Predicting the Engineering Properties of Rocks from Textural Characteristics Using Some Soft Computing Approaches
Abstract
1. Introduction
2. Geological Setting and Methodology
3. Results of the Laboratory Investigations
3.1. Mineralogical and Petrographic Studies
3.2. XRD Analysis
3.3. Engineering Properties Evaluation
3.4. Texture Coefficient (TC) Calculation
4. Data Analysis
4.1. Simple Regression Analysis (SRA)
4.2. Multiple Regression Analysis (MRA)
4.3. Artificial Neural Network (ANN)
5. Discussion
6. Conclusions
Author Contributions
Funding
Institutional Review Board Statement
Informed Consent Statement
Data Availability Statement
Acknowledgments
Conflicts of Interest
References
- Carvalho, J.M.F.; Lisboa, J.V.; Moura, A.C.; Carvalho, C.; Sousa, L.M.O.; Leite, M.M. Evaluation of the Portuguese ornamental stone resources. Key Eng. Mater. 2013, 548, 3–9. [Google Scholar] [CrossRef]
- Siegesmund, S.; Sousa, L.; López-Doncel, R.A. Editorial to the topical collection in Environmental Earth Sciences “Stone in the architectural heritage: From quarry to monuments-environment, exploitation, properties and durability”. Environ. Earth Sci. 2018, 77, 730. [Google Scholar] [CrossRef]
- Siegesmund, S.; Dürrast, H. Physical and mechanical properties of the rocks. In Stone in Architecture. Properties, Durability, 5th ed.; Siegesmund., S., Snethlage, R., Eds.; Springer: Berlin/Heidelberg, Germany, 2014; pp. 97–224. [Google Scholar]
- Mustafa, S.; Khan, M.A.; Kha, M.R.; Sousa, L.M.O.; Hameed, F.; Mughal, M.S.; Niaz, A. Building stone evaluation—A case study of the sub-Himalayas, Muzafarabad region, Azad Kashmir, Pakistan. Eng. Geol. 2016, 209, 56–69. [Google Scholar] [CrossRef]
- Santos, I.; Sousa, L.; Lourenço, J. Granite resources evaluation-example of an extraction area in North of Portugal. Environ. Earth Sci. 2018, 77, 608. [Google Scholar] [CrossRef]
- Yarahmadi, R.; Bagherpour, R.; Taherian, S.-G.; Sousa, L.M.O. A new quality factor for the building stone industry: A case study of stone blocks, slabs, and tiles. Bull. Eng. Geol. Environ. 2019, 78, 533–542. [Google Scholar] [CrossRef]
- Ahmed. I.; Basharat, M.; Sousa, L.; Mughal, M.S. Evaluation of building and dimension stone using physico-mechanical and petrographic properties: A case study from the Kohistan and Ladakh batholith, Northern Pakistan. Environ. Earth Sci. 2021, 80, 759. [Google Scholar] [CrossRef]
- Bogdanowitsch, M.; Sousa, L.; Siegesmund, S. Building stone quarries: Resource evaluation by block modelling and unmanned aerial photogrammetric surveys. Environ. Earth Sci. 2022, 81, 16. [Google Scholar] [CrossRef]
- Sousa, L.M.O.; Gonçalves, B.M.M. Differences in the quality of polishing between sound and weathered granites. Environ. Earth Sci. 2013, 69, 1347–1359. [Google Scholar] [CrossRef]
- Sousa, L.; Siegesmund, S.; Wedekind, W. Salt weathering in granitoids: An overview on the controlling factors. Environ. Earth Sci. 2018, 77, 502. [Google Scholar] [CrossRef]
- Menningen, J.; Siegesmund, S.; Lopes, L.; Martins, R.; Sousa, L. The Estremoz marbles: An updated summary on the geological, mineralogical and rock physical characteristics. Environ. Earth Sci. 2018, 77, 191. [Google Scholar] [CrossRef]
- Vazquez, P.; Sánchez-Delgado, N.; Carrizo, L.; Thomachot-Schneider, C.; Alonso, F.J. Statistical approach of the influence of petrography in mechanical properties and durability of granitic stone. Environ. Earth Sci. 2018, 77, 287. [Google Scholar] [CrossRef]
- Sousa, L. Behaviour of hard stones submitted to different foot traffic. Environ. Earth Sci. 2019, 78, 680. [Google Scholar] [CrossRef]
- Freire-Lista, D.M.; Sousa, L.; Carter, R.; Al-Na‘īmī, F. Petrography and petrophysical characterisation of the heritage stones of Fuwairit Archaeological Site (NW Qatar) and their historical quarries: Implications for heritage conservation. Episodes 2021, 44, 43–58. [Google Scholar] [CrossRef]
- ISRM. The Blue Book: The Complete ISRM Suggested Methods for Rock Characterization, Testing and Monitoring, 1974–2006; Compilation Arranged by the ISRM Turkish National Group, Ankara, Turkey; Ulusay, R., Hudson, J.A., Eds.; Kazan Offset Press: Ankara, Turkey, 2007. [Google Scholar]
- AbuShanab, W.S.; Abd Elaziz, M.; Ghandourah, E.I.; Moustafa, E.B.; Elsheikh, A.H. A new fine-tuned random vector functional link model using Hunger games search optimizer for modeling friction stir welding process of polymeric materials. J. Mater. Res. Technol. 2021, 14, 1482–1493. [Google Scholar] [CrossRef]
- Elsheikh, A.H.; Abd Elaziz, M.; Vendan, A. Modeling ultrasonic welding of polymers using an optimized artificial intelligence model using a gradient-based optimizer. Weld. World 2022, 66, 27–44. [Google Scholar] [CrossRef]
- Elsheikh, A.H.; Muthuramalingam, T.; Shanmugan, S.; Ibrahim, A.M.; Ramesh, B.; Khoshaim, A.B.; Moustafa, E.B.; Bedairi, B.; Panchal, H.; Sathyamurthy, R. Fine-tuned artificial intelligence model using pigeon optimizer for prediction of residual stresses during turning of Inconel 718. J. Mater. Res. Technol. 2021, 15, 3622–3634. [Google Scholar] [CrossRef]
- Elsheikh, A.H.; Panchal, H.; Ahmadein, M.; Mosleh, A.O.; Sadasivuni, K.K.; Alsaleh, N.A. Productivity forecasting of solar distiller integrated with evacuated tubes and external condenser using artificial intelligence model and moth-flame optimizer. Case Stud. Therm. Eng. 2021, 28, 101671. [Google Scholar] [CrossRef]
- Khoshaim, A.B.; Moustafa, E.B.; Bafakeeh, O.T.; Elsheikh, A.H. An optimized multilayer perceptrons model using grey wolf optimizer to predict mechanical and microstructural properties of friction stir processed aluminum alloy reinforced by nanoparticles. Coatings 2021, 11, 1476. [Google Scholar] [CrossRef]
- Thangaraj, M.; Ahmadein, M.; Alsaleh, N.A.; Elsheikh, A.H. Optimization of abrasive water jet machining of SiC reinforced aluminum alloy based metal matrix composites using Taguchi–DEAR technique. Materials 2021, 14, 6250. [Google Scholar] [CrossRef]
- Elsheikh, A.H.; Abd Elaziz, M.; Ramesh, B.; Egiza, M.; Al-qaness, M.A. Modeling of drilling process of GFRP composite using a hybrid random vector functional link network/parasitism-predation algorithm. J. Mater. Res. Technol. 2021, 14, 298–311. [Google Scholar] [CrossRef]
- Elsheikh, A.H.; Abd Elaziz, M.; Das, S.R.; Muthuramalingam, T.; Lu, S. A new optimized predictive model based on political optimizer for eco-friendly MQL-turning of AISI 4340 alloy with nano-lubricants. J. Manuf. Process. 2021, 67, 562–578. [Google Scholar] [CrossRef]
- Moustafa, E.B.; Hammad, A.H.; Elsheikh, A.H. A new optimized artificial neural network model to predict thermal efficiency and water yield of tubular solar still. Case Stud. Therm. Eng. 2022, 30, 101750. [Google Scholar] [CrossRef]
- Abdolrasol, M.G.; Hussain, S.S.; Ustun, T.S.; Sarker, M.R.; Hannan, M.A.; Mohamed, R.; Ali, J.A.; Mekhilef, S.; Milad, A. Artificial neural networks based optimization techniques: A review. Electronics 2021, 10, 2689. [Google Scholar] [CrossRef]
- Deere, D.U.; Miller, R.P. Engineering Classification and Index Properties for Intact Rock; Air Force Weapons Lab Tech Report AFWL-TR 65–116, Kirtland Base; US Air Force Weapons Laboratory, Kirtland AFB: Albuquerque, NM, USA, 1966. [Google Scholar]
- Bell, F.G. Physical and mechanical properties of the Fell sandstones, Northumberland, England. Eng. Geol. 1978, 12, 1–29. [Google Scholar] [CrossRef]
- Coggan, J.S.; Stead, D.; Howe, J.H.; Faulks, C.I. Mineralogical controls on the engineering behavior of hydrothermally altered granites under uniaxial compression. Eng. Geol. 2013, 160, 89–102. [Google Scholar] [CrossRef]
- Alikarami, R.; Torabi, A.; Kolyukhin, D.; Skurtveit, E. Geostatistical relationships between mechanical and petrophysical properties of deformed sandstone. Int. J. Rock Mech. Min. Sci. 2013, 63, 27–38. [Google Scholar] [CrossRef]
- Cantisani, E.; Garzonio, C.A.; Ricci, M.; Vettori, S. Relationships between the petrographical, physical and mechanical properties of some Italian sandstones. Int. J. Rock Mech. Min. Sci. 2013, 60, 321–332. [Google Scholar] [CrossRef]
- Abdlmutalib, A.; Abdullatif, O.; Korvin, G.; Abdulraheem, A. The relationship between lithological and geomechanical properties of tight carbonate rocks from Upper Jubaila and Arab-D Member outcrop analog, Central Saudi Arabia. Arab. J. Geosci. 2015, 8, 11031–11048. [Google Scholar] [CrossRef]
- Koralegedara., N.H.; Maynard, J.B. Chemical, mineralogical and textural properties of the Kope Formation mudstones: How they affect its durability. Eng. Geol. 2017, 228, 312–322. [Google Scholar] [CrossRef]
- Cowie, S.; Walton, G. The effect of mineralogical parameters on the mechanical properties of granitic rocks. Eng. Geol. 2018, 240, 204–225. [Google Scholar] [CrossRef]
- Fereidooni, D.; Khajevand, R. Determining the geotechnical characteristics of some sedimentary rocks from Iran with an emphasis on the correlations between physical index and mechanical properties. Geotech. Test. J. 2018, 41, 555–573. [Google Scholar] [CrossRef]
- Lawal, A.I.; Oniyide, G.O.; Kwon, S.; Onifade, M.; Köken, E.; Ogunsola, N.O. Prediction of Mechanical Properties of Coal from Non-destructive Properties: A Comparative Application of MARS, ANN, and GA. Nat. Resour. Res. 2021, 30, 4547–4563. [Google Scholar] [CrossRef]
- Singh, V.K.; Singh, D.; Singh, T.N. Prediction of strength properties of some schistose rocks from petrographic properties using artificial neural networks. Int. J. Rock Mech. Min. Sci. 2001, 38, 269–284. [Google Scholar] [CrossRef]
- Kilic, A.; Teymen, A. Determination of mechanical properties of rocks using simple methods. Bull. Eng. Geol. Environ. 2008, 67, 237–244. [Google Scholar] [CrossRef]
- Jensen, L.R.; Friis, H.; Fundal, E.; Moller, P.; Jespersen, M. Analysis of limestone micromechanical properties by optical microscopy. Eng. Geol. 2010, 110, 43–50. [Google Scholar] [CrossRef]
- Asadi, M.; Eftekhari, M.; Bagheripour, M.H. Evaluating the strength of intact rocks through genetic programming. Appl. Soft Comput. 2011, 11, 1932–1937. [Google Scholar] [CrossRef]
- Cevik., A.; Sezer, E.A.; Cabalar, A.F.; Gokceoglu, C. Modeling of the uniaxial compressive strength of some clay-bearing rocks using neural network. Appl. Soft Comput. 2011, 11, 2587–2594. [Google Scholar] [CrossRef]
- Singh, T.N.; Verma, A.K. Comparative analysis of intelligent algorithms to correlate strength and petrographic properties of some schistose rocks. Eng. Comput. 2012, 28, 1–12. [Google Scholar] [CrossRef]
- Manouchehrian, A.; Sharifzadeh, M.; Moghadam, R.H. Application of artificial neural networks and multivariate statistics to estimate UCS using textural characteristics. Int. J. Min. Sci. Technol. 2012, 22, 229–236. [Google Scholar] [CrossRef]
- Ozcelik, Y.; Bayram, F.; Yasitli, N.E. Prediction of engineering properties of rocks from microscopic data. Arab. J. Geosci. 2013, 6, 3651–3668. [Google Scholar] [CrossRef]
- Esamaldeen, A.; Guang, W. Selection of influential microfabric properties of anisotropic amphibolite rocks on its uniaxial compressive strength (UCS): A comprehensive statistical study. J. Appl. Math. Phys. 2014, 2, 1130–1138. [Google Scholar]
- Liu, Z.; Shao, J.; Xu, W.; Zhang, Y.; Chen, H. Prediction of elastic compressibility of rock material with soft computing techniques. Appl. Soft Comput. 2014, 22, 118–125. [Google Scholar] [CrossRef]
- Chen, W.; Konietzky, H.; Abbas, S.M. Numerical simulation of time-independent and -dependent fracturing in sandstone. Eng. Geol. 2015, 193, 118–131. [Google Scholar] [CrossRef]
- Ajalloeian, R.; Mansouri, H.; Baradaran, E. Some carbonate rock texture effects on mechanical behavior, based on Koohrang tunnel data, Iran. Bull. Eng. Geol. Environ. 2016, 76, 295–307. [Google Scholar] [CrossRef]
- Fereidooni, D. Determination of the geotechnical characteristics of hornfelsic rocks with a particular emphasis on the correlation between physical and mechanical properties. Rock Mech. Rock Eng. 2016, 49, 2595–2608. [Google Scholar] [CrossRef]
- Ahmad, M.; Ansari, M.K.; Singh, R.; Sharma, L.K.; Singh, T.N. Assessment of durability and weathering state of some igneous and metamorphic rocks using micropetrographic index and rock durability indicators: A case study. Geotech. Geol. Eng. 2017, 35, 827–842. [Google Scholar] [CrossRef]
- Germinario, L.; Siegesmund, S.; Maritan, L.; Mazzoli, C. Petrophysical and mechanical properties of Euganean trachyte and implications for dimension stone decay and durability performance. Environ. Earth Sci. 2017, 76, 739. [Google Scholar] [CrossRef]
- Yalcinalp, B.; Aydin, Z.O.; Ersoy, H.; Seren, A. Investigation of geological, geotechnical and geophysical properties of Kiratli (Bayburt, NE Turkey) travertine. Carbonates Evaporites 2018, 33, 421–429. [Google Scholar] [CrossRef]
- Matin, S.S.; Farahzadi, L.; Makaremi, S.; Chelgani, S.C.; Sattari, G.H. Variable selection and prediction of uniaxial compressive strength and modulus of elasticity by random forest. Appl. Soft Comput. 2018, 70, 980–987. [Google Scholar] [CrossRef]
- Brace, W.F. Dependence of fracture strength of rocks on grain size. In 4th US Symposium on Rock Mechanics (USRMS); OnePetro: University Park, PA, USA, 1961; pp. 99–103. [Google Scholar]
- Das, S.K.; Kumar, A.; Das, B.; Burnwal, A.P. On soft computing techniques in various areas. Comput. Sci. Inf. Technol 2013, 3, 166. [Google Scholar]
- Ulusay, R.; Tureli, K.; Ider, M.H. Prediction of engineering properties of selected litharenite sandstone from its petrographic characteristics using correlation and multivariate statistical techniques. Eng. Geol. 1994, 37, 135–157. [Google Scholar] [CrossRef]
- Tugrul, A.; Zarif, I.H. Correlation of mineralogical and textural characteristics with engineering properties of selected granitic rocks from Turkey. Eng. Geol. 1999, 51, 303–317. [Google Scholar] [CrossRef]
- Eberli, G.P.; Baechle, G.T.; Anselmetti, F.S.; Incze, M.L. Factors controlling elastic properties in carbonate sediments and rocks. Lead. Edge 2003, 22, 654–660. [Google Scholar] [CrossRef]
- Meng, J.; Pan, J. Correlation between petrographic characteristics and failure duration in clastic rocks. Eng. Geol. 2007, 89, 258–265. [Google Scholar] [CrossRef]
- Khanlari, G.R.; Heidari, M.; Noori, M.; Momeni, A. The effect of petrographic characteristics on engineering properties of conglomerates from famenin region, northeast of Hamedan, Iran. Rock Mech. Rock Eng. 2016, 49, 2609–2621. [Google Scholar] [CrossRef]
- Howarth, D.F.; Rowlands, J.C. Development of an index to quantify rock texture for qualitative assessment of intact rock properties. Geotech. Test. J. 1986, 9, 169–179. [Google Scholar]
- Howarth, D.F.; Rowlands, J.C. Quantitative assessment of rock texture and correlation with drillability and strength properties. Rock Mech. Rock Eng. 1987, 20, 57–85. [Google Scholar] [CrossRef]
- Ersoy, A.; Waller, M.D. Textural characterization of rocks. Eng. Geol. 1995, 39, 123–136. [Google Scholar] [CrossRef]
- Gupta, V.; Sharma, R. Relationship between textural, petrophysical and mechanical properties of quartzites: A case study from northwestern Himalaya. Eng. Geol. 2012, 135, 1–9. [Google Scholar] [CrossRef]
- Tandon, R.S.; Gupta, V. The control of mineral constituents and textural characteristics on the petrophysical and mechanical (PM) properties of different rocks of the Himalaya. Eng. Geol. 2013, 153, 125–143. [Google Scholar] [CrossRef]
- Alber, M.; Kahraman, S. Predicting the uniaxial compressive strength and elastic modulus of a fault breccia from texture coefficient. Rock Mech. Rock Eng. 2009, 42, 117–127. [Google Scholar] [CrossRef]
- Ersoy, H.; Acar, S. Influences of petrographic and textural properties on the strength of very strong granitic rocks. Environ. Earth Sci. 2016, 75, 1461–1476. [Google Scholar] [CrossRef]
- Aligholi, S.; Lashkaripour, G.R.; Ghafoori, M.; Azali, S.T. Evaluating the relationships between NTNU/SINTEF drillability indices with index properties and petrographic data of hard igneous rocks. Rock Mech. Rock Eng. 2017, 50, 2929–2953. [Google Scholar] [CrossRef]
- Akram, M.S.; Farooq, S.; Naeem, M.; Ghazi, G. Prediction of mechanical behaviour from mineralogical composition of Sakesar limestone, Central Salt Range, Pakistan. Bull. Eng. Geol. Environ. 2017, 76, 601–615. [Google Scholar] [CrossRef]
- Kolay, E.; Baser, T. The effect of the textural characteristics on the engineering properties of the basalts from Yozgat region, Turkey. J. Geol. Soc. India 2017, 90, 102–110. [Google Scholar] [CrossRef]
- Geological Society of Iran (GSI). Geological Quadrangle Map of Iran. No. D6, Scale 1:100,000; Offset Press: Tehran, Iran, 1977. [Google Scholar]
- ASTM. Standard Guide for Petrographic Examination of Dimension Stone (C1721); Book Standards vol 04.07; ASTM International: West Conshohocken, PA, USA, 2009. [Google Scholar] [CrossRef]
- ASTM. Standard test method for slake-durability of shales and similar weak rocks (D-4644). In Annual Book of ASTM Standards; ASTM International: West Conshohocken, PA, USA, 1990; Volume 4.08, pp. 863–865. [Google Scholar]
- ISRM. Suggested Methods for Determining Hardness and Abrasiveness of Rocks; Commission on Standardization of Laboratory and Field Test; International Society for Rock Mechanics: Salzburg, Austria, 1978; Volume 15, pp. 89–97. [Google Scholar]
- ASTM. Standard Test Method for Determination of Rock Hardness by Rebound Hammer Method; ASTM standards on disc 04.09; ASTM International: West Conshohocken, PA, USA, 2001; pp. D5873–D5880. [Google Scholar]
- ASTM. Standard Test Method for Laboratory Determination of Pulse Velocities and Ultrasonic Elastic Constants of Rock; ASTM International: West Conshohocken, PA, USA, 1996; pp. D2845–D2895. [Google Scholar]
- ASTM. Standard Test Method for Unconfined Compressive Strength of Intact Rock Core Specimens; ASTM standards on disc 04.08; ASTM International: West Conshohocken, PA, USA, 1995; p. D2938. [Google Scholar]
- IAEG. Classification of rocks and soils for engineering geological mapping, Part 1: Rock and soil materials. Bull. Int. Assoc. Eng. Geol. 1979, 19, 364–371. [Google Scholar] [CrossRef]
- Gamble, J.C. Durability-Plasticity Classification of Shales and Other Argillaceous Rocks. Ph.D. Thesis, University of Illinois, Urbana-Champaign, IL, USA, 1971; p. 161. [Google Scholar]
- Broch, E.; Franklin, J.A. The point load strength test. Int. J. Rock Mech. Min. Sci. 1972, 9, 669–697. [Google Scholar] [CrossRef]
- Sousa, L.; Menningen, J.; López-Doncel, R.; Siegesmund, S. Petrophysical properties of limestones: Influence on behaviour under different environmental conditions and applications. Environ. Earth Sci. 2021, 80, 814. [Google Scholar] [CrossRef]
- Williams, H.; Turner, F.J.; Gilber, C.M. Petrography: An Introduction to the Study of Rocks in Thin Section; W.H. Freeman Company: San Francisco, CA, USA, 1954; p. 406. [Google Scholar]
- Prikiryl, R. Assessment of rock geomechanical quality by quantitative rock fabric coefficients: Limitations and possible source of misinterpretations. Eng. Geol. 2006, 87, 149–162. [Google Scholar] [CrossRef]
- IBM Corp. Released. IBP SPSS Statistics for Windows; Version 24.0; IBM Corp: Armonk, NY, USA, 2016. [Google Scholar]
- Fereidooni, D. Importance of the mineralogical and textural characteristics in the mechanical properties of rocks. Arab. J. Geosci. 2022, 15, 637. [Google Scholar] [CrossRef]
- Singh, R.; Kainthola, A.; Singh, T.N. Estimation of elastic constant of rocks using an ANFIS approach. Appl. Soft Comput. 2012, 12, 40–45. [Google Scholar] [CrossRef]
- Sirdesai, N.N.; Singh, A.; Sharma, L.K.; Singh, R.; Singh, T.N. Development of novel methods to predict the strength properties of thermally treated sandstone using statistical and soft-computing approach. Neural Comput. Appl. 2017, 31, 2841–2867. [Google Scholar] [CrossRef]
- Suparta, W.; Alhasa, K.M. Modeling of Tropospheric Delays Using ANFIS. Springer Briefs in Meteorology; Springer: Cham, Switzerland, 2016. [Google Scholar]
- MATLAB and Statistical Toolbox; The Mathworks, Inc.: Natick, MA, USA, 2016.

















| Sample | Lithology | Minerals (%) | |||||
|---|---|---|---|---|---|---|---|
| Qtz. | Cal. | Dol. | Fld. | Fos. | Other Minerals | ||
| SBZ1 | Dolomitic limestone | 10 | 60 | 25 | - | - | 5 |
| SBZ2 | Dolomitic limestone | 20 | 40 | 35 | - | - | 5 |
| ELK1 | Ooid grainstone (limestone) | 5 | 10 | - | - | 80 | 5 |
| ELK2 | Ooid grainstone (limestone) | 5 | 20 | - | - | 70 | 5 |
| DLC1 | Sandy grainstone (limestone) | 20 | 65 | 5 | - | - | 10 |
| DLC2 | Sandy grainstone (limestone) | 25 | 60 | 5 | - | - | 10 |
| LAR1 | Microcrystalline limestone | 15 | 70 | - | - | 12 | 3 |
| LAR2 | Microcrystalline limestone | 20 | 63 | - | - | 15 | 2 |
| PDH1 | Greywacke (sandstone) | 70 | 15 | 10 | - | - | 5 |
| PDH2 | Greywacke (sandstone) | 55 | 30 | 10 | - | - | 5 |
| PDH3 | Greywacke (sandstone) | 55 | 30 | 10 | - | - | 5 |
| BRT1 | Litharenite (sandstone) | 70 | 10 | - | 15 | - | 5 |
| BRT2 | Litharenite (sandstone) | 60 | 15 | - | 20 | - | 5 |
| SMK1 | Sub litharenite (sandstone) | 70 | 7 | - | 10 | - | 13 |
| SMK2 | Sub litharenite (sandstone) | 80 | 7 | - | 5 | - | 8 |
| Sample | γdry (g/cm3) | γsat (g/cm3) | n (%) | Wa (%) | Id1 (%) | Id2 (%) | Id3 (%) | SRH | UPV (Km/s) | UCS (MPa) |
|---|---|---|---|---|---|---|---|---|---|---|
| SBZ1 | 2.45 | 2.53 | 3.74 | 1.12 | 99.02 | 98.69 | 98.46 | 43 | 4.89 | 81.99 |
| SBZ2 | 2.45 | 2.53 | 4.98 | 1.78 | 99.25 | 98.87 | 98.52 | 39 | 4.80 | 67.40 |
| ELK1 | 2.48 | 2.55 | 8.15 | 3.49 | 98.91 | 98.43 | 97.75 | 31 | 4.59 | 45.54 |
| ELK2 | 2.45 | 2.52 | 7.01 | 2.87 | 99.10 | 98.15 | 97.89 | 35 | 4.61 | 56.58 |
| DLC1 | 2.50 | 2.61 | 6.50 | 2.40 | 99.41 | 98.66 | 98.21 | 43 | 4.91 | 85.59 |
| DLC2 | 2.50 | 2.62 | 7.21 | 2.98 | 99.15 | 98.57 | 98.02 | 40 | 4.37 | 73.67 |
| LAR1 | 2.51 | 2.73 | 3.96 | 1.24 | 99.37 | 98.99 | 98.94 | 45 | 5.44 | 95.45 |
| LAR2 | 2.57 | 2.70 | 2.85 | 0.64 | 99.56 | 99.34 | 99.18 | 47 | 5.75 | 108.55 |
| PDH1 | 2.44 | 2.53 | 7.58 | 3.69 | 98.10 | 97.25 | 96.56 | 30 | 3.85 | 46.29 |
| PDH2 | 2.45 | 2.52 | 8.41 | 3.42 | 98.19 | 97.26 | 96.42 | 26 | 3.52 | 32.46 |
| PDH3 | 2.35 | 2.46 | 10.32 | 4.82 | 98.04 | 97.04 | 95.54 | 24 | 3.09 | 16.09 |
| BRT1 | 2.59 | 2.67 | 2.15 | 0.26 | 99.52 | 99.05 | 98.76 | 48 | 5.53 | 119.82 |
| BRT2 | 2.56 | 2.62 | 3.33 | 0.90 | 99.03 | 98.71 | 97.87 | 43 | 5.10 | 90.12 |
| SMK1 | 2.56 | 2.67 | 3.10 | 0.77 | 99.61 | 99.29 | 99.15 | 46 | 4.91 | 105.02 |
| SMK2 | 2.60 | 2.68 | 2.00 | 0.18 | 99.65 | 99.38 | 99.21 | 49 | 5.16 | 127.43 |
| Correlations | |||||||||||
|---|---|---|---|---|---|---|---|---|---|---|---|
| γdry | γsat | n | Wa | Id1 | Id2 | Id3 | SRH | UPV | UCS | ||
| Gs | R | ||||||||||
| Sig. | |||||||||||
| γdry | R | 1 | |||||||||
| Sig. | |||||||||||
| γsat | R | 0.875 | 1 | ||||||||
| Sig. | 0.000 | ||||||||||
| n | R | −0.845 | −0.768 | 1 | |||||||
| Sig. | 0.000 | 0.001 | |||||||||
| Wa | R | −0.855 | −0.774 | 0.994 | 1 | ||||||
| Sig. | 0.000 | 0.001 | 0.000 | ||||||||
| Id1 | R | 0.796 | 0.784 | −0.803 | −0.833 | 1 | |||||
| Sig. | 0.000 | 0.001 | 0.000 | 0.000 | |||||||
| Id2 | R | 0.820 | 0.801 | −0.869 | −0.889 | 0.971 | 1 | ||||
| Sig. | 0.000 | 0.000 | 0.000 | 0.000 | 0.000 | ||||||
| Id3 | R | 0.792 | 0.794 | −0.868 | −0.884 | 0.964 | 0.978 | 1 | |||
| Sig. | 0.000 | 0.000 | 0.000 | 0.000 | 0.000 | 0.000 | |||||
| SRH | R | 0.849 | 0.843 | −0.930 | −0.937 | 0.923 | 0.940 | 0.932 | 1 | ||
| Sig. | 0.000 | 0.000 | 0.000 | 0.000 | 0.000 | 0.000 | 0.000 | ||||
| UPV | R | 0.813 | 0.810 | −0.878 | −0.887 | 0.900 | 0.924 | 0.929 | 0.917 | 1 | |
| Sig. | 0.000 | 0.000 | 0.000 | 0.000 | 0.000 | 0.000 | 0.000 | 0.000 | |||
| UCS | R | 0.914 | 0.873 | −0.945 | −0.948 | 0.891 | 0.909 | 0.902 | 0.980 | 0.891 | 1 |
| Sig. | 0.000 | 0.000 | 0.000 | 0.000 | 0.000 | 0.000 | 0.000 | 0.000 | 0.000 | ||
| Sample | AW | AR1 | AF1 | TC | |||
|---|---|---|---|---|---|---|---|
| SBZ1 | 0.66 | 0.81 | 1.29 | 0.19 | 1.73 | 0.5 | 0.8 |
| SBZ2 | 0.66 | 0.82 | 1.13 | 0.18 | 1.65 | 0.5 | 0.7 |
| ELK1 | 0.47 | 0.92 | 1.19 | 0.08 | 1.56 | 0.5 | 0.55 |
| ELK2 | 0.6 | 0.84 | 1.21 | 0.16 | 1.74 | 0.5 | 0.7 |
| DLC1 | 0.8 | 0.92 | 1.06 | 0.08 | 1.55 | 0.5 | 0.83 |
| DLC2 | 0.71 | 0.9 | 1.1 | 0.1 | 1.53 | 0.5 | 0.75 |
| LAR1 | 0.86 | 0.81 | 1.18 | 0.19 | 1.75 | 0.5 | 0.97 |
| LAR2 | 0.98 | 0.83 | 1.14 | 0.17 | 1.69 | 0.5 | 1.06 |
| PDH1 | 0.57 | 0.91 | 1.03 | 0.09 | 1.46 | 0.5 | 0.57 |
| PDH2 | 0.58 | 0.97 | 1.04 | 0.03 | 1.47 | 0.5 | 0.6 |
| PDH3 | 0.38 | 0.96 | 1.1 | 0.04 | 1.52 | 0.5 | 0.42 |
| BRT1 | 0.87 | 0.83 | 1.25 | 0.17 | 1.8 | 0.5 | 1.04 |
| BRT2 | 0.77 | 0.83 | 1.16 | 0.17 | 1.85 | 0.5 | 0.86 |
| SMK1 | 0.85 | 0.85 | 1.15 | 0.15 | 1.68 | 0.5 | 0.94 |
| SMK2 | 0.9 | 0.82 | 1.17 | 0.18 | 1.79 | 0.5 | 1.01 |
| Model | Parameter | Predictive Model | Equation Type | R2 |
|---|---|---|---|---|
| 1 | TC—γd | γd = 2.261 × e0.1259TC | Exponential | R2 = 0.80 |
| 2 | TC—γs | γs = 2.3149 × e0.1451TC | Exponential | R² = 0.83 |
| 3 | TC—n | n = −12.328TC + 15.118 | Linear | R² = 0.86 |
| 4 | TC—Wa | Wa = −6.8834TC + 7.4529 | Linear | R² = 0.88 |
| 5 | TC—Id1 | Id1 = 99.541TC0.0178 | Power | R² = 0.77 |
| 6 | TC—Id2 | Id2 = 99.196TC0.0255 | Power | R² = 0.78 |
| 7 | TC—Id3 | Id3 = 99.033TC0.0375 | Power | R² = 0.82 |
| 8 | TC—HS | SRH = 28.948ln(TC) + 47.149 | Logarithmic | R² = 0.92 |
| 9 | TC—VP | UPV = 5.423TC0.5718 | Power | R² = 0.82 |
| 10 | TC—UCS | UCS = 161.08TC − 49.913 | Linear | R² = 0.94 |
| Model | R | RMSE | VAF (%) | MAPE (%) | PI | Sig. (Two-Tailed) |
|---|---|---|---|---|---|---|
| 1 | 0.89 | 0.03 | 79.73 | 2.06 | 79.77 | 0.000 |
| 2 | 0.91 | 0.03 | 82.47 | 2.76 | 83.79 | 0.000 |
| 3 | 0.93 | 0.95 | 85.92 | 40.52 | 85.91 | 0.000 |
| 4 | 0.94 | 0.48 | 87.98 | 74.08 | 88.40 | 0.000 |
| 5 | 0.88 | 0.25 | 75.85 | 0.13 | 77.51 | 0.000 |
| 6 | 0.88 | 0.35 | 78.27 | 0.06 | 78.44 | 0.000 |
| 7 | 0.91 | 0.45 | 81.70 | 0.26 | 83.36 | 0.000 |
| 8 | 0.96 | 2.17 | 92.42 | 5.37 | 90.75 | 0.000 |
| 9 | 0.91 | 0.30 | 82.20 | 2.30 | 83.52 | 0.000 |
| 10 | 0.97 | 7.56 | 94.26 | 3.71 | 87.38 | 0.000 |
| Variable | ||||||||||
|---|---|---|---|---|---|---|---|---|---|---|
| Model | Unstandardized Coefficients | Standardized Coefficients | t | Sig. | 95.0% Confidence Interval for B | Collinearity Statistics | ||||
| B | Std. Error | Beta | Lower Bound | Upper Bound | Tolerance | VIF | ||||
| 1 | Id2 | 93.635 | 7.982 | 11.731 | 0.000 | 76.068 | 111.203 | |||
| γd | 1.743 | 3.392 | 0.157 | 0.514 | 0.618 | −5.723 | 9.209 | 0.200 | 4.991 | |
| n | −0.115 | 0.107 | −0.391 | −1.068 | 0.308 | −0.351 | 0.122 | 0.139 | 7.183 | |
| TC | 1.457 | 1.694 | 0.373 | 0.860 | 0.408 | −2.272 | 5.185 | 0.099 | 10.114 | |
| 2 | SRH | 35.307 | 50.731 | 0.696 | 0.501 | −76.351 | 146.965 | |||
| γd | −5.283 | 21.559 | −0.045 | −0.245 | 0.811 | −52.735 | 42.169 | 0.200 | 4.991 | |
| n | −1.013 | 0.682 | −0.325 | −1.485 | 0.166 | −2.515 | 0.488 | 0.139 | 7.183 | |
| TC | 28.785 | 10.767 | 0.694 | 2.673 | 0.022 | 5.087 | 52.483 | 0.099 | 10.114 | |
| 3 | UPV | 2.969 | 7.110 | 0.418 | 0.684 | −12.681 | 18.619 | |||
| γd | 0.131 | 3.022 | 0.012 | 0.043 | 0.966 | −6.520 | 6.782 | 0.200 | 4.991 | |
| n | −0.082 | 0.096 | −0.288 | −0.853 | 0.412 | −0.292 | 0.129 | 0.139 | 7.183 | |
| TC | 2.349 | 1.509 | 0.624 | 1.556 | 0.148 | −0.973 | 5.670 | 0.099 | 10.114 | |
| 4 | UCS | −215.929 | 138.709 | −1.557 | 0.148 | −521.225 | 89.367 | |||
| γd | 98.474 | 58.948 | 0.208 | 1.671 | 0.123 | −31.269 | 228.217 | 0.200 | 4.991 | |
| n | −3.680 | 1.865 | −0.295 | −1.973 | 0.074 | −7.786 | 0.425 | 0.139 | 7.183 | |
| TC | 84.860 | 29.440 | 0.511 | 2.883 | 0.015 | 20.064 | 149.656 | 0.099 | 10.114 | |
| Model Summary a | ||||||||||
|---|---|---|---|---|---|---|---|---|---|---|
| Model | R | R Square | Adjusted R Square | Std. Error of the Estimate | Change Statistics | Durbin–Watson | ||||
| R Square Change | F Change | df1 | df2 | Sig. F Change | ||||||
| 1 | 0.892 b | 0.795 | 0.739 | 0.39213 | 0.795 | 14.220 | 3 | 11 | 0.000 | 0.919 |
| 2 | 0.963 c | 0.927 | 0.907 | 2.49232 | 0.927 | 46.397 | 3 | 11 | 0.000 | 1.206 |
| 3 | 0.908 d | 0.825 | 0.778 | 0.34932 | 0.825 | 17.315 | 3 | 11 | 0.000 | 0.814 |
| 4 | 0.983 e | 0.966 | 0.956 | 6.81453 | 0.966 | 103.421 | 3 | 11 | 0.000 | 1.931 |
| Model | Predictive Model | RMSE | VAF (%) | MAPE (%) | PI | Sig. (Two-Tailed) |
|---|---|---|---|---|---|---|
| 1 | Id2 = 93.64 + 1.74γd − 0.12n + 1.46TC | 0.34 | 79.47 | 0.07 | 80.46 | 0.000 |
| 2 | SRH = 35.31 − 5.28γd − 1.01n + 28.79TC | 2.13 | 92.68 | 3.19 | 91.79 | 0.000 |
| 3 | UPV = 2.97 + 0.13γd − 0.08n + 2.35TC | 0.30 | 82.52 | 0.34 | 83.53 | 0.000 |
| 4 | UCS = −215.93 + 98.47γd − 3.68n + 84.86TC | 5.84 | 96.58 | 3.10 | 92.13 | 0.000 |
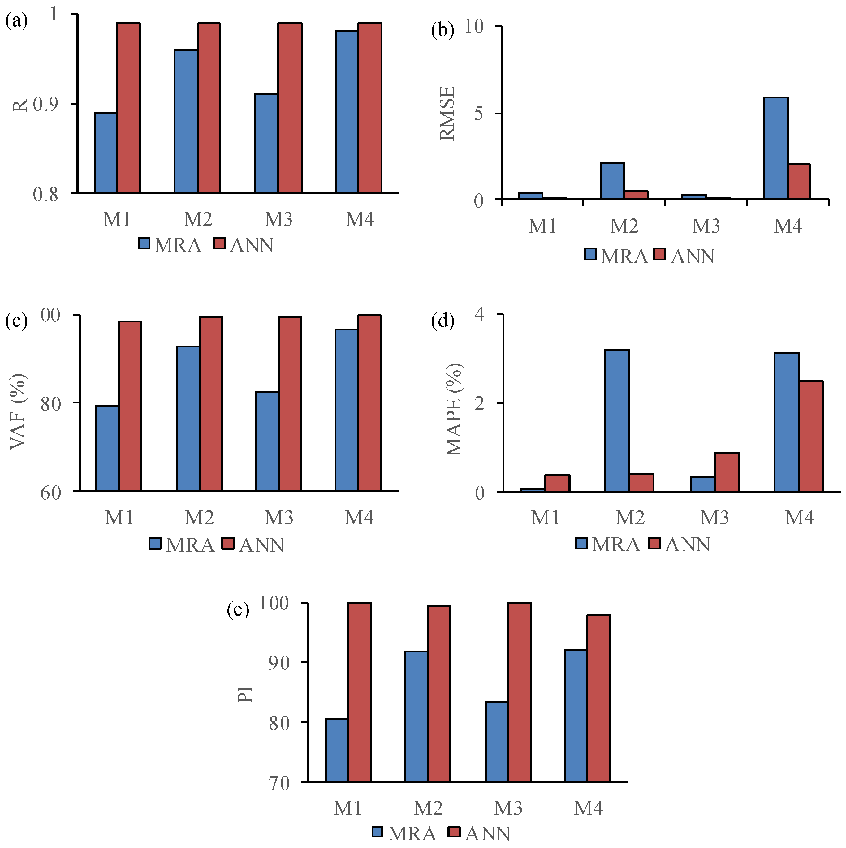
| Model | R | RMSE | VAF (%) | MAPE (%) | PI | Sig. (Two-Tailed) |
|---|---|---|---|---|---|---|
| 1 | 0.99 | 0.09 | 98.60 | 0.36 | 99.89 | 0.000 |
| 2 | 0.99 | 0.48 | 99.63 | 0.42 | 99.22 | 0.000 |
| 3 | 0.99 | 0.06 | 99.39 | 0.85 | 99.94 | 0.000 |
| 4 | 0.99 | 2.05 | 99.67 | 2.47 | 99.67 | 0.000 |
| Sample | Model 1 (Id2) | Model 2 (SRH) | Model 3 (UPV) | Model 4 (UCS) | ||||||||
|---|---|---|---|---|---|---|---|---|---|---|---|---|
| Ex. | MRA | ANN | Ex. | MRA | ANN | Ex. | MRA | ANN | Ex. | MRA | ANN | |
| SBZ1 | 98.69 | 98.62 | 99.04 | 43 | 41.63 | 43.18 | 4.89 | 4.87 | 4.93 | 81.99 | 79.45 | 84.02 |
| SBZ2 | 98.87 | 98.33 | 98.87 | 39 | 37.50 | 39.14 | 4.80 | 4.54 | 4.80 | 67.40 | 66.4 | 67.88 |
| ELK1 | 98.43 | 97.78 | 98.43 | 31 | 29.82 | 30.74 | 4.59 | 3.93 | 4.57 | 45.54 | 44.96 | 46.14 |
| ELK2 | 98.15 | 98.08 | 98.15 | 35 | 35.45 | 34.89 | 4.61 | 4.37 | 4.62 | 56.58 | 58.93 | 56.67 |
| DLC1 | 98.66 | 98.42 | 98.66 | 43 | 39.44 | 42.91 | 4.91 | 4.73 | 4.93 | 85.59 | 76.76 | 85.86 |
| DLC2 | 98.57 | 98.22 | 98.56 | 40 | 36.42 | 39.95 | 4.37 | 4.48 | 4.37 | 73.67 | 67.36 | 74.01 |
| LAR1 | 98.99 | 98.95 | 98.98 | 45 | 45.98 | 45.15 | 5.44 | 5.26 | 5.48 | 95.45 | 98.97 | 99.09 |
| LAR2 | 99.34 | 99.32 | 99.37 | 47 | 49.38 | 47.90 | 5.75 | 5.57 | 5.83 | 108.55 | 116.6 | 111.65 |
| PDH1 | 97.25 | 97.81 | 97.25 | 30 | 31.18 | 29.88 | 3.85 | 4.02 | 3.84 | 46.29 | 44.81 | 41.78 |
| PDH2 | 97.26 | 97.77 | 97.26 | 26 | 31.15 | 25.82 | 3.52 | 4.03 | 3.51 | 32.46 | 45.29 | 33.38 |
| PDH3 | 97.04 | 97.10 | 97.04 | 24 | 24.57 | 23.25 | 3.09 | 3.44 | 3.07 | 16.09 | 13.14 | 18.22 |
| BRT1 | 99.05 | 99.41 | 99.06 | 48 | 49.40 | 48.30 | 5.53 | 5.58 | 5.35 | 119.82 | 119.45 | 120.68 |
| BRT2 | 98.71 | 98.95 | 98.74 | 43 | 43.19 | 43.84 | 5.10 | 5.06 | 5.13 | 90.12 | 96.88 | 91.46 |
| SMK1 | 99.29 | 99.09 | 99.32 | 46 | 45.72 | 45.03 | 4.91 | 5.26 | 4.96 | 105.09 | 104.51 | 107.73 |
| SMK2 | 99.38 | 99.40 | 99.38 | 49 | 48.64 | 48.67 | 5.16 | 5.52 | 5.17 | 127.43 | 118.44 | 127.97 |
| Mean | 98.51 | 98.48 | 98.54 | 39.27 | 39.30 | 39.24 | 4.70 | 4.71 | 4.70 | 76.80 | 76.80 | 77.77 |
| S.D. | 0.77 | 0.70 | 0.77 | 8.16 | 7.85 | 8.36 | 0.74 | 0.67 | 0.74 | 32.64 | 32.08 | 33.30 |
| Sample | Model 1 (Id2) | Model 2 (SRH) | Model 3 (UPV) | Model 4 (UCS) | ||||
|---|---|---|---|---|---|---|---|---|
| MRA | ANN | MRA | ANN | MRA | ANN | MRA | ANN | |
| SBZ1 | 0.068 | −0.353 | 1.371 | −0.183 | 0.017 | −0.042 | 2.544 | −2.027 |
| SBZ2 | 0.543 | 0.003 | 1.503 | −0.141 | 0.261 | −0.005 | 1.003 | −0.479 |
| ELK1 | 0.650 | 0.000 | 1.181 | 0.264 | 0.659 | 0.021 | 0.583 | −0.599 |
| ELK2 | 0.066 | 0.000 | −0.447 | 0.107 | 0.240 | −0.005 | −2.347 | −0.087 |
| DLC1 | 0.238 | −0.001 | 3.559 | 0.089 | 0.188 | −0.021 | 8.831 | −0.269 |
| DLC2 | 0.350 | 0.014 | 3.580 | 0.049 | −0.115 | −0.001 | 6.313 | −0.339 |
| LAR1 | 0.042 | 0.007 | −0.984 | −0.155 | 0.182 | −0.042 | −3.521 | −3.639 |
| LAR2 | 0.023 | −0.029 | −2.379 | −0.900 | 0.186 | −0.080 | −8.051 | −3.104 |
| PDH1 | −0.558 | 0.000 | −1.181 | 0.123 | −0.166 | 0.012 | 1.477 | 4.508 |
| PDH2 | −0.510 | 0.000 | −5.154 | 0.176 | −0.509 | 0.010 | −12.829 | −0.919 |
| PDH3 | −0.064 | 0.000 | −0.571 | 0.752 | −0.344 | 0.027 | 2.952 | −2.133 |
| BRT1 | −0.357 | −0.011 | −1.405 | −0.295 | −0.049 | 0.177 | 0.370 | −0.857 |
| BRT2 | −0.240 | −0.030 | −0.189 | −0.840 | 0.045 | −0.032 | −6.758 | −1.339 |
| SMK1 | 0.195 | −0.029 | 0.275 | 0.970 | −0.358 | −0.054 | 0.576 | −2.645 |
| SMK2 | −0.019 | 0.002 | 0.360 | 0.335 | −0.361 | −0.008 | 8.989 | −0.536 |
| Mean | 0.03 | −0.03 | −0.03 | 0.02 | −0.01 | 0.00 | 0.01 | −0.96 |
| S.D. | 0.34 | 0.09 | 2.13 | 0.48 | 0.30 | 0.06 | 5.84 | 1.81 |
Publisher’s Note: MDPI stays neutral with regard to jurisdictional claims in published maps and institutional affiliations. |
© 2022 by the authors. Licensee MDPI, Basel, Switzerland. This article is an open access article distributed under the terms and conditions of the Creative Commons Attribution (CC BY) license (https://creativecommons.org/licenses/by/4.0/).
Share and Cite
Fereidooni, D.; Sousa, L. Predicting the Engineering Properties of Rocks from Textural Characteristics Using Some Soft Computing Approaches. Materials 2022, 15, 7922. https://doi.org/10.3390/ma15227922
Fereidooni D, Sousa L. Predicting the Engineering Properties of Rocks from Textural Characteristics Using Some Soft Computing Approaches. Materials. 2022; 15(22):7922. https://doi.org/10.3390/ma15227922
Chicago/Turabian StyleFereidooni, Davood, and Luís Sousa. 2022. "Predicting the Engineering Properties of Rocks from Textural Characteristics Using Some Soft Computing Approaches" Materials 15, no. 22: 7922. https://doi.org/10.3390/ma15227922
APA StyleFereidooni, D., & Sousa, L. (2022). Predicting the Engineering Properties of Rocks from Textural Characteristics Using Some Soft Computing Approaches. Materials, 15(22), 7922. https://doi.org/10.3390/ma15227922

