 15, 8815. https://doi.org/10.3390/ma15248815
Trambitski Y, Kizinievič O, Kizinievič V. Effect of Retrograded Starch Hydrogel on the Hygroscopic and Durability Properties of Clay Composites. Materials. 2022; 15(24):8815. https://doi.org/10.3390/ma15248815
Chicago/Turabian StyleTrambitski, Yahor, Olga Kizinievič, and Viktor Kizinievič. 2022. "Effect of Retrograded Starch Hydrogel on the Hygroscopic and Durability Properties of Clay Composites" Materials 15, no. 24: 8815. https://doi.org/10.3390/ma15248815
APA StyleTrambitski, Y., Kizinievič, O., & Kizinievič, V. (2022). Effect of Retrograded Starch Hydrogel on the Hygroscopic and Durability Properties of Clay Composites. Materials, 15(24), 8815. https://doi.org/10.3390/ma15248815

