Minor Actinides Transmutation Performance in a Closed Th–U Cycle Based on Molten Chloride Salt Fast Reactor
Abstract
1. Introduction
2. General Description of MCFR and Analysis Methodology
2.1. Reprocessing Schemes
2.2. Simulation Tool
2.3. Description of the Optimized MCFR
3. Results and Discussions
3.1. Reactivity Varying at the Initial Critical
3.2. MA Transmutation without Reprocessing and Refueling
3.3. MA Transmutation with Online Reprocessing and Refueling
3.3.1. Evolution of keff and EALF
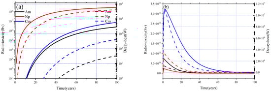
3.3.2. Evolution of Heavy Nuclides and Radiotoxicity
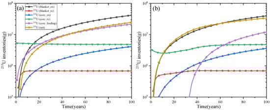
3.3.3. 233U Breeding Capability
3.3.4. MA Transmutation Capability
3.3.5. Safety Parameters
4. Conclusions
Author Contributions
Funding
Conflicts of Interest
References
- Qaaod, A.; Shahbunder, H.; Refeat, R.; Amin, E.A.; El-Kameesy, S. Transmutation performance of uniform and nonuniform distributions of plutonium and minor actinides in TRIGA Mark II ADS reactor. Ann. Nucl. Energy 2018, 121, 101–107. [Google Scholar] [CrossRef]
- Ignatiev, V.; Feynberg, O.; Gnidoi, I.; Merzlyakov, A.; Smirnov, V.; Surenkov, A.; Tretiakov, I.; Zakirov, R. Progress in development of Li, Be, Na/F molten salt actinide recycler & transmutation concept. In Proceedings of the ICAPP, Kyoto, Japan, 24–28 April 2017; p. 7548. [Google Scholar]
- Yu, C.; Li, X.; Cai, X.; Zou, C.; Ma, Y.; Han, J.; Chen, J. Analysis of minor actinides transmutation for a Molten Salt Fast Reactor. Ann. Nucl. Energy 2015, 85, 597–604. [Google Scholar] [CrossRef]
- Liu, B.; Wang, K.; Tu, J.; Liu, F.; Huang, L.; Hu, W. Transmutation of minor actinides in the pressurized water reactors. Ann. Nucl. Energy 2013, 64, 86–92. [Google Scholar] [CrossRef]
- Liu, B.; Jia, R.; Han, R.; Lyu, X.; Han, J.; Li, W. Minor actinide transmutation characteristics in AP1000. Ann. Nucl. Energy 2018, 115, 116–125. [Google Scholar] [CrossRef]
- Martinez, E.; Alonso, G.; Ramirez, R.; Castillo, R. Comparison of BWR fuel assembly options for minor actinide recycling. Ann. Nucl. Energy 2019, 132, 288–298. [Google Scholar] [CrossRef]
- Hu, W.; Liu, B.; Ouyang, X.; Tu, J.; Liu, F.; Huang, L.; Fu, J.; Meng, H. Minor actinide transmutation on PWR burnable poison rods. Ann. Nucl. Energy 2015, 77, 74–82. [Google Scholar] [CrossRef]
- Perkó, Z.; Kloosterman, J.L.; Fehér, S. Minor actinide transmutation in GFR600. Nucl. Technol 2012, 177, 83–97. [Google Scholar] [CrossRef]
- Takeda, T.; Yamamoto, T.; Miyauchi, M. Interpretation of actinide transmutation in thermal and fast reactors. Prog. Nucl. Energy 2002, 40, 449–456. [Google Scholar] [CrossRef]
- Park, T.; Lin, C.-S.; Yang, W.S. A moderated target design for minor actinide transmutation in sodium-cooled fast reactor. Ann. Nucl. Energy 2016, 98, 178–190. [Google Scholar] [CrossRef]
- Fukuda, T.; Yamaji, A. Conceptual design of Super FR for MA transmutation with axially heterogeneous core. Nucl. Eng. Des. 2020, 363, 110619. [Google Scholar] [CrossRef]
- Liu, B.; Han, J.; Liu, F.; Sheng, J.; Li, Z. Minor actinide transmutation in the lead-cooled fast reactor. Prog. Nucl. Energy 2020, 119, 103148. [Google Scholar] [CrossRef]
- U.S. DOE. A technology roadmap for generation IV nuclear energy systems. In Nuclear Energy Research Advisory Committee and the Generation IV International Forum; USDOE Office of Nuclear Energy, Science and Technology (NE): Washington, DC, USA, 2002. [Google Scholar] [CrossRef]
- Křepel, J.; Hombourger, B.; Fiorina, C.; Mikityuk, K.; Rohde, U.; Kliem, S.; Pautz, A. Fuel cycle advantages and dynamics features of liquid fueled MSR. Ann. Nucl. Energy 2014, 64, 380–397. [Google Scholar] [CrossRef]
- Rosenthal, M.W.; Kasten, P.R.; Briggs, R.B. Molten-salt reactors–history, status, and potential. Nucl. Appl. Technol. 1970, 8, 107–117. [Google Scholar] [CrossRef]
- Ashraf, O.; Tikhomirov, G. Thermal-and fast-spectrum molten salt reactors for minor actinides transmutation. Ann. Nucl. Energy 2020, 148, 107751. [Google Scholar] [CrossRef]
- Gehin, J.C.; Holcomb, D.E.; Flanagan, G.F.; Patton, B.W.; Howard, R.L.; Harrison, T.J. Fast Spectrum Molten Salt Reactor Options; Office of Scientific and Technical Information Technical Reports: Oak Ridge, TN, USA, 2011. [Google Scholar] [CrossRef]
- Gakhar, R.; Phillips, W.C.; Cao, G.; Yoo, T.-S.; Woods, M.E.; Fredrickson, G.L.; Karlsson, T. Molten Salt Fuels: Properties, Purification, and Corrosion Control. Reference Module in Earth Systems and Environmental Sciences. In Encyclopedia of Nuclear Energy; Elsevier: Amsterdam, The Netherlands, 2021. [Google Scholar] [CrossRef]
- Bulmer, J.J.; Gift, E.H.; Holl, R.J.; Jacobs, A.M.; Jaye, S.; Koffman, E.; McVean, R.L.; Oehl, R.G.; A Rossi, R. Reactor Design and Feasibility Study: Fused Salt Fast Breeder; Oak Ridge School of Reactor Technology: Oak Ridge, TN, USA, 1956. [Google Scholar] [CrossRef]
- He, L.Y. Optimal Design and Th-U Cycle Performance Investigation of Molten Chlorine Salt Fast Reactor; University of Chinese Academy of Science: Beijing, China, 2020. [Google Scholar]
- He, L.Y.; Xia, S.P.; Yan, R.; Zou, Y.; Liu, G.M. Th–U and U–Pu cycling performances of molten chloride salt fast reactor under LEU start-up mode. Nucl. Tech. 2020, 43, 010604. [Google Scholar] [CrossRef]
- Smith, J.; Simmons, W.E. An Assessment of a 2500 MWe Molten Chloride Salt Fast Reactor; United Kingdom Energy Authority Reactor Group: Winfrith, UK, 1974. [Google Scholar]
- Mourogov, A.; Bokov, P. Potentialities of the fast spectrum molten salt reactor concept: REBUS-3700. Energy Convers. Manag. 2006, 47, 2761–2771. [Google Scholar] [CrossRef]
- Huke, A.; Ruprecht, G.; Weißbach, D.; Gottlieb, S.; Hussein, A.; Czerski, K. The dual fluid reactor—A novel concept for a fast nuclear reactor of high efficiency. Ann. Nucl. Energy 2015, 80, 225–235. [Google Scholar] [CrossRef]
- Scott, I.; Abram, T.; Negri, O. Stable Salt Reactor Design Concept. In Proceedings of the International Thorium Energy Conference Gateway to Thorium Energy, Geneva, Switzerland, 27–31 October 2013. [Google Scholar]
- He, L.-Y.; Li, G.-C.; Xia, S.-P.; Chen, J.-G.; Zou, Y.; Liu, G.-M. Effect of 37Cl Enrichment on Neutrons in a Molten Chloride Salt Fast Reactor. Nucl. Sci. Tech. 2020, 31, 27. [Google Scholar] [CrossRef]
- He, L.-Y.; Xia, S.-P.; Zhou, X.-M.; Chen, J.-G.; Liu, G.-M.; Zou, Y.; Yan, R. Th-U Cycle Performance Analysis Based on Molten Chloride Salt Fast Reactor and Molten Fluoride Salt Fast Reactor. Nucl. Sci. Tech. 2020, 31, 83. [Google Scholar] [CrossRef]
- He, L.-Y.; Xia, S.-P.; Chen, J.-G.; Liu, G.-M.; Zou, Y. Th-U Breeding Performances in an Optimized Molten Chloride Salt Fast Reactor. Nucl. Sci. Eng 2021, 195, 185–202. [Google Scholar] [CrossRef]
- Fiorina, C.; Lathouwers, D.; Aufiero, M.; Cammi, A.; Guerrieri, C.; Kloosterman, J.L.; Luzzi, L.; Ricotti, M.E. Modelling and Analysis of the MSFR Transient Behavior. Ann. Nucl. Energy 2013, 64, 485. [Google Scholar] [CrossRef]
- Cui, D.; Li, X.; Xia, S.; Zhao, X.; Yu, C.; Chen, J.; Cai, X. Possible Scenarios for the Transition to Thorium Fuel Cycle in Molten Salt Reactor by Using Enriched Uranium. Prog. Nucl. Energy 2017, 104, 75. [Google Scholar] [CrossRef]
- ORNL/TM-2005/39; Scale: A Modular Code System for Performing Standardized Computer Analyses for Licensing Evaluations. Version 6.1. National Laboratory: Oak Ridge, TN, USA, 2009.
- Xia, S.; Chen, J.; Guo, W.; Cui, D.; Han, J.; Wu, J.; Cai, X. Development of a Molten Salt Reactor Specific Depletion Code MODEC. Ann. Nucl. Energy 2019, 124, 88. [Google Scholar] [CrossRef]
- Xia, S.P. Research on the High-Precision Burnup Calculation Methods and Thorium-Uranium Fuel Breeding for the Liquid Fueled Molten Salt Reactors; University of Chinese Academy of Sciences: Beijing, China, 2019. [Google Scholar]
- Gauld, I. Origen-s: Depletion Module to Calculate Neutron Activation, Actinide Transmutation, Fission Product Generation, and Radiation Source Terms; Oak Ridge National Laboratory: Oak Ridge, TN, USA, 2011. [Google Scholar]
- Heuer, D.; Merle-Lucotte, E.; Allibert, M.; Brovchenko, M.; Ghetta, V.; Rubiolo, P. Towards the Thorium Fuel Cycle with Molten Salt Fast Reactors. Ann. Nucl. Energy 2014, 64, 421. [Google Scholar] [CrossRef]
- Merle-Lucotte, E.; Heuer, D.; le Brun, C.; Mathieu, L.; Brissot, R.; Liatard, E.; Méplan, O.; Nuttin, A. Fast thorium molten salt reactors started with plutonium. In Proceedings of the ICAPP, Chamonix, France, 2–6 October 2006. [Google Scholar]
- Sasa, T.; Tsujimoto, K.; Takizuka, T.; Takano, H. Code development for the design study of the OMEGA Program accelerator-driven transmutation systems. Nuclear Instrum. Methods Phys. Res. Sect. A 2001, 463, 495–504. [Google Scholar] [CrossRef]
- Vapirev, E.; Dimitrov, V.; Jordanov, T.; Christoskov, I. Conversion of High Enriched Uranium in Thorium-232-based Oxide Fuel for Light and Heavy Water Reactors: MOX-T Fuel. Nucl. Eng. Des. 1996, 167, 105. [Google Scholar] [CrossRef]
- Fiorina, C.; Aufiero, M.; Cammi, A.; Franceschini, F.; Křepel, J.; Luzzi, L.; Mikityuk, K.; Ricotti, M.E. Investigation of the MSFR Core Physics and Fuel Cycle Characteristics. Prog. Nucl. Energy 2013, 68, 153. [Google Scholar] [CrossRef]




















| Parameters | MCFR |
|---|---|
| Thermal power density (MWth/m3) | 100 |
| Composition of fuel salt (mol%) | NaCl:(HM)Cl4 = 55:45 |
| Enrichment of 37Cl (%) | 97 |
| Temperature of fuel salt (K) | 923 |
| Density of molten salt (g·cm3) | 3.60 |
| Density of alloy (g·cm3) | 8.86 |
| Density of B4C (g·cm3) | 2.52 |
| Volume (m3) | 25 |
| Thickness of graphite (cm) | 40 |
| Thickness of B4C (cm) | 35 |
| Thickness of blanket (cm) | 60 |
| Thermal expansion (K−1) | −3.00 × 10−4 |
| Nuclides | 237Np | 241Am | 243Am | 243Cm | 244Cm | 245Cm |
|---|---|---|---|---|---|---|
| Ratio (%) | 56.20 | 26.40 | 12.00 | 0.03 | 5.11 | 0.26 |
| MA Loading (%) | MA Transmutation Ratio (%) MA Incineration Ratio (%) | keff(BOL) | Life (Years) | |||||
|---|---|---|---|---|---|---|---|---|
| 237Np | 241Am | 243Am | 243Cm | 244Cm | 245Cm | |||
| 0 | - | - | - | - | - | - | 1.208 | 8 |
| - | - | - | - | - | - | |||
| 3 | 46.72 | 50.75 | 40.14 | −5.23 | −4.87 | −186.77 | 1.158 | 10 |
| 12.48 | 13.94 | 10.91 | −4.57 | −2.89 | −161.91 | |||
| 5 | 77.02 | 80.79 | 68.47 | 40.91 | 21.08 | −218.54 | 1.136 | 19 |
| 20.61 | 22.19 | 18.61 | 35.68 | 12.51 | −189.44 | |||
| 7.5 | 90.98 | 92.94 | 83.77 | 78.43 | 53.62 | −133.07 | 1.114 | 34 |
| 24.34 | 25.54 | 22.76 | 68.39 | 31.82 | −115.37 | |||
| 10 | 93.28 | 94.73 | 86.69 | 84.43 | 61.86 | −98.23 | 1.097 | 38 |
| 24.93 | 26.02 | 23.55 | 73.63 | 36.71 | −85.17 | |||
| 15 | 94.09 | 95.36 | 87.84 | 86.73 | 65.71 | −76.81 | 1.082 | 42 |
| 25.18 | 26.20 | 23.85 | 75.63 | 39.01 | −66.59 | |||
| 20 | 95.06 | 96.54 | 89.21 | 89.03 | 69.89 | −55.01 | 1.085 | 47 |
| 25.44 | 26.43 | 24.23 | 77.63 | 41.47 | −44.73 | |||
| MA Loadings (%) | Mass of Nuclides (kg) | 233U Loadings (%) | ||
|---|---|---|---|---|
| 233U | 232Th | MA | ||
| 0 | 5.32 × 103 | 4.14 × 104 | ---- | 5.11 |
| 1 | 5.34 × 103 | 4.03 × 104 | 1.06 × 103 | 5.14 |
| 3 | 5.27 × 103 | 3.84 × 104 | 3.19 × 103 | 5.06 |
| 4 | 5.27 × 103 | 3.73 × 104 | 4.24 × 103 | 5.05 |
| 5 | 5.21 × 103 | 3.61 × 104 | 5.31 × 103 | 4.99 |
| 7 | 4.93 × 103 | 3.43 × 104 | 7.44 × 103 | 4.73 |
| 10 | 4.69 × 103 | 3.14 × 104 | 1.06 × 104 | 4.54 |
| 20 | 3.22 × 103 | 22.3 × 104 | 2.12 × 104 | 3.10 |
| 30 | 1.16 × 103 | 1.44 × 104 | 3.19 × 104 | 1.12 |
| 33.5 | ---- | 1.11 × 104 | 3.56 × 104 | 0.00 |
| Nuclides | βI (pcm) | ||||
|---|---|---|---|---|---|
| 0 | 5 | 10 | 20 | 33.5 | |
| 233U | 291 | 291 | 290 | 290 | 288 |
| 237Np | 400 | 398 | 396 | 396 | 394 |
| 241Am | 136 | 135 | 135 | 134 | 134 |
| 243Am | 239 | 237 | 237 | 237 | 236 |
| 243Cm | 86 | 86 | 86 | 86 | 85 |
| 244Cm | 131 | 130 | 130 | 130 | 129 |
| 245Cm | 177 | 176 | 175 | 175 | 175 |
| 235U | 669 | 668 | 668 | 667 | 665 |
| MA Loadings | βeff (pcm) | ||||
|---|---|---|---|---|---|
| BOL | Minimum | Maximum | Fluctuation | EQL | |
| 0% | 291 | 291 | 313 | 22 | 313 |
| 5% | 288 | 285 | 313 | 28 | 313 |
| 10% | 286 | 281 | 313 | 32 | 313 |
| 20% | 284 | 275 | 312 | 37 | 312 |
| 33.5% | 282 | 273 | 310 | 37 | 310 |
Publisher’s Note: MDPI stays neutral with regard to jurisdictional claims in published maps and institutional affiliations. |
© 2022 by the authors. Licensee MDPI, Basel, Switzerland. This article is an open access article distributed under the terms and conditions of the Creative Commons Attribution (CC BY) license (https://creativecommons.org/licenses/by/4.0/).
Share and Cite
He, L.; Chen, L.; Cui, Y.; Xia, S.; Zou, Y. Minor Actinides Transmutation Performance in a Closed Th–U Cycle Based on Molten Chloride Salt Fast Reactor. Materials 2022, 15, 8555. https://doi.org/10.3390/ma15238555
He L, Chen L, Cui Y, Xia S, Zou Y. Minor Actinides Transmutation Performance in a Closed Th–U Cycle Based on Molten Chloride Salt Fast Reactor. Materials. 2022; 15(23):8555. https://doi.org/10.3390/ma15238555
Chicago/Turabian StyleHe, Liaoyuan, Liang Chen, Yong Cui, Shaopeng Xia, and Yang Zou. 2022. "Minor Actinides Transmutation Performance in a Closed Th–U Cycle Based on Molten Chloride Salt Fast Reactor" Materials 15, no. 23: 8555. https://doi.org/10.3390/ma15238555
APA StyleHe, L., Chen, L., Cui, Y., Xia, S., & Zou, Y. (2022). Minor Actinides Transmutation Performance in a Closed Th–U Cycle Based on Molten Chloride Salt Fast Reactor. Materials, 15(23), 8555. https://doi.org/10.3390/ma15238555

