Characterization of Date Seed Powder Derived Porous Graphene Oxide and Its Application as an Environmental Functional Material to Remove Dye from Aqueous Solutions
Abstract
1. Introduction
2. Materials and Methods
2.1. General
2.2. Characterization and Synthesis
2.2.1. Synthesis of Organic Dye
2.2.2. Synthesis of GO-Date Seeds Adsorbent
2.3. Adsorption Study
3. Results and Discussion
3.1. Synthesis Dye
3.2. Characterization of GO-Date Seeds Powder
3.3. The Adsorption Performance of GO-Date Seeds
3.3.1. Adsorption Performance of GO-Date-Seeds
3.3.2. The Impact of the Initial pH
3.3.3. The Impact of Contact Time
3.3.4. The Effect of Initial Concentration
3.4. Adsorption Kinetics
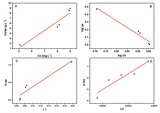
3.5. Adsorption Isotherm Studies
3.6. Thermodynamic Study
3.7. The Reusable of GO-Date Seeds in Adsorption
4. Conclusions
Supplementary Materials
Author Contributions
Funding
Institutional Review Board Statement
Informed Consent Statement
Data Availability Statement
Acknowledgments
Conflicts of Interest
References
- Allen, S.; Koumanova, B. Decolourisation of water/wastewater using adsorption. J. Univ. Chem. Technol. Metall. 2005, 40, 175–192. [Google Scholar]
- Klimiuk, E.; Filipkowska, U.; Libecki, B. Coagulation of wastewater containing reactive dyes with the use of polyaluminium chloride (PAC). Pol. J. Environ. Stud. 1999, 8, 81–88. [Google Scholar]
- Hema, M.; Arivoli, S. Comparative study on the adsorption kinetics and thermodynamics of dyes onto acid activated low cost carbon. Int. J. Phys. Sci. 2007, 2, 10–17. [Google Scholar]
- Essawy, A.A.; Ali, A.E.-H.; Abdel-Mottaleb, M. Application of novel copolymer-TiO2 membranes for some textile dyes adsorptive removal from aqueous solution and photocatalytic decolorization. J. Hazard. Mater. 2008, 157, 547–552. [Google Scholar] [CrossRef]
- Sulak, M.; Demirbas, E.; Kobya, M. Removal of Astrazon Yellow 7GL from aqueous solutions by adsorption onto wheat bran. Bioresour. Technol. 2007, 98, 2590–2598. [Google Scholar] [CrossRef] [PubMed]
- Demirbas, A. Agricultural based activated carbons for the removal of dyes from aqueous solutions: A review. J. Hazard. Mater. 2009, 167, 1–9. [Google Scholar] [CrossRef]
- Hashem, A.M.A.; El-Shishtawy, R.M. Preparation and Characterization of Cationized Cellulose for the Removal of Anionic Dyes. Adsorpt. Sci. Technol. 2001, 19, 197–210. [Google Scholar] [CrossRef]
- El-Shishtawy, R.M.; Melegy, A. Geochemistry and Utilization of Montmorillonitic Soil for Cationic Dye Removal. Adsorpt. Sci. Technol. 2001, 19, 609–620. [Google Scholar] [CrossRef]
- El-Zahhar, A.A.; Awwad, N.S. Removal of malachite green dye from aqueous solutions using organically modified hydroxyapatite. J. Environ. Chem. Eng. 2016, 4, 633–638. [Google Scholar] [CrossRef]
- Al-Zahrani, F.A.; El-Shishtawy, R.M.; Ahmed, N.S.; Awwad, N.S.; Hamdy, M.S.; Asiri, A.M. Photocatalytic decolourization of a new water-insoluble organic dye based on phenothiazine by ZnO and TiO2 nanoparticles. Arab. J. Chem. 2019, 13, 3633–3638. [Google Scholar] [CrossRef]
- Al-Shehri, B.M.; Khder, A.R.; Ashour, S.S.; Hamdy, M.S. A review: The utilization of mesoporous materials in wastewater treatment. Mater. Res. Express 2019, 6, 122002. [Google Scholar] [CrossRef]
- Al-Shehri, B.M.; Mohamed, S.; Alzahly, S.; Hamdy, M.S. A significant improvement in adsorption behavior of mesoporous TUD-1 silica through neodymium incorporation. J. Rare Earths 2020, 39, 469–476. [Google Scholar] [CrossRef]
- Luo, J.; Han, G.; Xie, M.; Cai, Z.; Wang, X. Quaternized chitosan/montmorillonite nanocomposite resin and its adsorption behavior. Iran. Polym. J. 2015, 24, 531–539. [Google Scholar] [CrossRef]
- Qian, H.; Wang, J.; Yan, L. Synthesis of lignin-poly(N-methylaniline)-reduced graphene oxide hydrogel for organic dye and lead ions removal. J. Bioresour. Bioprod. 2020, 5, 204–210. [Google Scholar] [CrossRef]
- Jjagwe, J.; Olupot, P.W.; Menya, E.; Kalibbala, H.M. Synthesis and Application of Granular Activated Carbon from Biomass Waste Materials for Water Treatment: A Review. J. Bioresour. Bioprod. 2021, 6, 292–322. [Google Scholar] [CrossRef]
- Ahmad, A.A.; Hameed, B.H. Fixed-bed adsorption of reactive azo dye onto granular activated carbon prepared from waste. J. Hazard. Mater. 2010, 175, 298–303. [Google Scholar] [CrossRef]
- Zeng, L.-X.; Chen, Y.-F.; Zhang, Q.-Y.; Kang, Y.; Luo, J.-W. Adsorption of congo red by cross-linked chitosan resins. Desalination Water Treat. 2013, 52, 7733–7742. [Google Scholar] [CrossRef]
- Awad, A.M.; Shaikh, S.M.; Jalab, R.; Gulied, M.H.; Nasser, M.S.; Benamor, A.; Adham, S. Adsorption of organic pollutants by natural and modified clays: A comprehensive review. Sep. Purif. Technol. 2019, 228, 115719. [Google Scholar] [CrossRef]
- Silva, T.L.; Ronix, A.; Pezoti, O.; Souza, L.S.; Leandro, P.K.; Bedin, K.C.; Beltrame, K.K.; Cazetta, A.L.; Almeida, V.C. Mesoporous activated carbon from industrial laundry sewage sludge: Adsorption studies of reactive dye Remazol Brilliant Blue R. Chem. Eng. J. 2016, 303, 467–476. [Google Scholar] [CrossRef]
- Singare, P.U. Quantification Study of Non -Biodegradable Solid Waste Materials Accumulated in The Mangroves of Mahim Creek, Mumbai. Mar. Sci. 2012, 2, 1–5. [Google Scholar] [CrossRef]
- El-Zahhar, A.A.; Awwad, N.S.; El-Katori, E.E. Removal of bromophenol blue dye from industrial waste water by synthesizing polymer-clay composite. J. Mol. Liq. 2014, 199, 454–461. [Google Scholar] [CrossRef]
- Al-Shehri, B.; Altass, H.M.; Ashour, S.S.; Shkir, M.; Khder, A.E.R.S.; Hamdy, M.S. Enhancement the photocatalytic performance of semiconductors through composite formation with Eu-TUD-1. Optik 2020, 202, 163522. [Google Scholar] [CrossRef]
- Cabral, J.; Nogueira, P.; Becegato, V.; Becegato, V.; Paulino, A. Environmental Assessment and Toxic Metal-Contamination Level in Surface Sediment of a Water Reservoir in the Brazilian Cerrado. Water 2021, 13, 1044. [Google Scholar] [CrossRef]
- Akbar, N.A.; Rosman, N.D.; Hambali, S.; A Abu Bakar, A. Adsorption of Methylene Blue by Banana Stem Adsorbent in a Continuous Fixed Bed Column Study. IOP Conf. Ser. Earth Environ. Sci. 2020, 616, 012058. [Google Scholar] [CrossRef]
- Alene, A.N.; Abate, G.Y.; Habte, A.T. Bioadsorption of Basic Blue Dye from Aqueous Solution onto Raw and Modified Waste Ash as Economical Alternative Bioadsorbent. J. Chem. 2020, 2020, 8746035. [Google Scholar] [CrossRef]
- Hassan, S.S.; Awwad, N.S.; Aboterika, A.H. Removal of mercury(II) from wastewater using camel bone charcoal. J. Hazard. Mater. 2008, 154, 992–997. [Google Scholar] [CrossRef]
- Javid, N.; Nasiri, A.; Malakootian, M. Removal of nonylphenol from aqueous solutions using carbonized date pits modified with ZnO nanoparticles. Desalination Water Treat. 2019, 141, 140–148. [Google Scholar] [CrossRef]
- Al-Zahrani, F.A.; Arshad, M.N.; Asiri, A.M.; Mahmood, T.; Gilani, M.A.; El-Shishtawy, R.M. Synthesis and structural properties of 2-((10-alkyl-10H-phenothiazin-3-yl)methylene)malononitrile derivatives; a combined experimental and theoretical insight. Chem. Cent. J. 2016, 10, 13. [Google Scholar] [CrossRef]
- Hossain, M.Z.; Waly, M.I.; Singh, V.; Sequeira, V.; Rahman, M.S. Chemical Compositions of Date-Pits and Its Potential for Developing Value-Added Product—A Review. Pol. J. Food Nutr. Sci. 2014, 64, 215–226. [Google Scholar] [CrossRef]
- Bhatnagar, A.; Sillanpää, M.; Witek-Krowiak, A. Agricultural waste peels as versatile biomass for water purification—A review. Chem. Eng. J. 2015, 270, 244–271. [Google Scholar] [CrossRef]
- Adesanmi, B.M.; Hung, Y.-T.; Paul, H.H.; Huhnke, C.R. Comparison of dye wastewater treatment methods: A review. GSC Adv. Res. Rev. 2022, 10, 126–137. [Google Scholar] [CrossRef]
- Li, J.; Yan, Q.; Zhang, X.; Zhang, J.; Cai, Z. Efficient Conversion of Lignin Waste to High Value Bio-Graphene Oxide Nanomaterials. Polymers 2019, 11, 623. [Google Scholar] [CrossRef]
- Hadjltaief, H.B.; Ben Zina, M.; Galvez, M.E.; Da Costa, P. Photocatalytic degradation of methyl green dye in aqueous solution over natural clay-supported ZnO–TiO2 catalysts. J. Photochem. Photobiol. A Chem. 2016, 315, 25–33. [Google Scholar] [CrossRef]
- Nabili, A.; Fattoum, A.; Passas, R.; Elaloui, E. Extraction and characterization of cellulose from date palm seeds (Phoenix dactylifera L.). Cellul. Chem. Technol. 2016, 50, 1015–1023. [Google Scholar]
- Wang, Q.; Lai, Z.; Luo, C.; Zhang, J.; Cao, X.; Liu, J.; Mu, J. Honeycomb-like activated carbon with microporous nanosheets structure prepared from waste biomass cork for highly efficient dye wastewater treatment. J. Hazard. Mater. 2021, 416, 125896. [Google Scholar] [CrossRef]
- Adane, B.; Siraj, K.; Meka, N. Kinetic, equilibrium and thermodynamic study of 2-chlorophenol adsorption onto Ricinus communis pericarp activated carbon from aqueous solutions. Green Chem. Lett. Rev. 2015, 8, 1–12. [Google Scholar] [CrossRef]
- Siburian, R.; Sihotang, H.; Raja, S.L.; Supeno, M.; Simanjuntak, C. New Route to Synthesize of Graphene Nano Sheets. Orient. J. Chem. 2018, 34, 182–187. [Google Scholar] [CrossRef]
- Mathew, B.T.; Raji, S.; Dagher, S.; Hilal-Alnaqbi, A.; Mourad, A.-H.I.; Al-Zuhair, S.; Al Ahmad, M.; El-Tarabily, K.A.; Amin, A. Bilirubin detoxification using different phytomaterials: Characterization and in vitro studies. Int. J. Nanomed. 2018, 13, 2997–3010. [Google Scholar] [CrossRef]
- Alam, S.N.; Sharma, N.; Kumar, L. Synthesis of Graphene Oxide (GO) by Modified Hummers Method and Its Thermal Reduction to Obtain Reduced Graphene Oxide (rGO)*. Graphene 2017, 6, 1–18. [Google Scholar] [CrossRef]
- Sharma, G.; Thakur, B.; Kumar, A.; Sharma, S.; Naushad, M.; Stadler, F.J. Atrazine removal using chitin-cl-poly(acrylamide-co-itaconic acid) nanohydrogel: Isotherms and pH responsive nature. Carbohydr. Polym. 2020, 241, 116258. [Google Scholar] [CrossRef]
- Daniel, V.V.; Gulyani, B.B.; Kumar, B.G.P. Usage of Date Stones as Adsorbents: A Review. J. Dispers. Sci. Technol. 2012, 33, 1321–1331. [Google Scholar] [CrossRef]
- Földényi, R.; Joó, S.; Tóth, J. Adsorption of diclofenac on activated carbon and its hypochlorination in the presence of dissolved organic matter. Int. J. Environ. Sci. Technol. 2017, 14, 1071–1080. [Google Scholar] [CrossRef]
- Zhang, Q.; Yan, B.; Feng, L.; Zheng, J.; You, B.; Chen, J.; Zhao, X.; Zhang, C.; Jiang, S.; He, S. Progress in the use of organic potassium salts for the synthesis of porous carbon nanomaterials: Microstructure engineering for advanced supercapacitors. Nanoscale 2022, 14, 8216–8244. [Google Scholar] [CrossRef] [PubMed]
- Yan, B.; Zheng, J.; Feng, L.; Zhang, Q.; Han, J.; Hou, H.; Zhang, C.; Ding, Y.; Jiang, S.; He, S. Green H2O2 activation of electrospun polyimide-based carbon nanofibers towards high-performance free-standing electrodes for supercapacitors. Diam. Relat. Mater. 2022, 130, 109465. [Google Scholar] [CrossRef]
- Ho, Y.-S. Review of second-order models for adsorption systems. J. Hazard. Mater. 2006, 136, 681–689. [Google Scholar] [CrossRef] [PubMed]
- Ahmad, Z.U.; Yao, L.; Wang, J.; Gang, D.D.; Islam, F.; Lian, Q.; Zappi, M.E. Neodymium embedded ordered mesoporous carbon (OMC) for enhanced adsorption of sunset yellow: Characterizations, adsorption study and adsorption mechanism. Chem. Eng. J. 2018, 359, 814–826. [Google Scholar] [CrossRef]
- Farghali, A.; Bahgat, M.; El Rouby, W.; Khedr, M. Preparation, decoration and characterization of graphene sheets for methyl green adsorption. J. Alloys Compd. 2012, 555, 193–200. [Google Scholar] [CrossRef]
- Mittal, A.; Kaur, D.; Malviya, A.; Mittal, J.; Gupta, V. Adsorption studies on the removal of coloring agent phenol red from wastewater using waste materials as adsorbents. J. Colloid Interface Sci. 2009, 337, 345–354. [Google Scholar] [CrossRef]
- Abdullah, N.A.; Othaman, R.; Abdullah, I.; Nazwa, J.; Baharum, A. Studies on the adsorption of phenol red dye using silica-filled ENR/PVC beads. J. Emerg. Trends Eng. Appl. Sci. 2012, 3, 845–850. [Google Scholar]
- Iqbal, M.J.; Ashiq, M.N. Adsorption of dyes from aqueous solutions on activated charcoal. J. Hazard. Mater. 2007, 139, 57–66. [Google Scholar] [CrossRef]













| Models | Parameters | GO-Date Seeds |
| qe Experimentally (mg/g) | 4.920 | |
| Pseudo-Frist-Order | qe (mg/g) | 0.205 |
| K1 (min−1) × 103 | 21.648 | |
| R2 | 0.267 | |
| Pseudo second order | qe (mg/g) | 4.883 |
| K2 (g/mg min) × 103 | 413.295 | |
| R2 | 1.000 | |
| Elovich model | α (mg/g min) | 3.916 |
| β (g/mg) | 44.977 | |
| R2 | 0.190 | |
| Intra-particle Diffusion | Kdiff (mg/g min) | 0.274 |
| C (mg/g) | 4.850 | |
| R2 | 0.344 |
| Parameters | Isotherm Models | |||||
| Langmuir Model | Freundlich Model | D–R | ||||
| qmax (mg/g) | 0.57 | KF (mg/g.(L/mg)1/n | 57.67 | qm (mg/g) | 0.73 | |
| KL (L/mg) | −0.23 | 1/n | −1.80 | B (mol2/J2) | 7.58 | |
| RL | −0.96 | R2 | 0.96 | E (kJ/mol) | 0.26 | |
| R2 | 0.91 | - | - | R2 | 0.92 | |
| t (°C) | T (K) | ln Kd | ∆G(KJ) | ∆S(J) | ∆H(KJ) |
|---|---|---|---|---|---|
| 25 | 298 | −0.543 | 1.346 | −144.090 | −31.720 |
| 35 | 308 | −1.668 | 4.271 | ||
| 45 | 318 | −1.737 | 4.592 | ||
| 55 | 328 | −2.191 | 5.975 | ||
| 65 | 338 | −2.146 | 6.031 |
| Adsorbents | Adsorption Capacity mg/g | References |
|---|---|---|
| Bottom ash | 7.4 | [48] |
| Deoiled soya | 5.3 | [48] |
| Silica-filled epoxidized natural rubber beads | 2.6 | [49] |
| Activated charcoal | 0.04 | [50] |
| Barley husk-derived activated carbon | 6.67 | |
| GO | 4.88 | This work |
Publisher’s Note: MDPI stays neutral with regard to jurisdictional claims in published maps and institutional affiliations. |
© 2022 by the authors. Licensee MDPI, Basel, Switzerland. This article is an open access article distributed under the terms and conditions of the Creative Commons Attribution (CC BY) license (https://creativecommons.org/licenses/by/4.0/).
Share and Cite
Al-Zahrani, F.A.M.; Al-Shehri, B.M.; El-Shishtawy, R.M.; Awwad, N.S.; Khan, K.A.; Sayed, M.A.; Siddeeg, S.M. Characterization of Date Seed Powder Derived Porous Graphene Oxide and Its Application as an Environmental Functional Material to Remove Dye from Aqueous Solutions. Materials 2022, 15, 8136. https://doi.org/10.3390/ma15228136
Al-Zahrani FAM, Al-Shehri BM, El-Shishtawy RM, Awwad NS, Khan KA, Sayed MA, Siddeeg SM. Characterization of Date Seed Powder Derived Porous Graphene Oxide and Its Application as an Environmental Functional Material to Remove Dye from Aqueous Solutions. Materials. 2022; 15(22):8136. https://doi.org/10.3390/ma15228136
Chicago/Turabian StyleAl-Zahrani, Fatimah A. M., Badria M. Al-Shehri, Reda M. El-Shishtawy, Nasser S. Awwad, Khalid Ali Khan, M. A. Sayed, and Saifeldin M. Siddeeg. 2022. "Characterization of Date Seed Powder Derived Porous Graphene Oxide and Its Application as an Environmental Functional Material to Remove Dye from Aqueous Solutions" Materials 15, no. 22: 8136. https://doi.org/10.3390/ma15228136
APA StyleAl-Zahrani, F. A. M., Al-Shehri, B. M., El-Shishtawy, R. M., Awwad, N. S., Khan, K. A., Sayed, M. A., & Siddeeg, S. M. (2022). Characterization of Date Seed Powder Derived Porous Graphene Oxide and Its Application as an Environmental Functional Material to Remove Dye from Aqueous Solutions. Materials, 15(22), 8136. https://doi.org/10.3390/ma15228136

