A Study on the Through-Plane Permeability of Anisotropic Fibrous Porous Material by Fractal Stochastic Method
Abstract
1. Introduction
2. Fractal Model
2.1. Pore-Scale Model
2.2. Fractal Pore
2.3. Fractal Tortuosity
2.4. Through-Plane Permeability
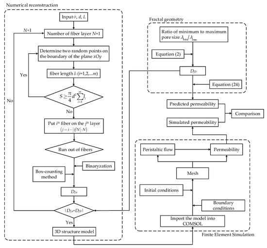
3. Numerical Simulation
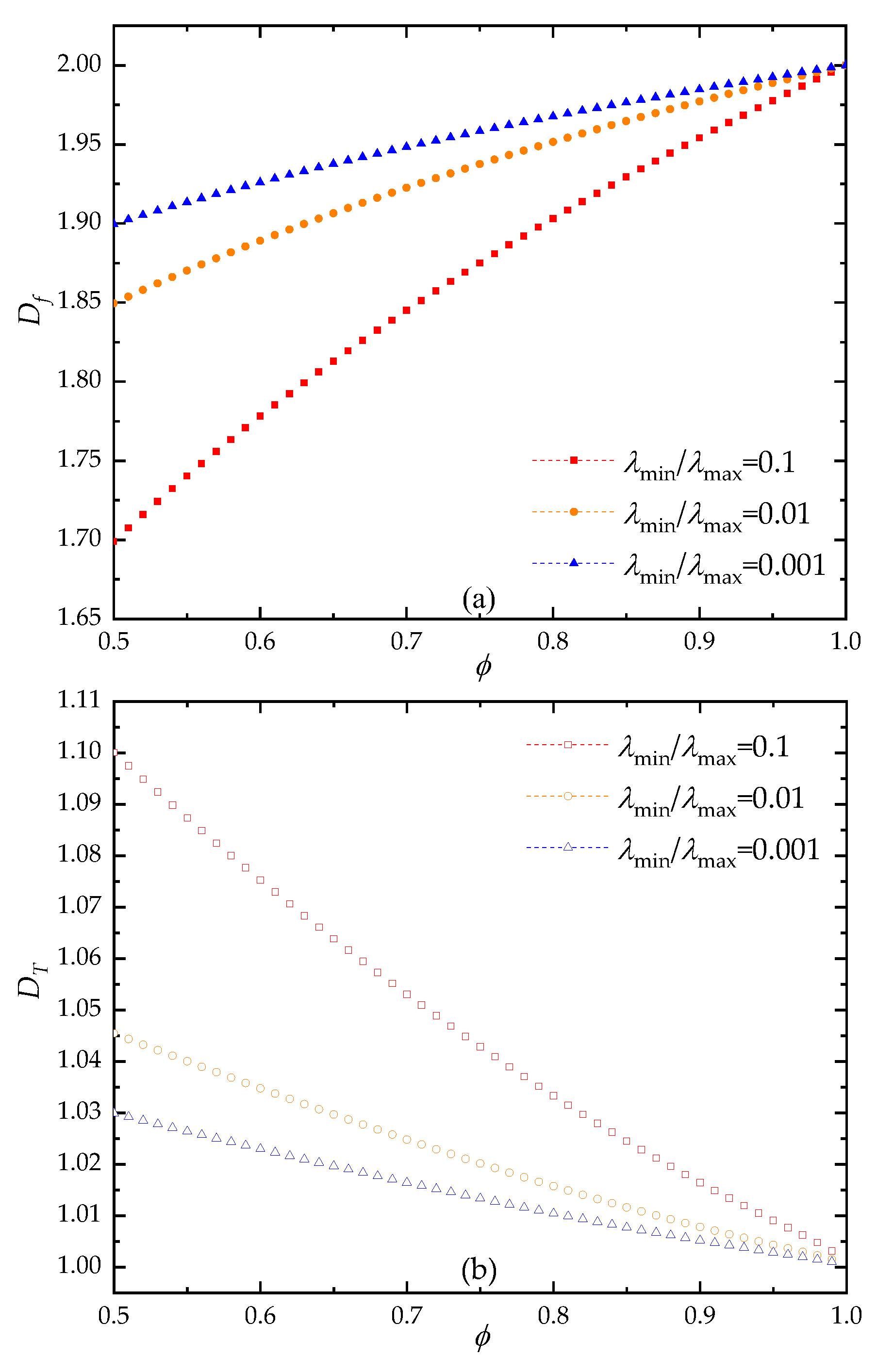
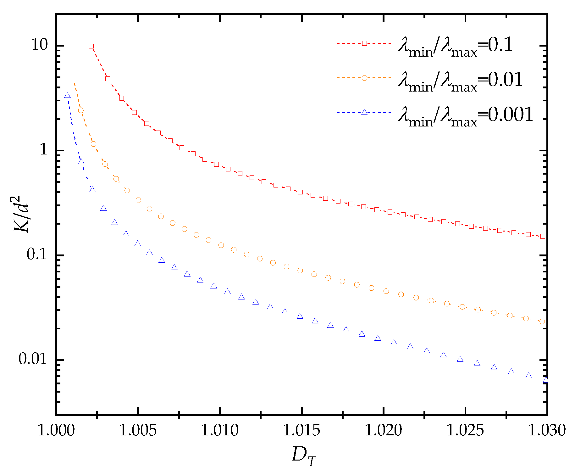
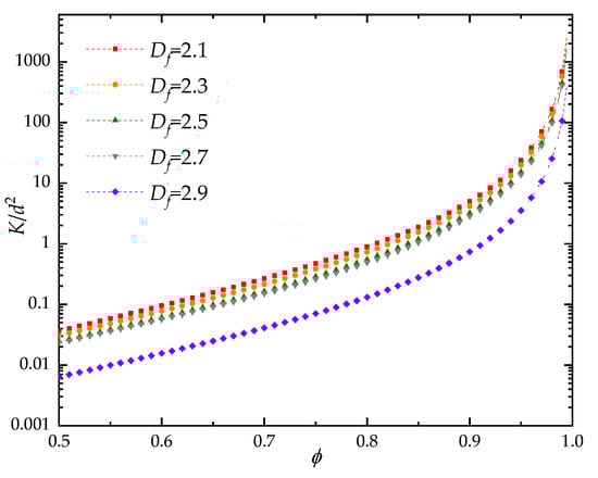
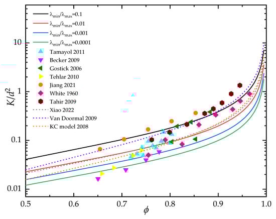
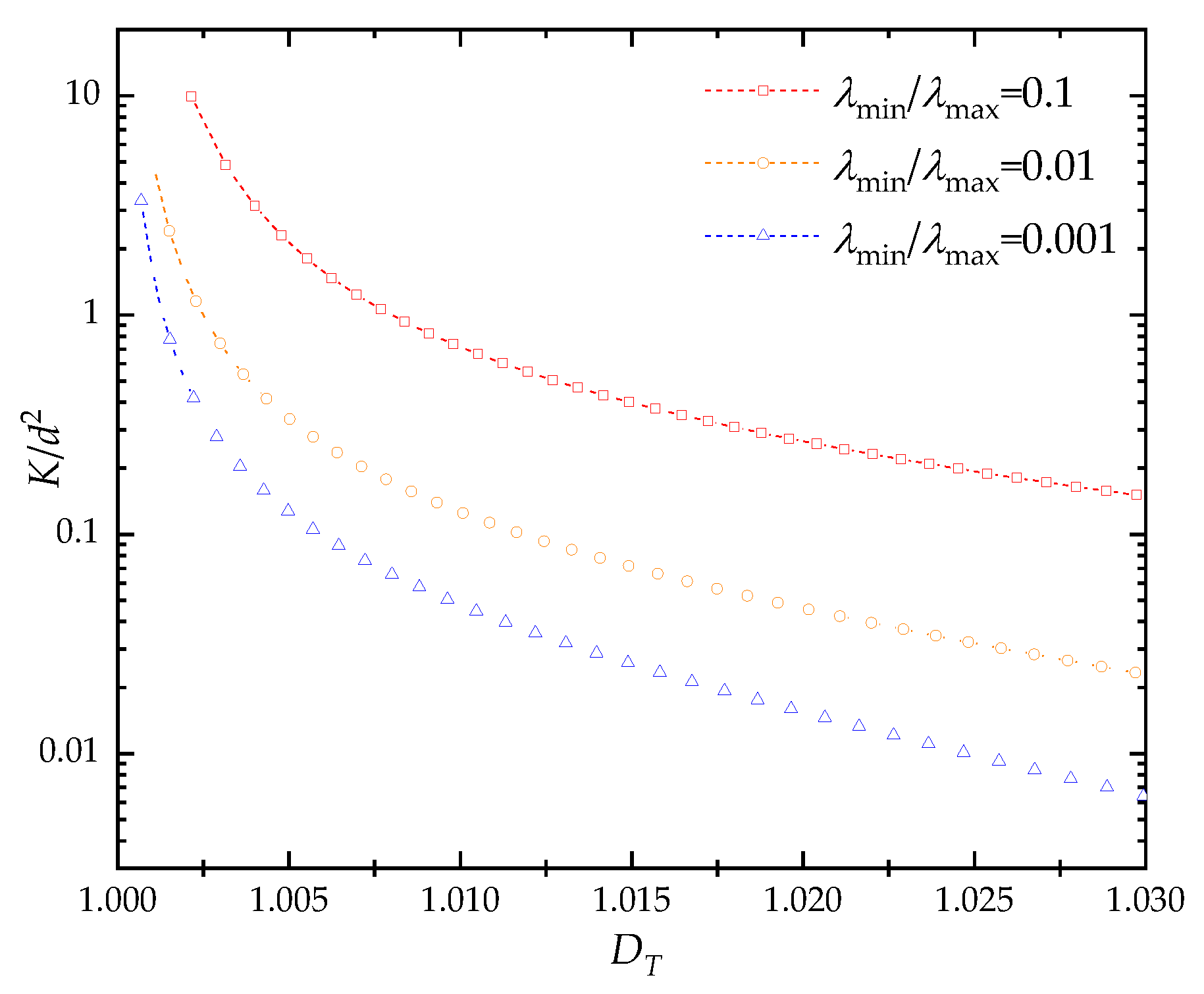
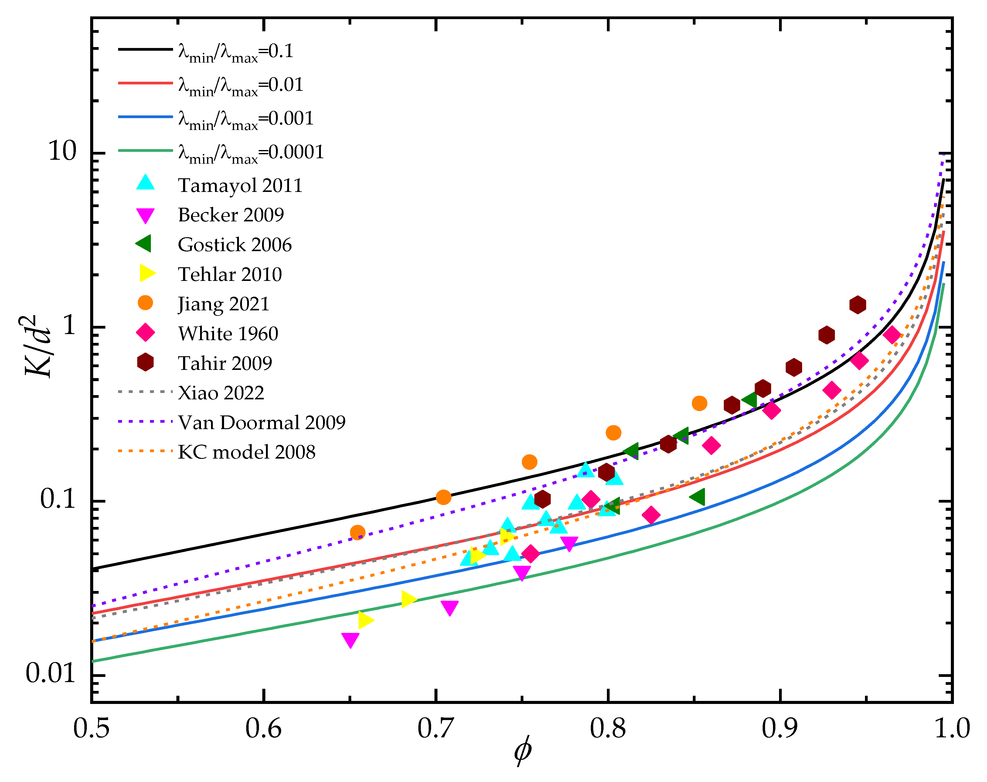
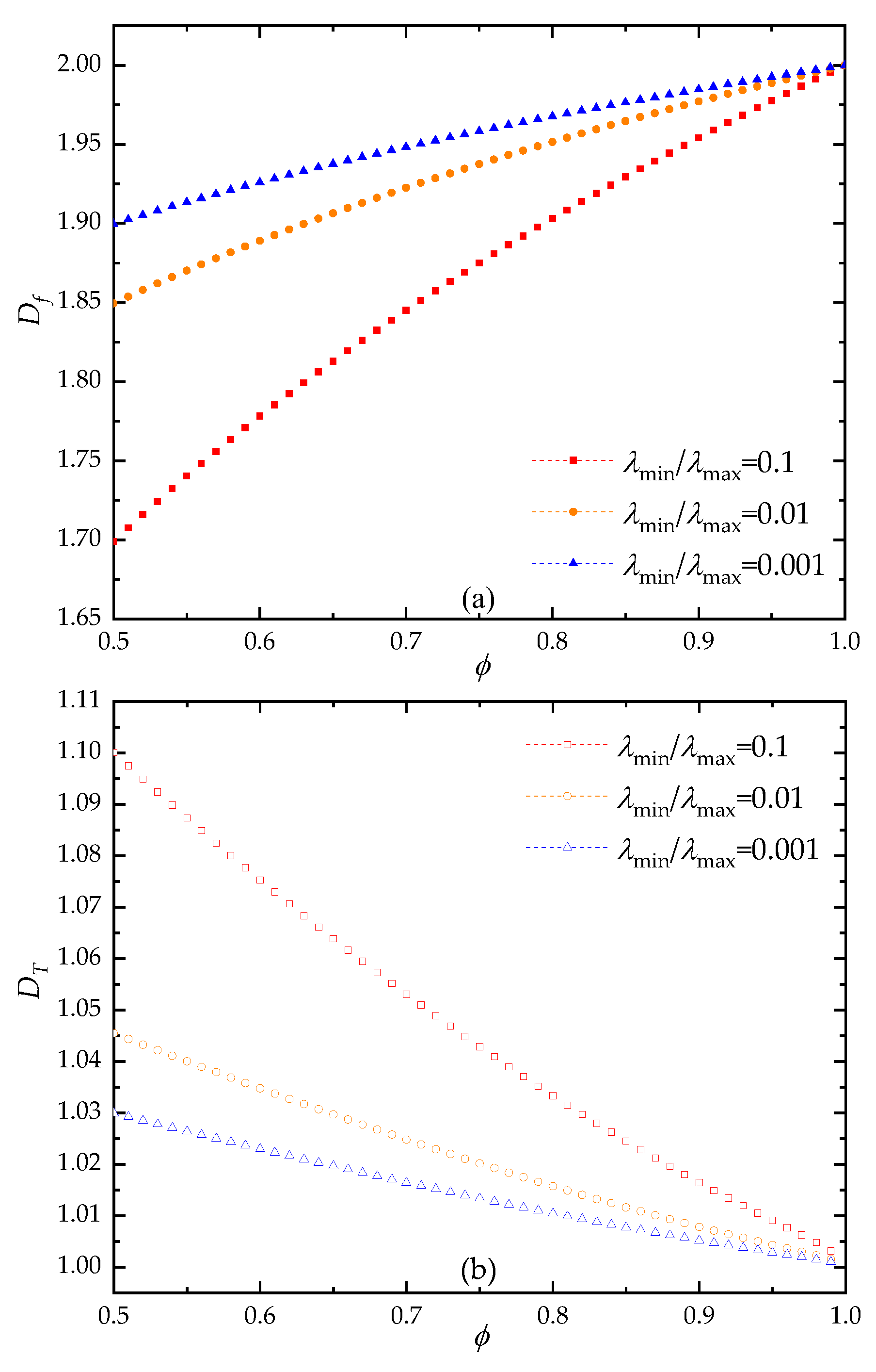
4. Results and Discussion
5. Conclusions
Author Contributions
Funding
Data Availability Statement
Conflicts of Interest
Appendix A
Appendix A.1. Pore Size
Appendix A.1.1. Average Pore Size
Appendix A.1.2. Maximum Pore Size

Appendix A.2. Fractal Tortuosity
Appendix A.2.1. The Square Arrangement (asRDS)
Appendix A.2.2. The Triangular Arrangement (taRDS)
Appendix A.3. Numerical Reconstruction

References
- Yang, X.; Guo, J.; Yang, B.; Cheng, H.; Wei, P.; He, Y.-L. Design of non-uniformly distributed annular fins for a shell-and-tube thermal energy storage unit. Appl. Energy 2020, 279, 115772. [Google Scholar] [CrossRef]
- Huang, Q.; Huang, Y.; Gao, S.; Zhang, M.; Xiao, C. Novel Ultrafine Fibrous Poly(tetrafluoroethylene) Hollow Fiber Membrane Fabricated by Electrospinning. Polymers 2018, 10, 464. [Google Scholar] [CrossRef] [PubMed]
- Shojaeefard, M.; Molaeimanesh, G.; Nazemian, M.; Moqaddari, M. A review on microstructure reconstruction of PEM fuel cells porous electrodes for pore scale simulation. Int. J. Hydrogen Energy 2016, 41, 20276–20293. [Google Scholar] [CrossRef]
- Rubino, F.; Carlone, P. A Semi-Analytical Model to Predict Infusion Time and Reinforcement Thickness in VARTM and SCRIMP Processes. Polymers 2018, 11, 20. [Google Scholar] [CrossRef] [PubMed]
- Niu, Z.; Pinfield, V.J.; Wu, B.; Wang, H.; Jiao, K.; Leung, D.Y.C.; Xuan, J. Towards the digitalisation of porous energy materials: Evolution of digital approaches for microstructural design. Energy Environ. Sci. 2021, 14, 2549–2576. [Google Scholar] [CrossRef]
- Kandler, G.; Lukacevic, M.; Füssl, J. An algorithm for the geometric reconstruction of knots within timber boards based on fibre angle measurements. Constr. Build. Mater. 2016, 124, 945–960. [Google Scholar] [CrossRef]
- Wu, H.; Chen, G.; Yang, Z.; Shen, D.; Yap, P.T. Accelerating global tractography using parallel Markov chain Monte Carlo. In Proceedings of the MICCAI Workshop on Computational Diffusion MRI, Munich, Germany, 9 October 2015. [Google Scholar]
- Yang, T.; Saati, F.; Groby, J.-P.; Xiong, X.; Petrů, M.; Mishra, R.; Militký, J.; Marburg, S. Characterization on Polyester Fibrous Panels and Their Homogeneity Assessment. Polymers 2020, 12, 2098. [Google Scholar] [CrossRef] [PubMed]
- Wang, M.; Pan, N. Predictions of effective physical properties of complex multiphase materials. Mater. Sci. Eng. R Rep. 2008, 63, 1–30. [Google Scholar] [CrossRef]
- Tahmasebi, P.; Sahimi, M. Enhancing multiple-point geostatistical modeling: 1. Graph theory and pattern adjustment. Water Resour. Res. 2016, 52, 2074–2098. [Google Scholar] [CrossRef]
- Huang, X.; Zhou, W.; Deng, D. Validation of pore network modeling for determination of two-phase transport in fibrous porous media. Sci. Rep. 2020, 10, 20852. [Google Scholar] [CrossRef]
- Cho, H.; Jeong, N.; Sung, H.J. Permeability of microscale fibrous porous media using the lattice Boltzmann method. Int. J. Heat Fluid Flow 2013, 44, 435–443. [Google Scholar] [CrossRef]
- Borner, A.; Panerai, F.; Mansour, N.N. High temperature permeability of fibrous materials using direct simulation Monte Carlo. Int. J. Heat Mass Transf. 2016, 106, 1318–1326. [Google Scholar] [CrossRef]
- Stylianopoulos, T.; Yeckel, A.; Derby, J.J.; Luo, X.-J.; Shephard, M.S.; Sander, E.A.; Barocas, V.H. Permeability calculations in three-dimensional isotropic and oriented fiber networks. Phys. Fluids 2008, 20, 123601. [Google Scholar] [CrossRef]
- Xie, T.; He, Y.-L. Heat transfer characteristics of silica aerogel composite materials: Structure reconstruction and numerical modeling. Int. J. Heat Mass Transf. 2016, 95, 621–635. [Google Scholar] [CrossRef]
- Hosseinalipou, S.M.; Namazi, M. Pore-scale numerical study of flow and conduction heat transfer in fibrous porous media. J. Mech. Sci. Technol. 2019, 33, 2307–2317. [Google Scholar] [CrossRef]
- Xu, J.; Liu, Y.; Li, J.; Shen, W.; Corriou, J.-P. Statistical Reconstruction of 3D Paper Structure Using Simulated Annealing Algorithm Based on 2D Scanning Electron Microscopy Image. J. Nat. Fibers 2022, 1–16. [Google Scholar] [CrossRef]
- Shi, X.; Jiao, D.; Bao, Z.; Jiao, K.; Chen, W.; Liu, Z. Liquid transport in gas diffusion layer of proton exchange membrane fuel cells: Effects of micro-porous layer cracks. Int. J. Hydrogen Energy 2022, 47, 6247–6258. [Google Scholar] [CrossRef]
- Pradhan, A.K.; Das, D.; Chattopadhyay, R.; Singh, S. Effect of 3D fiber orientation distribution on transverse air permeability of fibrous porous media. Powder Technol. 2012, 221, 101–104. [Google Scholar] [CrossRef]
- Gostick, J.T. Versatile and efficient pore network extraction method using marker-based watershed segmentation. Phys. Rev. E 2017, 96, 023307. [Google Scholar] [CrossRef]
- Wang, M.; He, J.; Yu, J.; Pan, N. Lattice Boltzmann modeling of the effective thermal conductivity for fibrous materials. Int. J. Therm. Sci. 2006, 46, 848–855. [Google Scholar] [CrossRef]
- Zhang, Y.; Liu, J.; Luan, T.; Gao, Y.; Mostaghimi, J. Prediction of flow characteristics in fibrous porous medium using a novel modeling algorithm and lattice Boltzmann method. Chem. Eng. Sci. 2020, 221, 115647. [Google Scholar] [CrossRef]
- Caglar, B.; Broggi, G.; Ali, M.A.; Orgéas, L.; Michaud, V. Deep learning accelerated prediction of the permeability of fibrous microstructures. Compos. Part A Appl. Sci. Manuf. 2022, 158, 106973. [Google Scholar] [CrossRef]
- Wen, Z.; Wang, Q.; Ren, J.; Zhang, L.; Yuan, Y. Dynamic Gas Diffusion Model of Capillary Pores in a Coal Particle Based on Pore Fractal Characteristics. Transp. Porous Media 2021, 140, 581–601. [Google Scholar] [CrossRef]
- Lyu, L.; Liu, Y.; Bi, J.; Guo, J. Sound Absorption Properties of DFs/EVA Composites. Polymers 2019, 11, 811. [Google Scholar] [CrossRef] [PubMed]
- Lv, J.; Xu, H.; Zhu, M.; Dai, Y.; Liu, H.; Li, Z. The performance and model of porous materials in the indirect evaporative cooling system: A review. J. Build. Eng. 2021, 41, 102741. [Google Scholar] [CrossRef]
- Liu, L.; Ji, L.; Guo, F.; Yu, J. Prediction of the vertical permeability of needle-punched nonwoven geotextiles by fractal geometry theory. Geosynth. Int. 2011, 18, 169–177. [Google Scholar] [CrossRef]
- Shi, X.; Yuang, H. Fractal modeling for capillary flow through fiber bundle. J. Text. Inst. 2012, 103, 34–39. [Google Scholar] [CrossRef]
- Zhu, Q.; Yang, W.; Wang, G.; Yu, H. A study on capillary actions of power-law fluids in porous fibrous materials via W-M function. Int. J. Heat Mass Transf. 2018, 129, 255–264. [Google Scholar] [CrossRef]
- Xu, P.; Yu, M.; Qiu, S.; Yu, B. Monte Carlo simulation of a two-phase flow in an unsaturated porous media. Therm. Sci. 2012, 16, 1382–1385. [Google Scholar] [CrossRef]
- Zhu, Q.; Zhuang, Y.; Yu, H. An analytical permeability model for power-law fluids in porous fibrous media with consideration of electric double layer. Int. J. Heat Mass Transf. 2015, 91, 255–263. [Google Scholar] [CrossRef]
- Xiao, B.; Wang, W.; Zhang, X.; Long, G.; Fan, J.; Chen, H.; Deng, L. A novel fractal solution for permeability and Kozeny-Carman constant of fibrous porous media made up of solid particles and porous fibers. Powder Technol. 2019, 349, 92–98. [Google Scholar] [CrossRef]
- Xu, Z.-J.; Wang, Q.-H.; Yang, S.; Li, J.-R. Active multi-scale modeling and gas permeability study of porous metal fiber sintered felt for proton exchange membrane fuel cells. Int. J. Hydrogen Energy 2016, 41, 7393–7407. [Google Scholar] [CrossRef]
- Shou, D.; Fan, J.; Ding, F. A difference-fractal model for the permeability of fibrous porous media. Phys. Lett. A 2010, 374, 1201–1204. [Google Scholar] [CrossRef]
- Wang, F.; Schiller, U.D. Computational characterization of nonwoven fibrous media: I. Pore-network extraction and morphological analysis. Phys. Rev. Mater. 2020, 4, 083803. [Google Scholar] [CrossRef]
- Lu, J.; Jang, H.K.; Lee, S.B.; Hwang, W.R. Characterization on the anisotropic slip for flows over unidirectional fibrous porous media for advanced composites manufacturing. Compos. Part A Appl. Sci. Manuf. 2017, 100, 9–19. [Google Scholar] [CrossRef]
- Didari, S.; Asadi, A.; Wang, Y.; Harris, T.A. Modeling of composite fibrous porous diffusion media. Int. J. Hydrogen Energy 2014, 39, 9375–9386. [Google Scholar] [CrossRef]
- Woudberg, S. Permeability prediction of an analytical pore-scale model for layered and isotropic fibrous porous media. Chem. Eng. Sci. 2017, 164, 232–245. [Google Scholar] [CrossRef]
- Shou, D.; Ye, L.; Fan, J. Gas transport properties of electrospun polymer nanofibers. Polymer 2014, 55, 3149–3155. [Google Scholar] [CrossRef]
- Sadeghifar, H. In-plane and through-plane local and average Nusselt numbers in fibrous porous materials with different fiber layer temperatures: Gas diffusion layers for fuel cells. J. Power Source 2016, 325, 311–321. [Google Scholar] [CrossRef]
- Emami, B.; Fotovati, S.; Amrei, M.; Tafreshi, H.V. On the effects of fiber orientation in permeability of fibrous media to power-law fluids. Int. J. Heat Mass Transf. 2013, 60, 375–379. [Google Scholar] [CrossRef]
- Feng, S. Permeability models of 0°/45° alternating multilayer fabrics considering the effect of layer shift. J. Reinf. Plast. Comp. 2017, 36, 163–175. [Google Scholar] [CrossRef]
- Du Plessis, J. Saturated crossflow through a two-dimensional porous medium. Adv. Water Resour. 1991, 14, 131–137. [Google Scholar] [CrossRef]
- Patel, V.M.; Talukdar, P. Evaluation of radiative properties of a representative foam structure using blocked-off region approach integrated with finite volume method. Int. J. Therm. Sci. 2016, 108, 89–99. [Google Scholar] [CrossRef]
- Plessis, J.P.D.; Masilyah, J.H. Mathematical modelling of flow through consolidated isotropic porous media. Transp. Porous Media 1988, 3, 145–161. [Google Scholar] [CrossRef]
- Xiao, T.; Yang, X.; Hooman, K.; Lu, T.J. Analytical fractal models for permeability and conductivity of open-cell metallic foams. Int. J. Heat Mass Transf. 2021, 177, 121509. [Google Scholar] [CrossRef]
- Pan, Y.; Xu, G.; Li, W.; Zhong, C. A novel numerical cubic filament model and method for the two-energy equation in porous media. Int. J. Heat Mass Transf. 2015, 80, 688–697. [Google Scholar] [CrossRef]
- Yu, B.; Chen, P. A fractal permeability model for bi-dispersed porous media. Int. J. Heat Mass Transf. 2002, 45, 2983–2993. [Google Scholar] [CrossRef]
- Zheng, Q.; Fan, J.; Xu, C. Fractal Model of Gas Diffusion Through Porous Fibrous Materials with Rough Surfaces. Fractals 2018, 26, 1850065. [Google Scholar] [CrossRef]
- Goudarzi, B.; Mohammadmoradi, P.; Kantzas, A. Direct pore-level examination of hydraulic-electric analogy in unconsolidated porous media. J. Pet. Sci. Eng. 2018, 165, 811–820. [Google Scholar] [CrossRef]
- Duda, A.; Koza, Z.; Matyka, M. Hydraulic tortuosity in arbitrary porous media flow. Phys. Rev. E 2011, 84, 036319. [Google Scholar] [CrossRef]
- Wu, J.; Yu, B.; Yun, M. A resistance model for flow through porous media. Transp. Porous Media 2008, 71, 331–343. [Google Scholar] [CrossRef]
- Yun, M.; Yu, B.; Xu, P.; Wu, J. Geometrical Models for Tortuosity of Streamlines in Three-Dimensional Porous Media. Can. J. Chem. Eng. 2008, 84, 301–309. [Google Scholar] [CrossRef]
- Khabbazi, A.E.; Hinebaugh, J.; Bazylak, A. Analytical tortuosity–porosity correlations for Sierpinski carpet fractal geometries. Chaos Solitons Fractals 2015, 78, 124–133. [Google Scholar] [CrossRef]
- Patzek, T.; Silin, D. Shape Factor and Hydraulic Conductance in Noncircular Capillaries: I. One-phase creeping flow. J. Colloid Interface Sci. 2001, 236, 295–304. [Google Scholar] [CrossRef]
- Tamayol, A.; McGregor, F.; Bahrami, M. Through-plane gas permeability of proton exchange membrane fuel cell gas diffusion layers. In Proceedings of the International Conference on Fuel Cell Science, Engineering and Technology, Washington, DC, USA, 7 August 2011. [Google Scholar]
- Becker, J.; Fluckiger, R.; Reum, M.; Buchi, F.N.; Marone, F.; Stampanoni, M. Determination of material properties of gas diffusion layers: Experiments and simulations using phase contrast tomographic microscopy. J. Electrochem. Soc. 2009, 156, B1175–B1181. [Google Scholar] [CrossRef]
- Gostick, J.T.; Fowler, M.W.; Pritzker, M.D.; Ioannidis, M.A.; Behra, L.M. In-plane and through-plane gas permeability of carbon fiber electrode backing layers. J. Power Source 2006, 162, 228–238. [Google Scholar] [CrossRef]
- Tehlar, D.; Flückiger, R.; Wokaun, A.; Büchi, F.N. Investigation of Channel-to-Channel Cross Convection in Serpentine Flow Fields. Fuel Cells 2010, 10, 1040–1049. [Google Scholar] [CrossRef]
- Jiang, Z.; Yang, G.; Li, S.; Shen, Q.; Liao, J.; Wang, H.; Espinoza-Andaluz, M.; Ying, R.; Pan, X. Study of the anisotropic permeability of proton exchange membrane fuel cell gas diffusion layer by lattice Boltzmann method. Comput. Mater. Sci. 2021, 190, 110286. [Google Scholar] [CrossRef]
- White, M.L. The Permeability of an Acrylamide Polymer Gel. J. Phys. Chem. 1960, 64, 1563–1565. [Google Scholar] [CrossRef]
- Tahir, M.A.; Tafreshi, H.V. Influence of fiber orientation on the transverse permeability of fibrous media. Phys. Fluids 2009, 21, 083604. [Google Scholar] [CrossRef]
- Xiao, T.; Guo, J.; Yang, X.; Hooman, K.; Lu, T.J. On the modelling of heat and fluid transport in fibrous porous media: Analytical fractal models for permeability and thermal conductivity. Int. J. Therm. Sci. 2022, 172, 107270. [Google Scholar] [CrossRef]
- Van Doormal, M.A.; Pharoach, J.G. Determination of permeability of fibrous porous media using the lattice Boltzmann method with application to PEM fuel cells. Int. J. Numer. Methods Fluids 2009, 59, 75–89. [Google Scholar] [CrossRef]
- Xu, P.; Yu, B. Developing a new form of permeability and Kozeny–Carman constant for homogeneous porous media by means of fractal geometry. Adv. Water Resour. 2008, 31, 74–81. [Google Scholar] [CrossRef]
- Sodeifian, G. Non-Linear Rheology of Polymer Melts; LAP Lambert Academic Publishing: Saarbrücken, Germany, 2011; pp. 1–152. [Google Scholar]










| Porosity | Numerical Model | Equation (2) | Surface Df | Simulated K/d2 | Predicted K/d2 | Error of K/d2 |
|---|---|---|---|---|---|---|
| 0.95 | ![]() | 1.9440 | 1.9462 | 1.948825 | 2.01195 | 3.239% |
![]() | 1.9452 | 1.996975 | 0.749% | |||
![]() | 1.9496 | 1.925575 | 4.486% | |||
| 0.90 | ![]() | 1.8850 | 1.8922 | 0.813475 | 0.8313 | 2.191% |
![]() | 1.8802 | 0.852175 | 2.449% | |||
![]() | 1.8783 | 0.8563 | 2.919% | |||
| 0.85 | ![]() | 1.8226 | 1.8284 | 0.45715 | 0.702% | |
![]() | 1.8349 | 0.4474 | 0.46036 | 2.897% | ||
![]() | 1.8168 | 0.46995 | 2.041% |
Publisher’s Note: MDPI stays neutral with regard to jurisdictional claims in published maps and institutional affiliations. |
© 2022 by the authors. Licensee MDPI, Basel, Switzerland. This article is an open access article distributed under the terms and conditions of the Creative Commons Attribution (CC BY) license (https://creativecommons.org/licenses/by/4.0/).
Share and Cite
Xu, Y.; Xu, L.; Qiu, S.; Jiang, Z.; Rao, B.; Xu, P. A Study on the Through-Plane Permeability of Anisotropic Fibrous Porous Material by Fractal Stochastic Method. Materials 2022, 15, 8064. https://doi.org/10.3390/ma15228064
Xu Y, Xu L, Qiu S, Jiang Z, Rao B, Xu P. A Study on the Through-Plane Permeability of Anisotropic Fibrous Porous Material by Fractal Stochastic Method. Materials. 2022; 15(22):8064. https://doi.org/10.3390/ma15228064
Chicago/Turabian StyleXu, Yao, Lianlian Xu, Shuxia Qiu, Zhouting Jiang, Binqi Rao, and Peng Xu. 2022. "A Study on the Through-Plane Permeability of Anisotropic Fibrous Porous Material by Fractal Stochastic Method" Materials 15, no. 22: 8064. https://doi.org/10.3390/ma15228064
APA StyleXu, Y., Xu, L., Qiu, S., Jiang, Z., Rao, B., & Xu, P. (2022). A Study on the Through-Plane Permeability of Anisotropic Fibrous Porous Material by Fractal Stochastic Method. Materials, 15(22), 8064. https://doi.org/10.3390/ma15228064










