PEO-Based Block Copolymer Electrolytes Containing Double Conductive Phases with Improved Mechanical and Electrochemical Properties
Abstract
:1. Introduction
2. Materials and Methods
2.1. Materials
2.2. Synthesis of PEO-b-PDM BCPs
2.3. Synthesis of PEO-b-PDM-dTFSI Charged BCPs
2.4. Fabrication of Solid-State Block Copolymer Electrolytes
2.5. Battery Assembly
2.6. Characterizations
3. Results and Discussion
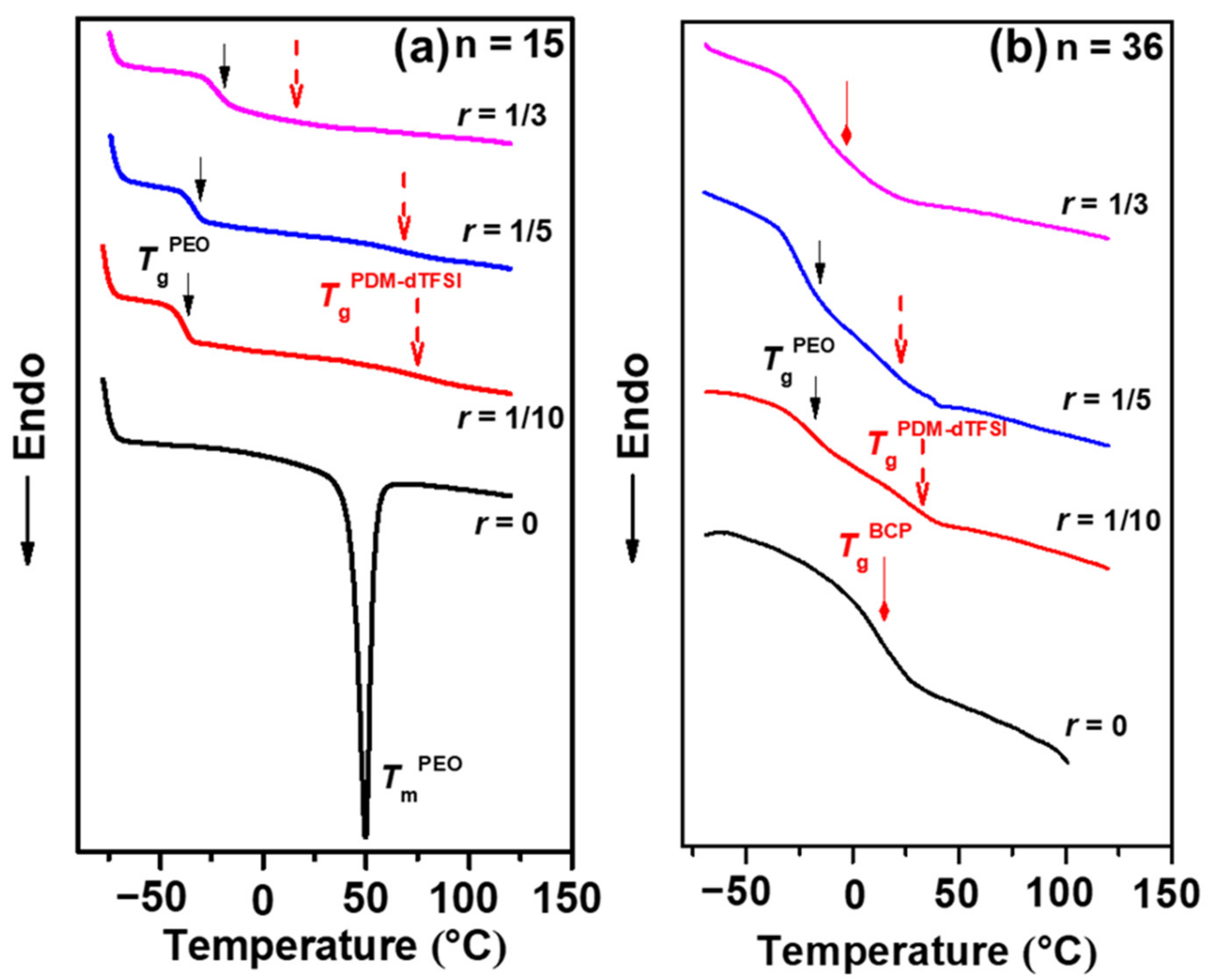
3.1. Thermal and Phase Behavior of the PEO-b-PDM-dTFSI/LiTFSI Electrolytes
3.2. Mechanical Properties of the PEO-b-PDM-dTFSI/LiTFSI Electrolytes
3.3. Electrochemical Properties of the PEO-b-PDM-dTFSI/LiTFSI Electrolytes
4. Conclusions
Supplementary Materials
Author Contributions
Funding
Institutional Review Board Statement
Informed Consent Statement
Data Availability Statement
Conflicts of Interest
References
- Yue, L.P.; Ma, J.; Zhang, J.J.; Zhao, J.W.; Dong, S.M.; Liu, Z.H.; Cui, G.L.; Chen, L.Q. All Solid-State Polymer Electrolytes for High-Performance Lithium Ion Batteries. Energy Storage Mater. 2016, 5, 139–164. [Google Scholar]
- Piglowska, M.; Kurc, B.; Galinski, M.; Fuc, P.; Kaminska, M.; Szymlet, N.; Daszkiewicz, P. Challenges for Safe Electrolytes Applied in Lithium-Ion Cells—A Review. Materials 2021, 14, 6783–6834. [Google Scholar]
- Zhang, Z.J.; Zhang, P.; Liu, Z.J.; Du, B.Y.; Peng, Z.Q. A Novel Zwitterionic Ionic Liquid-Based Electrolyte for More Efficient and Safer Lithium-Sulfur Batteries. ACS Appl. Mater. Interfaces 2020, 12, 11635–11642. [Google Scholar]
- Qiu, J.L.; Liu, X.Y.; Chen, R.S.; Li, Q.H.; Wang, Y.; Chen, P.H.; Gan, L.Y.; Lee, S.J.; Nordlund, D.; Liu, Y.J.; et al. Enabling Stable Cycling of 4.2 V High-Voltage All-Solid-State Batteries with PEO-Based Solid Electrolyte. Adv. Funct. Mater. 2020, 30, 1909392. [Google Scholar]
- Guan, Z.L.; Zhang, Z.J.; Du, B.Y.; Peng, Z.Q. A Non-Flammable Zwitterionic Ionic Liquid/Ethylene Carbonate Mixed Electrolyte for Lithium-Ion Battery with Enhanced Safety. Materials 2021, 14, 4225–4235. [Google Scholar]
- Li, J.H.; Cai, Y.F.; Wu, H.M.; Yu, Z.A.; Yan, X.Z.; Zhang, Q.H.; Gao, T.Z.; Liu, K.; Jia, X.D.; Bao, Z.N. Polymers in Lithium-Ion and Lithium Metal Batteries. Adv. Energy Mater. 2021, 11, 2003239. [Google Scholar]
- Wang, J.R.; Li, S.Q.; Zhao, Q.; Song, C.S.; Xue, Z.G. Structure Code for Advanced Polymer Electrolyte in Lithium-Ion Batteries. Adv. Funct. Mater. 2020, 31, 2008208. [Google Scholar]
- Long, L.Z.; Wang, S.J.; Xiao, M.; Meng, Y.Z. Polymer Electrolytes for Lithium Polymer Batteries. J. Mater. Chem. A 2016, 4, 10038–10069. [Google Scholar]
- Xue, Z.G.; He, D.; Xie, X.L. Poly(ethylene oxide)-Based Electrolytes for Lithium-Ion Batteries. J. Mater. Chem. A 2015, 3, 19218–19253. [Google Scholar]
- Mindemark, J.; Lacey, M.J.; Bowden, T.; Brandell, D. Beyond PEO—Alternative Host Materials for Li+-Conducting Solid Polymer Electrolytes. Prog. Polym. Sci. 2018, 81, 114–143. [Google Scholar]
- Fenton, D.E.; Parker, J.M.; Wright, P.V. Complexes of Alkali Metal Ions with Poly(ethylene oxide). Polymer 1973, 14, 589. [Google Scholar]
- Yang, L.Y.; Wang, Z.J.; Feng, Y.C.; Tan, R.; Zuo, Y.X.; Gao, R.T.; Zhao, Y.; Han, L.; Wang, Z.Q.; Pan, F. Flexible Composite Solid Electrolyte Facilitating Highly Stable “Soft Contacting” Li-Electrolyte Interface for Solid State Lithium-Ion Batteries. Adv. Energy Mater. 2017, 7, 1701437. [Google Scholar]
- Wei, Z.Y.; Chen, S.J.; Wang, J.Y.; Wang, Z.H.; Zhang, Z.H.; Yao, X.Y.; Deng, Y.H.; Xu, X.X. Superior Lithium Ion Conduction of Polymer Electrolyte with Comb-Like Structure Via Solvent-Free Copolymerization for Bipolar All-Solid-State Lithium Battery. J. Mater. Chem. A 2018, 6, 13438–13447. [Google Scholar]
- Sun, Y.X.; Zhang, X.R.; Ma, C.H.; Guo, N.; Liu, Y.L.; Liu, J.; Xie, H.M. Fluorine-Containing Triblock Copolymers as Solid-State Polymer Electrolytes for Lithium Metal Batteries. J. Power Sources 2021, 516, 230686. [Google Scholar]
- Bates, C.M.; Bates, F.S. 50th Anniversary Perspective: Block Polymers—Pure Potential. Macromolecules 2016, 50, 3–22. [Google Scholar]
- Orilall, M.C.; Wiesner, U. Block Copolymer Based Composition and Morphology Control in Nanostructured Hybrid Materials for Energy Conversion and Storage: Solar Cells, Batteries, and Fuel Cells. Chem. Soc. Rev. 2011, 40, 520–535. [Google Scholar]
- Xue, F.F.; Jiang, S.C. Elements of Functional Ion/Block Copolymer Hybrids. RSC Adv. 2013, 3, 23895. [Google Scholar]
- Young, W.S.; Kuan, W.F.; Epps, T.H. Block Copolymer Electrolytes for Rechargeable Lithium Batteries. J. Polym. Sci. Part B Polym. Phys. 2014, 52, 1–16. [Google Scholar]
- Wang, R.Y.; Park, M.J. Self-Assembly of Block Copolymers with Tailored Functionality: From the Perspective of Intermolecular Interactions. Annu. Rev. Mater. Res. 2020, 50, 521–549. [Google Scholar]
- Zhai, L.; Chai, S.C.; Wang, G.; Zhang, W.; He, H.B.; Li, H.L. Triblock Copolymer/Polyoxometalate Nanocomposite Electrolytes with Inverse Hexagonal Cylindrical Nanostructures. Macromol. Rapid Commun. 2020, 41, 2000438. [Google Scholar]
- Young, W.S.; Epps, T.H. Ionic Conductivities of Block Copolymer Electrolytes with Various Conducting Pathways: Sample Preparation and Processing Considerations. Macromolecules 2012, 45, 4689–4697. [Google Scholar]
- Jung, H.Y.; Mandal, P.; Jo, G.; Kim, O.; Kim, M.; Kwak, K.; Park, M.J. Modulating Ion Transport and Self-Assembly of Polymer Electrolytes Via End-Group Chemistry. Macromolecules 2017, 50, 3224–3233. [Google Scholar]
- Mizuno, H.; Hashimoto, K.; Tamate, R.; Kokubo, H.; Ueno, K.; Li, X.; Watanabe, M. Microphase-Separated Structures of Ion Gels Consisting of ABA-type Block Copolymers and an Ionic Liquid: A Key to Escape from the Trade-Off between Mechanical and Transport Properties. Polymer 2020, 206, 122849. [Google Scholar]
- Chintapalli, M.; Le, T.N.P.; Venkatesan, N.R.; Mackay, N.G.; Rojas, A.A.; Thelen, J.L.; Chen, X.C.; Devaux, D.; Balsara, N.P. Structure and Ionic Conductivity of Polystyrene-block-poly(ethylene oxide) Electrolytes in the High Salt Concentration Limit. Macromolecules 2016, 49, 1770–1780. [Google Scholar]
- Zhu, J.; Zhang, Z.; Zhao, S.; Westover, A.S.; Belharouak, I.; Cao, P.F. Single-Ion Conducting Polymer Electrolytes for Solid-State Lithium–Metal Batteries: Design, Performance, and Challenges. Adv. Energy Mater. 2021, 11, 2003836. [Google Scholar]
- Lingua, G.; Grysan, P.; Vlasov, P.S.; Verge, P.; Shaplov, A.S.; Gerbaldi, C. Unique Carbonate-Based Single Ion Conducting Block Copolymers Enabling High-Voltage, All-Solid-State Lithium Metal Batteries. Macromolecules 2021, 54, 6911–6924. [Google Scholar]
- Porcarelli, L.; Shaplov, A.S.; Salsamendi, M.; Nair, J.R.; Vygodskii, Y.S.; Mecerreyes, D.; Gerbaldi, C. Single-Ion Block Copoly(ionic liquid)s as Electrolytes for All-Solid State Lithium Batteries. ACS Appl. Mater. Interfaces 2016, 8, 10350–10359. [Google Scholar]
- Feng, S.W.; Shi, D.Y.; Liu, F.; Zheng, L.P.; Nie, J.; Feng, W.F.; Huang, X.J.; Armand, M.; Zhou, Z.B. Single Lithium-Ion Conducting Polymer Electrolytes Based on Poly[(4-Styrenesulfonyl)(Trifluoromethanesulfonyl)Imide] Anions. Electrochim. Acta 2013, 93, 254–263. [Google Scholar]
- Plechkova, N.V.; Seddon, K.R. Applications of Ionic Liquids in the Chemical Industry. Chem. Soc. Rev. 2008, 37, 123–150. [Google Scholar]
- Han, J.H.; Lee, J.Y.; Suh, D.H.; Hong, Y.T.; Kim, T.H. Electrode-Impregnable and Cross-Linkable Poly(ethylene oxide)-Poly(Propylene Oxide)-Poly(ethylene oxide) Triblock Polymer Electrolytes with High Ionic Conductivity and a Large Voltage Window for Flexible Solid-State Supercapacitors. ACS Appl. Mater. Interfaces 2017, 9, 33913–33924. [Google Scholar]
- Metwalli, E.; Kaeppel, M.V.; Schaper, S.J.; Kriele, A.; Gilles, R.; Raftopoulos, K.N.; Müller-Buschbaum, P. Conductivity and Morphology Correlations of Ionic-Liquid/Lithium-Salt/Block Copolymer Nanostructured Hybrid Electrolytes. ACS Appl. Energy Mater. 2018, 1, 666–675. [Google Scholar]
- Zhang, R.S.; Chen, Y.F.; Montazami, R. Ionic Liquid-Doped Gel Polymer Electrolyte for Flexible Lithium-Ion Polymer Batteries. Materials 2015, 8, 2735–2748. [Google Scholar]
- Wu, F.; Luo, L.F.; Tang, Z.H.; Liu, D.; Shen, Z.H.; Fan, X.H. Block Copolymer Electrolytes with Excellent Properties in a Wide Temperature Range. ACS Appl. Energy Mater. 2020, 3, 6536–6543. [Google Scholar]
- Kitazawa, Y.; Iwata, K.; Imaizumi, S.; Ahn, H.; Kim, S.Y.; Ueno, K.; Park, M.J.; Watanabe, M. Gelation of Solvate Ionic Liquid by Self-Assembly of Block Copolymer and Characterization as Polymer Electrolyte. Macromolecules 2014, 47, 6009–6016. [Google Scholar]
- Huang, J.; Wang, R.Y.; Tong, Z.Z.; Xu, J.T.; Fan, Z.Q. Influence of Ionic Species on the Microphase Separation Behavior of PCL-b-PEO/Salt Hybrids. Macromolecules 2014, 47, 8359–8367. [Google Scholar]
- Zhang, Z.K.; Ding, S.P.; Zhou, Y.T.; Ye, Z.; Wang, R.Y.; Du, B.Y.; Xu, J.T. Influence of Salt Doping on the Entropy-Driven Lower Disorder-to-Order Transition Behavior of Poly(ethylene oxide-b-Poly(4-vinylpyridine). Macromol. Chem. Phys. 2021, 222, 2100303. [Google Scholar]
- Cao, X.H.; Yang, J.L.; Wang, R.Y.; Zhang, X.H.; Xu, J.T. Microphase Separation of Poly(propylene monothiocarbonate)-b-poly(ethylene oxide) Block Copolymers Induced by Differential Interactions with Salt. Polymer 2019, 180, 121745. [Google Scholar]
- Cao, X.H.; Li, J.H.; Yang, M.J.; Yang, J.L.; Wang, R.Y.; Zhang, X.H.; Xu, J.T. Simultaneous Improvement of Ionic Conductivity and Mechanical Strength in Block Copolymer Electrolytes with Double Conductive Nanophases. Macromol. Rapid Commun. 2020, 41, 1900622. [Google Scholar]
- Qian, W.J.; Texter, J.; Yan, F. Frontiers in Poly(ionic liquid)s: Syntheses and Applications. Chem. Soc. Rev. 2017, 46, 1124–1159. [Google Scholar]
- Zhang, Z.J.; Zhang, Y.L.; Du, B.Y.; Peng, Z.Q. Liquid-Like Poly(Ionic Liquid) as Electrolyte for Thermally Stable Lithium-Ion Battery. ACS Omega 2018, 3, 10564–10571. [Google Scholar]
- Wang, X.J.; Goswami, M.; Kumar, R.; Sumpter, B.G.; Mays, J. Morphologies of Block Copolymers Composed of Charged and Neutral Blocks. Soft Matter 2012, 8, 3036–3052. [Google Scholar]
- Choi, J.H.; Ye, Y.S.; Elabd, Y.A.; Winey, K.I. Network Structure and Strong Microphase Separation for High Ion Conductivity in Polymerized Ionic Liquid Block Copolymers. Macromolecules 2013, 46, 5290–5300. [Google Scholar]
- Zhang, Z.; Nasrabadi, A.T.; Aryal, D.; Ganesan, V. Mechanisms of Ion Transport in Lithium Salt-Doped Polymeric Ionic Liquid Electrolytes. Macromolecules 2020, 53, 6995–7008. [Google Scholar]
- Wang, X.E.; Chen, F.F.; Girard, G.M.A.; Zhu, H.J.; MacFarlane, D.R.; Mecerreyes, D.; Armand, M.; Howlett, P.C.; Forsyth, M. Poly(ionic liquid)s-in-Salt Electrolytes with Co-Coordination-Assisted Lithium-Ion Transport for Safe Batteries. Joule 2019, 3, 2687–2702. [Google Scholar]
- Zhou, N.; Wang, Y.F.; Zhou, Y.; Shen, J.Y.; Zhou, Y.; Yang, Y. Star-Shaped Multi-Arm Polymeric Ionic Liquid Based on Tetraalkylammonium Cation as High Performance Gel Electrolyte for Lithium Metal Batteries. Electrochim. Acta 2019, 301, 284–293. [Google Scholar]
- Zhou, Y.; Wang, B.; Yang, Y.; Li, R.; Wang, Y.; Zhou, N.; Shen, J.; Zhou, Y. Dicationic Tetraalkylammonium-Based Polymeric Ionic Liquid with Star and Four-Arm Topologies as Advanced Solid-State Electrolyte for Lithium Metal Battery. React. Funct. Polym. 2019, 145, 104375. [Google Scholar]
- Sharon, D.; Bennington, P.; Webb, M.A.; Deng, C.; de Pablo, J.J.; Patel, S.N.; Nealey, P.F. Molecular Level Differences in Ionic Solvation and Transport Behavior in Ethylene Oxide-Based Homopolymer and Block Copolymer Electrolytes. J. Am. Chem. Soc. 2021, 143, 3180–3190. [Google Scholar]
- Young, W.S.; Albert, J.N.L.; Schantz, A.B.; Epps, T.H. Mixed-Salt Effects on the Ionic Conductivity of Lithium-Doped PEO-Containing Block Copolymers. Macromolecules 2011, 44, 8116–8123. [Google Scholar]
- Lascaud, S.; Perrier, M.; Vallee, A.; Besner, S.; Prud’homme, J.; Armand, M. Phase Diagrams and Conductivity Behavior of Poly(ethylene oxide)-Molten Salt Rubbery Electrolytes. Macromolecules 1994, 27, 7469–7477. [Google Scholar]
- Yoshizawa-Fujita, M.; Ishii, J.; Takeoka, Y.; Rikukawa, M. Oligoether/Zwitterion Diblock Copolymers: Synthesis and Application as Cathode-Coating Material for Li Batteries. Polymers 2021, 13, 800–812. [Google Scholar]
- Niitani, T.; Shimada, M.; Kawamura, K.; Dokko, K.; Rho, Y.H.; Kanamura, K. Synthesis of Li+ Ion Conductive PEO-PSt Block Copolymer Electrolyte with Microphase Separation Structure. Electrochem. Solid-State Lett. 2005, 8, 385–388. [Google Scholar]
- Bouchet, R.; Phan, T.N.T.; Beaudoin, E.; Devaux, D.; Davidson, P.; Bertin, D.; Denoyel, R. Charge Transport in Nanostructured PS–PEO–PS Triblock Copolymer Electrolytes. Macromolecules 2014, 47, 2659–2665. [Google Scholar]
- Zhang, B.H.; Zhang, Y.H.; Zhang, N.; Liu, J.; Cong, L.; Liu, J.; Sun, L.Q.; Mauger, A.; Julien, C.M.; Xie, H.M.; et al. Synthesis and Interface Stability of Polystyrene-Poly(ethylene glycol)-Polystyrene Triblock Copolymer as Solid-State Electrolyte for Lithium-Metal Batteries. J. Power Sources 2019, 428, 93–104. [Google Scholar]
- Diederichsen, K.M.; Buss, H.G.; McCloskey, B.D. The Compensation Effect in the Vogel–Tammann–Fulcher (VTF) Equation for Polymer-Based Electrolytes. Macromolecules 2017, 50, 3831–3840. [Google Scholar]
- Butzelaar, A.J.; Roring, P.; Mach, T.P.; Hoffmann, M.; Jeschull, F.; Wilhelm, M.; Winter, M.; Brunklaus, G.; Theato, P. Styrene-Based Poly(ethylene oxide) Side-Chain Block Copolymers as Solid Polymer Electrolytes for High-Voltage Lithium-Metal Batteries. ACS Appl. Mater. Interfaces 2021, 13, 39257–39270. [Google Scholar]
- Butzelaar, A.J.; Roring, P.; Hoffmann, M.; Atik, J.; Paillard, E.; Wilhelm, M.; Winter, M.; Brunklaus, G.; Theato, P. Advanced Block Copolymer Design for Polymer Electrolytes: Prospects of Microphase Separation. Macromolecules 2021, 54, 11101–11112. [Google Scholar]
- Rosenbach, D.; Mödl, N.; Hahn, M.; Petry, J.; Danzer, M.A.; Thelakkat, M. Synthesis and Comparative Studies of Solvent-Free Brush Polymer Electrolytes for Lithium Batteries. ACS Appl. Energy Mater. 2019, 2, 3373–3388. [Google Scholar]
- Zhang, Q.H.; Huang, H.; Liu, T.M.; Wang, Y.; Yu, J.R.; Hu, Z.M. Molecular Composite Electrolytes of Polybenzimidazole/Polyethylene oxide with Enhanced Safety and Comprehensive Performance for All-Solid-State Lithium Ion Batteries. Polymer 2022, 239, 124450. [Google Scholar]
- Wang, S.; Zhang, L.; Zeng, Q.H.; Liu, X.; Lai, W.Y.; Zhang, L.Y. Cellulose Microcrystals with Brush-Like Architectures as Flexible All-Solid-State Polymer Electrolyte for Lithium-Ion Battery. ACS Sustain. Chem. Eng. 2020, 8, 3200–3207. [Google Scholar]
- Wu, F.; Wen, Z.Y.; Zhao, Z.K.; Bi, J.Y.; Shang, Y.X.; Liang, Y.H.; Li, L.; Chen, N.; Li, Y.J.; Chen, R.J. Double-Network Composite Solid Electrolyte with Stable Interface for Dendrite-Free Li Metal Anode. Energy Storage Mater. 2021, 38, 447–453. [Google Scholar]
- Zhang, Z.K.; Ding, S.P.; Ye, Z.; Xia, D.L.; Xu, J.T. Thermodynamic Understanding the Phase Behavior of Fully Quaternized Poly(ethylene oxide)-B-Poly(4-Vinylpyridine) Block Copolymers. Polymer 2022, 254, 125045. [Google Scholar]









| Samples | Mna (g/mol) | Ɖ b | fPEOc (%) |
|---|---|---|---|
| PEO114-b-PDM15-dTFSI | 17,200 | 1.24 | 33.9 |
| PEO114-b-PDM36-dTFSI | 34,400 | 1.21 | 17.6 |
| PEO114-b-PDM55-dTFSI | 49,900 | 1.19 | 12.3 |
| Samples | fPEO/LiTFSIa (%) | TgPEO (°C) | TgPDM-dTFSI (°C) | TmPEO (°C) |
|---|---|---|---|---|
| PEO114-b-PDM15-dTFSI | 33.9 | n/a | n/a | 49.7 |
| PEO114-b-PDM15-dTFSI-1/10 | 40.3 | −36.8 | 74.2 | n/a |
| PEO114-b-PDM15-dTFSI-1/5 | 45.3 | −31.7 | 67.1 | n/a |
| PEO114-b-PDM15-dTFSI-1/3 | 50.6 | −19.3 | 15.7 | n/a |
| PEO114-b-PDM36-dTFSI | 17.6 | 11.5 | n/a | |
| PEO114-b-PDM36-dTFSI-1/10 | 21.9 | −19.8 | 33.5 | n/a |
| PEO114-b-PDM36-dTFSI-1/5 | 25.7 | −15.1 | 23.3 | n/a |
| PEO114-b-PDM36-dTFSI-1/3 | 29.9 | −3.9 | n/a | |
Publisher’s Note: MDPI stays neutral with regard to jurisdictional claims in published maps and institutional affiliations. |
© 2022 by the authors. Licensee MDPI, Basel, Switzerland. This article is an open access article distributed under the terms and conditions of the Creative Commons Attribution (CC BY) license (https://creativecommons.org/licenses/by/4.0/).
Share and Cite
Zhang, Z.-K.; Ding, S.-P.; Ye, Z.; Xia, D.-L.; Xu, J.-T. PEO-Based Block Copolymer Electrolytes Containing Double Conductive Phases with Improved Mechanical and Electrochemical Properties. Materials 2022, 15, 7930. https://doi.org/10.3390/ma15227930
Zhang Z-K, Ding S-P, Ye Z, Xia D-L, Xu J-T. PEO-Based Block Copolymer Electrolytes Containing Double Conductive Phases with Improved Mechanical and Electrochemical Properties. Materials. 2022; 15(22):7930. https://doi.org/10.3390/ma15227930
Chicago/Turabian StyleZhang, Ze-Kun, Shi-Peng Ding, Ze Ye, Ding-Li Xia, and Jun-Ting Xu. 2022. "PEO-Based Block Copolymer Electrolytes Containing Double Conductive Phases with Improved Mechanical and Electrochemical Properties" Materials 15, no. 22: 7930. https://doi.org/10.3390/ma15227930
APA StyleZhang, Z.-K., Ding, S.-P., Ye, Z., Xia, D.-L., & Xu, J.-T. (2022). PEO-Based Block Copolymer Electrolytes Containing Double Conductive Phases with Improved Mechanical and Electrochemical Properties. Materials, 15(22), 7930. https://doi.org/10.3390/ma15227930

