High Seebeck Coefficient from Screen-Printed Colloidal PbSe Nanocrystals Thin Film
Abstract
1. Introduction
2. Experimental Methods
2.1. Materials
2.2. Synthesis of PbSe QDs
2.3. Fabrication of PbSe QD Thin Films
2.3.1. Ink Formulation
2.3.2. Substrate Preparation
2.3.3. Screen Printing
2.3.4. Heat Treatment
2.4. Characterization
3. Results
3.1. Monodisperse, Phase-Pure and Chemically Uniform Cubic-Phase PbSe QDs
3.2. Phase-Pure and Relatively Compact PbSe QD Thin Films
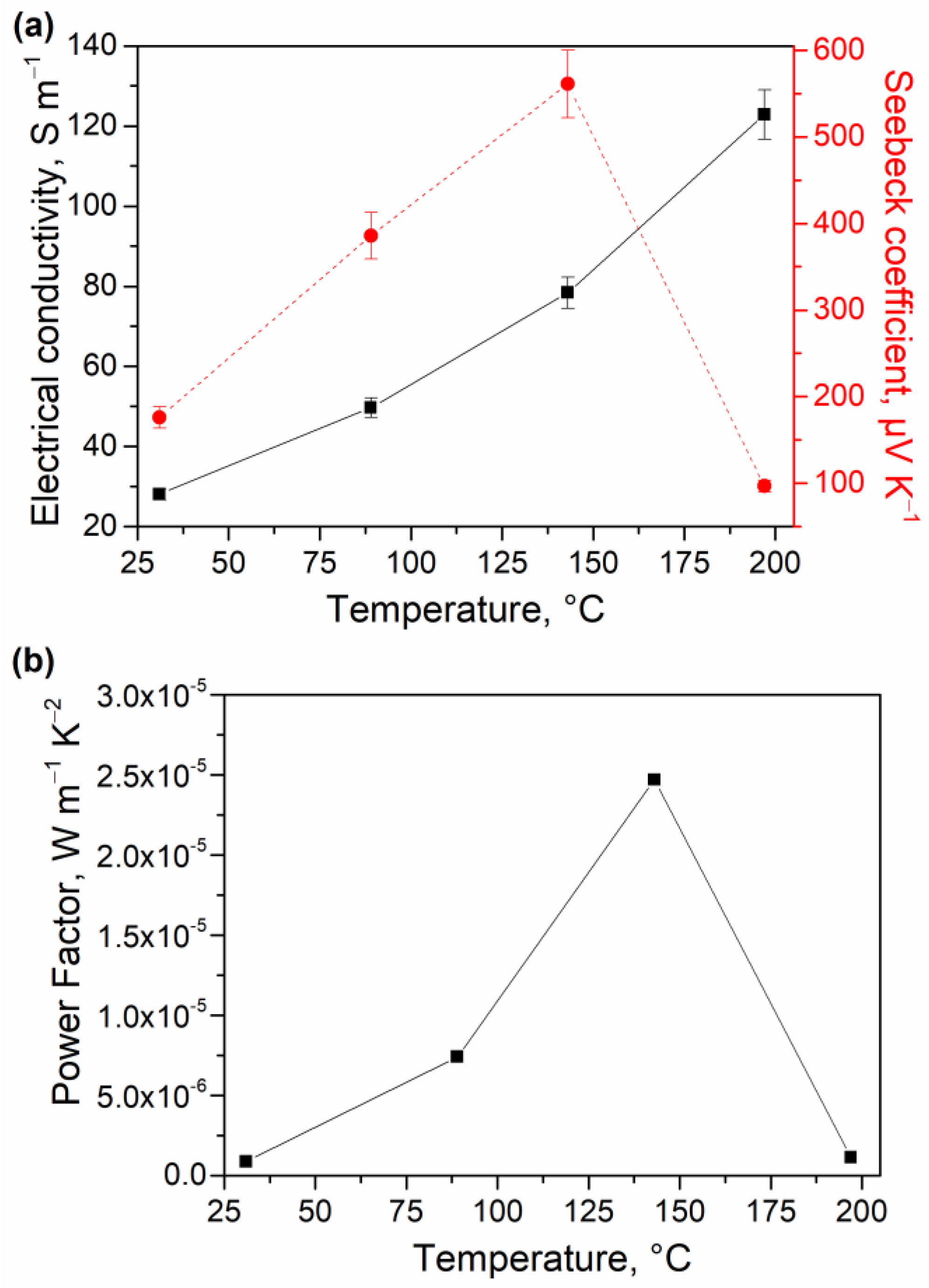
3.3. PbSe QD Thin Films with Low Electrical Conductivity but High Seebeck Coefficient
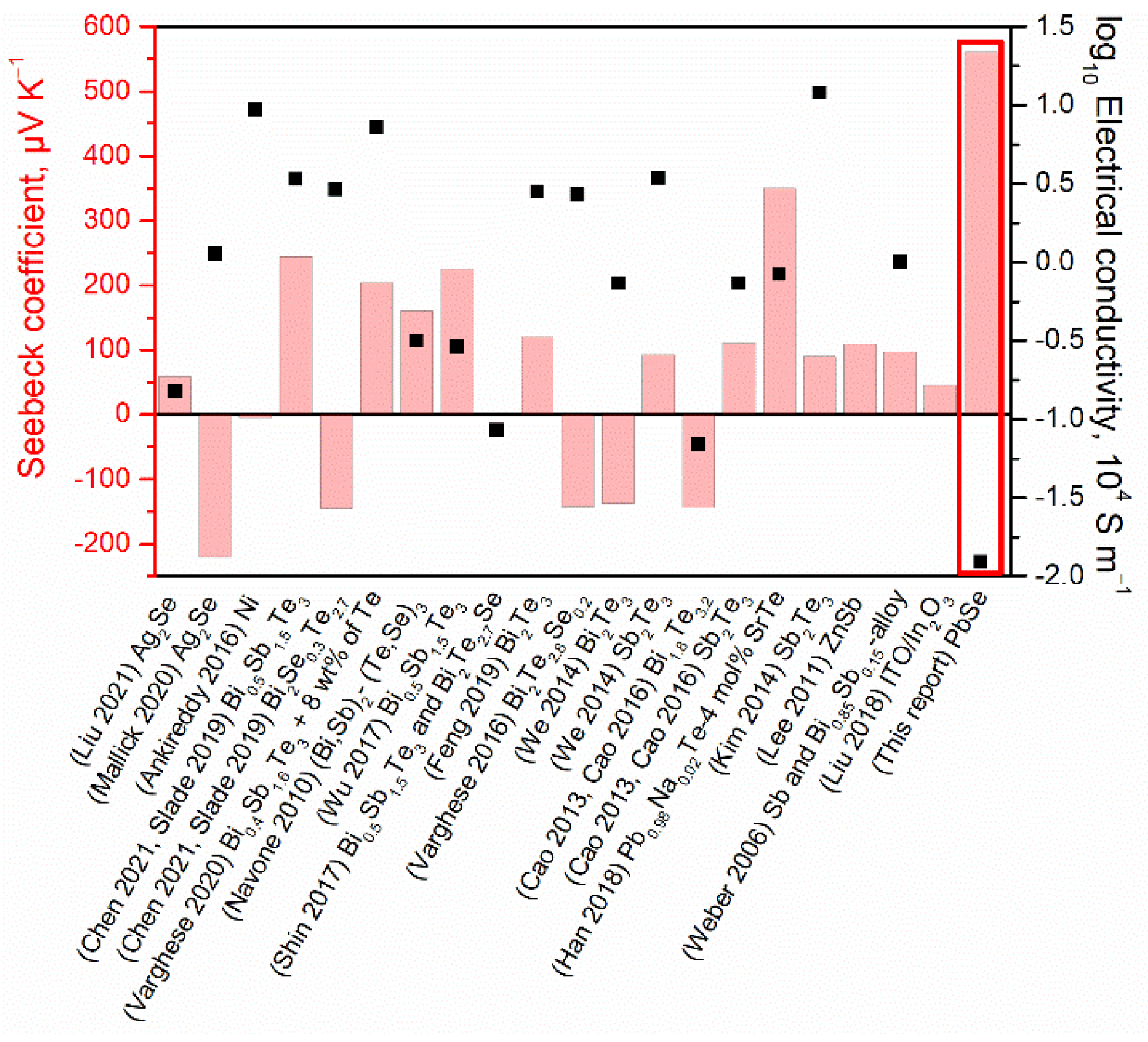
4. Discussion
5. Conclusions
Supplementary Materials
Author Contributions
Funding
Institutional Review Board Statement
Informed Consent Statement
Data Availability Statement
Acknowledgments
Conflicts of Interest
References
- Chen, C.W.; Liao, C.N. Enhanced thermoelectric properties of screen-printed Bi–Sb–Te films on flexible substrate by electrical sintering process. Mater. Chem. Phys. 2021, 259, 124006. [Google Scholar] [CrossRef]
- Zheng, Z.H.; Shi, X.L.; Ao, D.W.; Liu, W.D.; Chen, Y.X.; Li, F.; Chen, S.; Tian, X.Q.; Li, X.R.; Duan, J.Y.; et al. Rational band engineering and structural manipulations inducing high thermoelectric performance in n-type CoSb3 thin films. Nano Energy 2021, 81, 105683. [Google Scholar] [CrossRef]
- Ao, D.W.; Liu, W.D.; Chen, Y.X.; Wei, M.; Jabar, B.; Li, F.; Shi, X.L.; Zheng, Z.H.; Liang, G.X.; Zhang, X.H.; et al. Novel Thermal Diffusion Temperature Engineering Leading to High Thermoelectric Performance in Bi2Te3-Based Flexible Thin-Films. Adv. Sci. 2022, 9, 2103547. [Google Scholar] [CrossRef] [PubMed]
- Zheng, Z.H.; Zhang, D.L.; Jabar, B.; Chen, T.B.; Nisar, M.; Chen, Y.F.; Li, F.; Chen, S.; Liang, G.X.; Zhang, X.H.; et al. Realizing high thermoelectric performance in highly (0l0)-textured flexible Cu2Se thin film for wearable energy harvesting. Mater. Today Phys. 2022, 24, 100659. [Google Scholar] [CrossRef]
- Burton, M.; Howells, G.; Atoyo, J.; Carnie, M. Printed Thermoelectrics. Adv. Mater. 2022, 34, 2108183. [Google Scholar] [CrossRef]
- Hossain, M.K.; Hossain, S.; Ahmed, M.H.; Khan, M.I.; Haque, N.; Raihan, G.A. A Review on Optical Applications, Prospects, and Challenges of Rare-Earth Oxides. ACS Appl. Electron. Mater. 2021, 3, 3715–3746. [Google Scholar] [CrossRef]
- Khan, S.; Hossain, M.K. Chapter 2—Classification and properties of nanoparticles. In Nanoparticle-Based Polymer Composites; Woodhead Publishin: Sawston, UK, 2022; pp. 15–54. [Google Scholar]
- Jaldurgam, F.F.; Ahmad, Z.; Touati, F. Synthesis and performance of large-scale cost-effective environment-friendly nanostructured thermoelectric materials. Nanomaterials 2021, 11, 1091. [Google Scholar] [CrossRef]
- Zeng, M.; Zavanelli, D.; Chen, J.; Saeidi-Javash, M.; Du, Y.; Leblanc, S.; Snyder, G.J.; Zhang, Y. Printing thermoelectric inks toward next-generation energy and thermal devices. Chem. Soc. Rev. 2022, 51, 485. [Google Scholar] [CrossRef]
- Piotrowski, M.; Franco, M.; Sousa, V.; Rodrigues, J.; Deepak, F.L.; Kakefuda, Y.; Kawamoto, N.; Baba, T.; Owens-Baird, B.; Alpuim, P.; et al. Probing of Thermal Transport in 50 nm Thick PbTe Nanocrystal Films by Time-Domain Thermoreflectance. J. Phys. Chem. C 2018, 122, 27127–27134. [Google Scholar] [CrossRef]
- Mao, J.; Liu, Z.; Ren, Z. Size effect in thermoelectric materials. Quantum Mater. 2016, 1, 16028. [Google Scholar] [CrossRef]
- Yazdani, S.; Pettes, M.T. Nanoscale self-assembly of thermoelectric materials: A review of chemistry-based approaches. Nanotechnology 2018, 29, 432001. [Google Scholar] [CrossRef] [PubMed]
- Dresselhaus, M.S.; Chen, G.; Tang, M.Y.; Yang, R.; Lee, H.; Wang, D.; Ren, Z.; Fleurial, J.-P.; Gogna, P. New directions for low-dimensional thermoelectric materials. Adv. Mater. 2007, 19, 1043–1053. [Google Scholar] [CrossRef]
- Ortega, S.; Ibáñez, M.; Liu, Y.; Zhang, Y.; Kovalenko, M.V.; Cadavid, D.; Cabot, A. Bottom-up engineering of thermoelectric nanomaterials and devices from solution-processed nanoparticle building blocks. Chem. Soc. Rev. 2017, 46, 3510. [Google Scholar] [CrossRef] [PubMed]
- Yin, D.; Dun, C.; Gao, X.; Liu, Y.; Zhang, X.; Carroll, D.L.; Swihart, M.T. Controllable Colloidal Synthesis of Tin(II) Chalcogenide Nanocrystals and Their Solution-Processed Flexible Thermoelectric Thin Films. Small 2018, 14, 1801949. [Google Scholar] [CrossRef] [PubMed]
- Slade, T.J.; Bailey, T.P.; Grovogui, J.A.; Hua, X.; Zhang, X.; Kuo, J.J.; Hadar, I.; Snyder, G.J.; Wolverton, C.; Dravid, V.P.; et al. High Thermoelectric Performance in PbSe–NaSbSe2 Alloys from Valence Band Convergence and Low Thermal Conductivity. Adv. Energy Mater. 2019, 9, 1901377. [Google Scholar] [CrossRef]
- Varghese, T.; Dun, C.; Kempf, N.; Saeidi-Javash, M.; Karthik, C.; Richardson, J.; Hollar, C.; Estrada, D.; Zhang, Y. Flexible Thermoelectric Devices of Ultrahigh Power Factor by Scalable Printing and Interface Engineering. Adv. Funct. Mater. 2020, 30, 1905796. [Google Scholar] [CrossRef]
- Navone, C.; Soulier, M.; Plissonnier, M.; Seiler, A.L. Development of (Bi,Sb)2(Te,Se)3-based thermoelectric modules by a screen-printing process. J. Electron. Mater. 2010, 39, 1755–1759. [Google Scholar] [CrossRef]
- Wu, H.; Liu, X.; Wei, P.; Zhou, H.Y.; Mu, X.; He, D.Q.; Zhu, W.T.; Nie, X.L.; Zhao, W.Y.; Zhang, Q.J. Fabrication and Characterization of Brush-Printed p-Type Bi0.5Sb1.5Te3 Thick Films for Thermoelectric Cooling Devices. J. Electron. Mater. 2017, 46, 2950–2957. [Google Scholar] [CrossRef]
- Shin, S.; Kumar, R.; Roh, J.W.; Ko, D.S.; Kim, H.S.; Kim, S.I.; Yin, L.; Schlossberg, S.M.; Cui, S.; You, J.M.; et al. High-Performance Screen-Printed Thermoelectric Films on Fabrics. Sci. Rep. 2017, 7, 7317. [Google Scholar] [CrossRef]
- Feng, J.; Zhu, W.; Deng, Y.; Song, Q.; Zhang, Q. Enhanced Antioxidation and Thermoelectric Properties of the Flexible Screen-Printed Bi2Te3 Films through Interface Modification. ACS Appl. Energy Mater. 2019, 2, 2828–2836. [Google Scholar] [CrossRef]
- Varghese, T.; Hollar, C.; Richardson, J.; Kempf, N.; Han, C.; Gamarachchi, P.; Estrada, D.; Mehta, R.J.; Zhang, Y. High-performance and flexible thermoelectric films by screen printing solution-processed nanoplate crystals. Sci. Rep. 2016, 6, 33135. [Google Scholar] [CrossRef] [PubMed]
- Cao, Z.; Koukharenko, E.; Tudor, M.J.; Torah, R.N.; Beeby, S.P. Screen printed flexible Bi2Te3-Sb2Te3 based thermoelectric generator. J. Phys. Conf. Ser. 2013, 476, 012031. [Google Scholar] [CrossRef]
- Cao, Z.; Koukharenko, E.; Tudor, M.J.; Torah, R.N.; Beeby, S.P. Flexible screen printed thermoelectric generator with enhanced processes and materials. Sens. Actuator A Phys. 2016, 238, 196–206. [Google Scholar] [CrossRef]
- We, J.H.; Kim, S.J.; Cho, B.J. Hybrid composite of screen-printed inorganic thermoelectric film and organic conducting polymer for flexible thermoelectric power generator. Energy 2014, 73, 506–512. [Google Scholar] [CrossRef]
- Kim, S.J.; We, J.H.; Kim, J.S.; Kim, G.S.; Cho, B.J. Thermoelectric properties of p-type Sb2Te3 thick film processed by a screen-printing technique and a subsequent annealing process. J. Alloys Compd. 2014, 582, 177–180. [Google Scholar] [CrossRef]
- Liu, D.; Zhao, Y.; Yan, Z.; Zhang, Z.; Zhang, Y.; Shi, P.; Xue, C. Screen-Printed Flexible Thermoelectric Device Based on Hybrid Silver Selenide/PVP Composite Films. Nanomaterials 2021, 11, 2042. [Google Scholar] [CrossRef] [PubMed]
- Mallick, M.M.; Rösch, A.G.; Franke, L.; Ahmed, S.; Gall, A.; Geßwein, H.; Aghassi, J.; Lemmer, U. High-Performance Ag-Se-Based n-Type Printed Thermoelectric Materials for High Power Density Folded Generators. ACS Appl. Mater. Interfaces 2020, 12, 19655–19663. [Google Scholar] [CrossRef]
- Mallick, M.M.; Rösch, A.G.; Franke, L.; Gall, A.; Ahmad, S.; Geßwein, H.; Mazilkin, A.; Kübel, C.; Lemmer, U. New frontier in printed thermoelectrics: Formation of β-Ag2Se through thermally stimulated dissociative adsorption leads to high ZT. J. Mater. Chem. A 2020, 8, 16366. [Google Scholar] [CrossRef]
- Han, C.; Tan, G.; Varghese, T.; Kanatzidis, M.G.; Zhang, Y. High-Performance PbTe Thermoelectric Films by Scalable and Low-Cost Printing. ACS Energy Lett. 2018, 3, 818–822. [Google Scholar] [CrossRef]
- Cadavid, D.; Ortega, S.; Illera, S.; Liu, Y.; Ibáñez, M.; Shavel, A.; Zhang, Y.; Li, M.; López, A.M.; Noriega, G.; et al. Influence of the Ligand Stripping on the Transport Properties of Nanoparticle-Based PbSe Nanomaterials. ACS Appl. Energy Mater. 2020, 3, 2120–2129. [Google Scholar] [CrossRef]
- Kolen’ko, Y.V.; Bañobre-López, M.; Rodríguez-Abreu, C.; Carbó-Argibay, E.; Sailsman, A.; Piñeiro-Redondo, Y.; Cerqueira, M.F.; Petrovykh, D.Y.; Kovnir, K.; Lebedev, O.I.; et al. Large-scale Synthesis of Colloidal Fe3O4 Nanoparticles Exhibiting High Heating Efficiency in Magnetic Hyperthermia. J. Phys. Chem. C 2014, 118, 8691–8701. [Google Scholar] [CrossRef]
- Sousa, V.; Gonçalves, B.F.; Rosen, Y.S.; Virtuoso, J.; Anacleto, P.; Cerqueira, M.F.; Modin, E.; Alpuim, P.; Lebedev, O.I.; Magdassi, S.; et al. Over 6% Efficient Cu(In,Ga)Se2 Solar Cell Screen-Printed from Oxides on Fluorine-Doped Tin Oxide. ACS Appl. Energy Mater. 2020, 3, 3120–3126. [Google Scholar] [CrossRef]
- Liu, Y.; Sun, B.; Tajcmanova, L.; Liu, C.; Wu, J. Effect of carbon residues structures on burnout characteristic by FTIR and Raman spectroscopy. Spectrochim. Acta A Mol. Biomol. Spectrosc. Spectrochim. Acta A 2022, 272, 120947. [Google Scholar] [CrossRef] [PubMed]
- Ankireddy, K.; Menon, A.K.; Iezzi, B.; Yee, S.K.; Losego, M.D.; Jur, J.S. Electrical Conductivity, Thermal Behavior, and Seebeck Coefficient of Conductive Films for Printed Thermoelectric Energy Harvesting Systems. J. Electron. Mater. 2016, 45, 5561–5569. [Google Scholar] [CrossRef]
- Lee, H.B.; We, J.H.; Yang, H.J.; Kim, K.; Choi, K.C.; Cho, B.J. Thermoelectric properties of screen-printed ZnSb film. Thin Solid Films 2011, 519, 5441–5443. [Google Scholar] [CrossRef]
- Lee, H.B.; Yang, H.J.; We, J.H.; Kim, K.; Choi, K.C.; Cho, B.J. Thin-film thermoelectric module for power generator applications using a screen-printing method. J. Electron. Mater. 2011, 40, 615–619. [Google Scholar] [CrossRef]
- Weber, J.; Potje-Kamloth, K.; Haase, F.; Detemple, P.; Völklein, F.; Doll, T. Coin-size coiled-up polymer foil thermoelectric power generator for wearable electronics. Sens. Actuator A Phys. 2006, 132, 325–330. [Google Scholar] [CrossRef]
- Liu, Y.; Ren, W.; Shi, P.; Liu, D.; Zhang, Y.; Liu, M.; Ye, Z.G.; Jing, W.; Tian, B.; Jiang, Z. A highly thermostable In2O3/ITO thin film thermocouple prepared via screen printing for high temperature measurements. Sensors 2018, 18, 958. [Google Scholar] [CrossRef] [PubMed]
- Hicks, L.D.; Dresselhaus, M.S. Effect of quantum-well structures on the thermoelectric Bgure of merit. Phys. Rev. B 1993, 47, 727–731. [Google Scholar] [CrossRef]
- Hicks, L.D.; Harman, T.C.; Dresselhaus, M.S. Use of quantum-well superlattices to obtain a high figure of merit from nonconventional thermoelectric materials. Appl. Phys. Lett. 1993, 63, 3230. [Google Scholar] [CrossRef]
- Ohta, H.; Kim, S.; Mune, Y.; Mizoguchi, T.; Nomura, K.; Ohta, S.; Nomura, T.; Nakanishi, Y.; Ikuhara, Y.; Hirano, M.; et al. Giant thermoelectric Seebeck coefficient of a two-dimensional electron gas in SrTiO3. Nat. Mater. 2007, 6, 129–134. [Google Scholar] [CrossRef] [PubMed]
- Harman, T.C.; Taylor, P.J.; Walsh, M.P.; LaForge, B.E. Quantum dot superlattice thermoelectric materials and devices. Science 2002, 297, 2229–2232. [Google Scholar] [CrossRef] [PubMed]
- Shimizu, S.; Bahramy, M.S.; Iizuka, T.; Ono, S.; Miwa, K.; Tokura, Y.; Iwasa, Y. Enhanced thermopower in ZnO two-dimensional electron gas. Proc. Natl. Acad. Sci. USA 2016, 113, 6438–6443. [Google Scholar] [CrossRef] [PubMed]
- Yan, Q.; Chen, H.; Zhou, W.; Hng, H.H.; Yin, F.; Boey, C.; Ma, J. A Simple Approach for PbTe Nanowires with Enhanced Thermoelectric Properties. Chem. Mater. 2008, 20, 6298–6300. [Google Scholar] [CrossRef]
- Tai, G.; Zhou, B.; Guo, W. Structural characterization and thermoelectric transport properties of uniform single-crystalline lead telluride nanowires. J. Phys. Chem. C 2008, 112, 11314–11318. [Google Scholar] [CrossRef]
- Zhou, W.; Zhu, J.; Li, D.; Hng, H.H.; Boey, F.Y.C.; Jan, M.; Zhang, H.; Yan, Q. Binary-Phased nanoparticles for enhanced thermoelectric properties. Adv. Mater. 2009, 21, 3196–3200. [Google Scholar] [CrossRef]
- Yang, D.; Lu, C.; Yin, H.; Herman, I.P. Thermoelectric performance of PbSe quantum dot films. Nanoscale 2013, 5, 7290. [Google Scholar] [CrossRef] [PubMed]
- Nugraha, M.I.; Kim, H.; Sun, B.; Haque, M.A.; De Arquer, F.P.G.; Villalva, D.R.; El-Labban, A.; Sargent, E.H.; Alshareef, H.N.; Baran, D. Low-Temperature-Processed Colloidal Quantum Dots as Building Blocks for Thermoelectrics. Adv. Energy Mater. 2019, 9, 1803049. [Google Scholar] [CrossRef]
- Yang, H.; Wong, E.; Zhao, T.; Lee, J.D.; Xin, H.L.; Chi, M.; Fleury, B.; Tang, H.Y.; Gaulding, E.A.; Kagan, C.R.; et al. Charge Transport Modulation in PbSe Nanocrystal Solids by AuxAg1-x Nanoparticle Doping. ACS Nano 2018, 12, 9091–9100. [Google Scholar] [CrossRef]
- Huang, Z.; Zhang, Y.; Wu, H.; Pennycook, S.J.; Zhao, L.-D. Enhancing Thermoelectric Performance of p-Type PbSe through Suppressing Electronic Thermal Transports. ACS Appl. Energy Mater. 2019, 2, 8236–8243. [Google Scholar] [CrossRef]
- Zhang, B.; Guo, F.; Zhang, L.; Zhu, M.; Zheng, Y. Controllable sign reversal of Seebeck coefficient and the large tunability of: ZT value of plumbene: A first-principles study. J. Mater. Chem. C 2021, 9, 16645. [Google Scholar] [CrossRef]
- Goldsmid, H.J.; Sharp, J.W. Estimation of the thermal band gap of a semiconductor from Seebeck measurements. J. Electron. Mater. 1999, 28, 869–872. [Google Scholar] [CrossRef]
- Zevalkink, A.; Smiadak, D.M.; Blackburn, J.L.; Ferguson, A.J.; Chabinyc, M.L.; Delaire, O.; Wang, J.; Kovnir, K.; Martin, J.; Schelhas, L.T.; et al. A practical field guide to thermoelectrics: Fundamentals, synthesis, and characterization. Appl. Phys. Rev. 2018, 5, 021303. [Google Scholar] [CrossRef]
- Staller, C.M.; Gibbs, S.L.; Gan, X.Y.; Bender, J.T.; Jarvis, K.; Ong, G.K.; Milliron, D.J. Contact Conductance Governs Metallicity in Conducting Metal Oxide Nanocrystal Films. Nano Lett. 2022, 22, 5009–5014. [Google Scholar] [CrossRef]
- Greenberg, B.L.; Robinson, Z.L.; Ayino, Y.; Held, J.T.; Peterson, T.A.; Andre Mkhoyan, K.; Pribiag, V.S.; Aydil, E.S.; Kortshagen, U.R. Metal-insulator transition in a semiconductor nanocrystal network. Sci. Adv. 2019, 5, eaaw1462. [Google Scholar] [CrossRef]
- Lanigan, D.; Thimsen, E. Contact Radius and the Insulator-Metal Transition in Films Comprised of Touching Semiconductor Nanocrystals. ACS Nano 2016, 10, 6744–6752. [Google Scholar] [CrossRef]
- Blackburn, J.L.; Chappell, H.; Luther, J.M.; Nozik, A.J.; Johnson, J.C. Correlation between Photooxidation and the Appearance of Raman Scattering Bands in Lead Chalcogenide Quantum Dots. J. Phys. Chem. Lett. 2011, 2, 599–603. [Google Scholar] [CrossRef]
- Kuzivanov, M.O.; Zimin, S.P.; Fedorov, A.V.; Baranov, A.V. Raman Scattering in Lead Selenide Films at a Low Excitation Level. Opt. Spectrosc. 2015, 119, 938–942. [Google Scholar] [CrossRef]
- Vaqueiro, P. Chapter 1. Synthesis and Property Measurements of Thermoelectric Materials; Royal Society of Chemistry: London, UK, 2021; ISBN 9781788019590. [Google Scholar]
- Masoumi, S.; Noori, A.; Shokrani, M.; Hossein-Babaei, F. Apparatus for Seebeck Coefficient Measurements on High-Resistance Bulk and Thin-Film Samples. IEEE Trans. Instrum. Meas. 2020, 69, 3070–3077. [Google Scholar] [CrossRef]
- Alleno, E.; Bérardan, D.; Byl, C.; Candolfi, C.; Daou, R.; Decourt, R.; Guilmeau, E.; Hébert, S.; Hejtmanek, J.; Lenoir, B.; et al. Invited Article: A Round Robin Test of the Uncertainty on the Measurement of the Thermoelectric Dimensionless Figure of Merit of Co0.97Ni0.03Sb3. Rev. Sci. Instrum. 2015, 86, 011301. [Google Scholar] [CrossRef]




Publisher’s Note: MDPI stays neutral with regard to jurisdictional claims in published maps and institutional affiliations. |
© 2022 by the authors. Licensee MDPI, Basel, Switzerland. This article is an open access article distributed under the terms and conditions of the Creative Commons Attribution (CC BY) license (https://creativecommons.org/licenses/by/4.0/).
Share and Cite
Sousa, V.; Savelli, G.; Lebedev, O.I.; Kovnir, K.; Correia, J.H.; Vieira, E.M.F.; Alpuim, P.; Kolen’ko, Y.V. High Seebeck Coefficient from Screen-Printed Colloidal PbSe Nanocrystals Thin Film. Materials 2022, 15, 8805. https://doi.org/10.3390/ma15248805
Sousa V, Savelli G, Lebedev OI, Kovnir K, Correia JH, Vieira EMF, Alpuim P, Kolen’ko YV. High Seebeck Coefficient from Screen-Printed Colloidal PbSe Nanocrystals Thin Film. Materials. 2022; 15(24):8805. https://doi.org/10.3390/ma15248805
Chicago/Turabian StyleSousa, Viviana, Guillaume Savelli, Oleg I. Lebedev, Kirill Kovnir, José H. Correia, Eliana M. F. Vieira, Pedro Alpuim, and Yury V. Kolen’ko. 2022. "High Seebeck Coefficient from Screen-Printed Colloidal PbSe Nanocrystals Thin Film" Materials 15, no. 24: 8805. https://doi.org/10.3390/ma15248805
APA StyleSousa, V., Savelli, G., Lebedev, O. I., Kovnir, K., Correia, J. H., Vieira, E. M. F., Alpuim, P., & Kolen’ko, Y. V. (2022). High Seebeck Coefficient from Screen-Printed Colloidal PbSe Nanocrystals Thin Film. Materials, 15(24), 8805. https://doi.org/10.3390/ma15248805

