Three-Dimensional Au(NiMo)/Ti Catalysts for Efficient Hydrogen Evolution Reaction
Abstract
1. Introduction
2. Materials and Methods
2.1. Chemicals
2.2. Fabrication of Catalysts
2.3. Characterization of Catalysts
2.4. Electrochemical Measurements
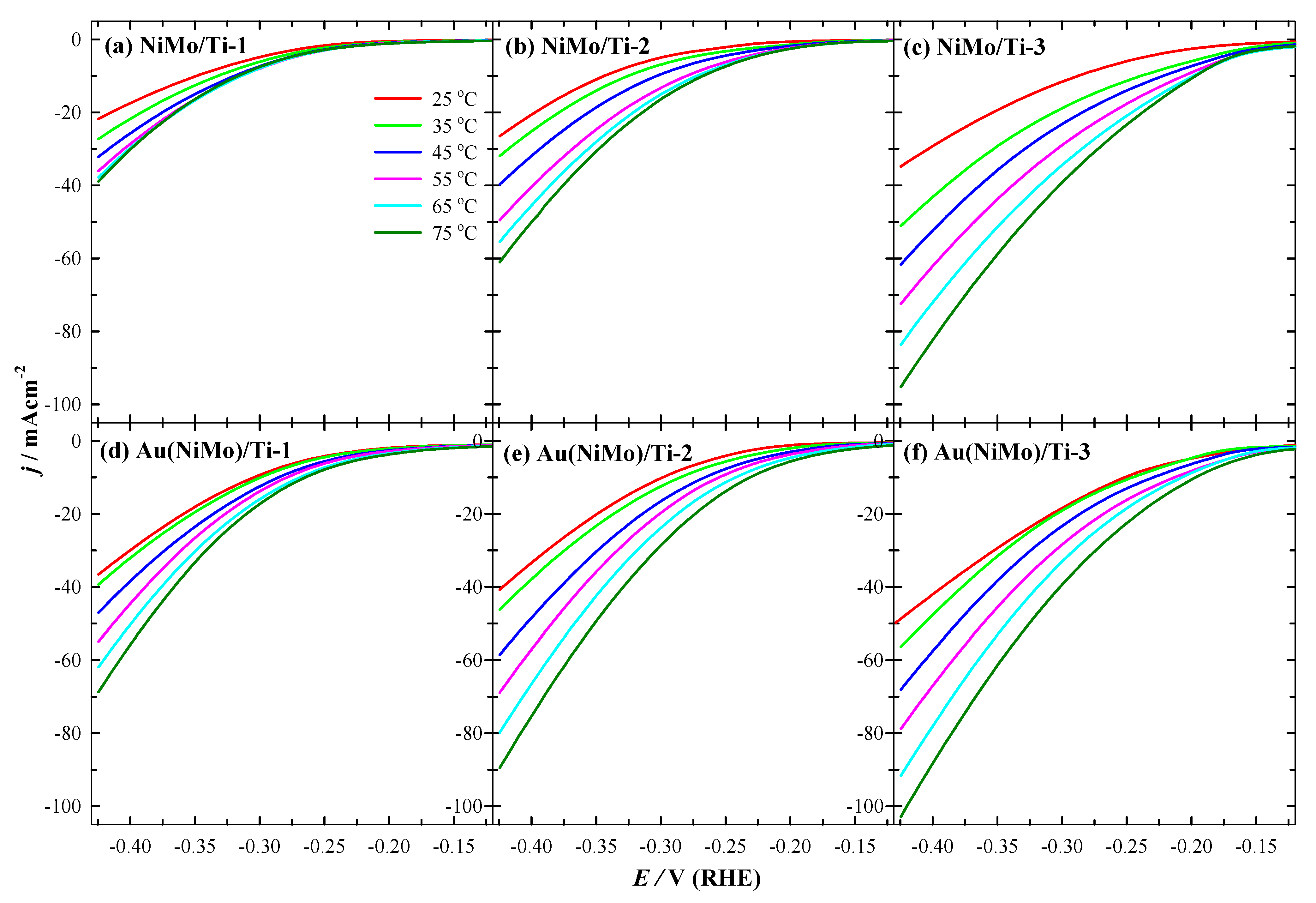
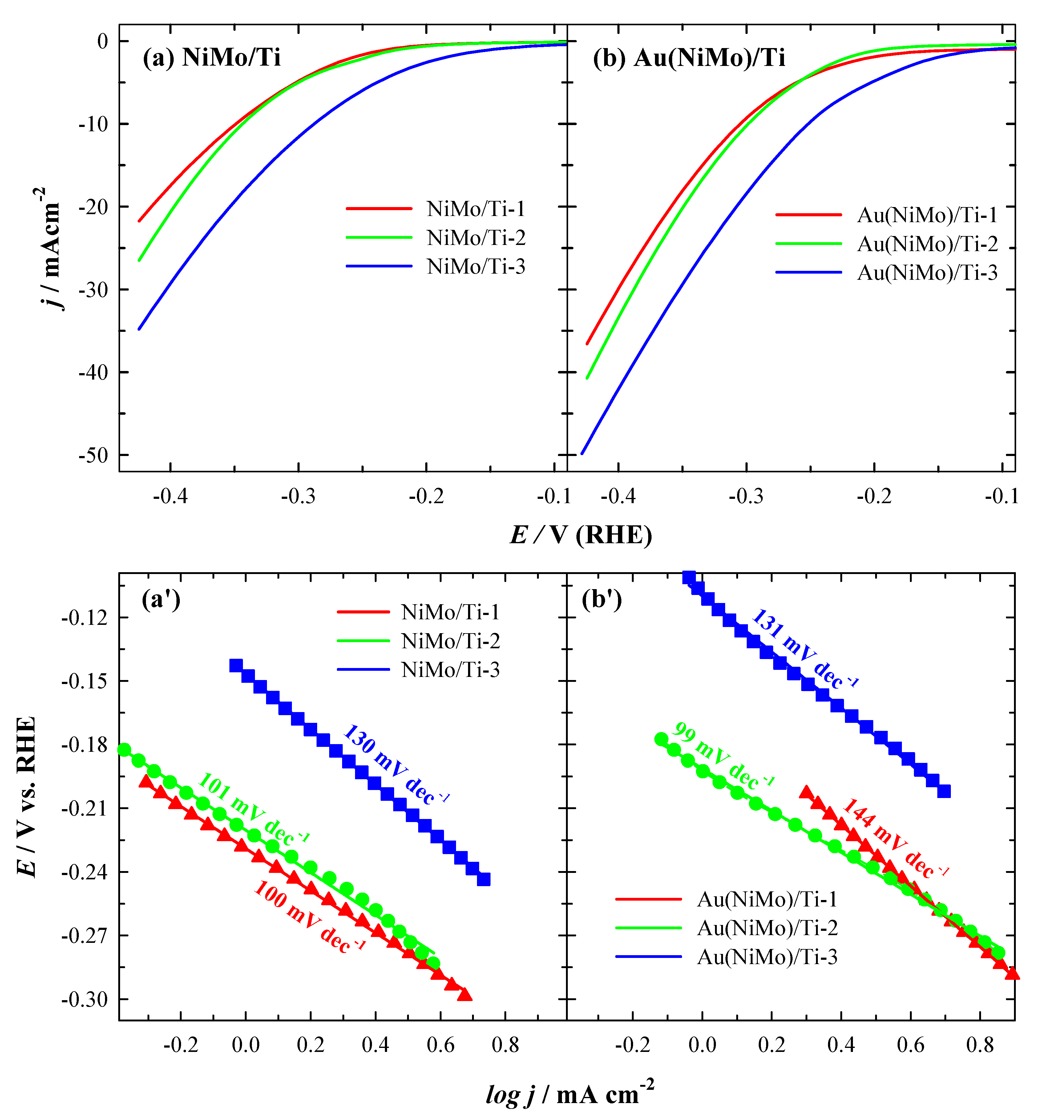
3. Results
4. Conclusions
Author Contributions
Funding
Institutional Review Board Statement
Informed Consent Statement
Data Availability Statement
Conflicts of Interest
References
- Wang, W.; Xu, M.; Xu, X.; Zhou, W.; Shao, Z. Perovskite oxide-based electrodes for high-performance photoelectrochemical water splitting: A review. Angew. Chem. Int. Ed. 2020, 59, 136–152. [Google Scholar] [CrossRef] [PubMed]
- Ye, S.; Luo, F.; Zhang, Q.; Zhang, P.; Xu, T.; Wang, Q.; He, D.; Guo, L.; Zhang, Y.; He, C.; et al. Highly stable single Pt atomic sites anchored on aniline-stacked graphene for hydrogen evolution reaction. Energy Environ. Sci. 2019, 12, 1000–1007. [Google Scholar] [CrossRef]
- Wang, X.; Zhuang, L.; Jia, Y.; Liu, H.; Yan, X.; Zhang, L.; Yang, D.; Zhu, Z.; Yao, X. Plasma-triggered synergy of exfoliation, phase transformation, and surface engineering in cobalt diselenide for enhanced water oxidation. Angew. Chem. Int. Ed. 2018, 57, 16421–16425. [Google Scholar] [CrossRef]
- Wu, W.; Niu, C.; Wei, C.; Jia, Y.; Li, C.; Xu, Q. Activation of MoS2 basal planes for hydrogen evolution by zinc. Angew. Chem. Int. Ed. 2019, 58, 2029–2033. [Google Scholar] [CrossRef]
- Lin, L.; Sherrell, P.; Liu, Y.; Lei, W.; Zhang, S.; Zhang, H.; Wallace, G.G.; Chen, J. Engineered 2D transition metal dichalcogenides—A vision of viable hydrogen evolution reaction catalysis. Adv. Energy Mater. 2020, 10, 1903870. [Google Scholar] [CrossRef]
- Zhang, S.; Zhang, X.; Rui, Y.; Wang, R.; Li, X. Recent advances in non-precious metal electrocatalysts for pH-universal hydrogen evolution reaction. Green Energy Environ. 2021, 6, 458–478. [Google Scholar] [CrossRef]
- Luo, W.; Wang, Y.; Cheng, C. Ru-based electrocatalysts for hydrogen evolution reaction: Recent research advances and perspectives. Mater. Chem. Phys. 2020, 15, 100274. [Google Scholar]
- Chen, Y.; Zheng, Y.; Yue, X.; Huang, S. Hydrogen evolution reaction in full pH range on nickel doped tungsten carbide nanocubes as efficient and durable non-precious metal electrocatalysts. Int. J. Hydrogen Energy 2020, 45, 8695–8702. [Google Scholar] [CrossRef]
- Chao, T.; Hu, Y.; Hong, X.; Li, Y. Design of noble metal electrocatalysts on an atomic level. ChemElectroChem 2019, 6, 289–303. [Google Scholar] [CrossRef]
- Yan, Y.; Wang, P.; Lin, J.; Cao, J.; Qi, J. Modification strategies on transition metal-based electrocatalysts for efficient water splitting. J. Energy Chem. 2021, 58, 446–462. [Google Scholar] [CrossRef]
- Mohammed-Ibrahim, J.; Sun, X. Recent progress on earth abundant electrocatalysts for hydrogen evolution reaction (HER) in alkaline medium to achieve efficient water splitting—A review. J. Energy Chem. 2019, 34, 111–160. [Google Scholar] [CrossRef]
- Qian, G.; Chen, J.; Yu, T.; Liu, J.; Luo, L.; Yin, S. Three-phase heterojunction NiMo-based nano-needle for water splitting at industrial alkaline conditions. Nano-Micro Lett. 2022, 14, 20. [Google Scholar] [CrossRef] [PubMed]
- Toghraei, A.; Shahrabi, T.; Darband, G.B. Electrodeposition of self-supported Ni-Mo-P film on Ni foam as an affordable and high-performance electrocatalyst toward hydrogen evolution reaction. Electrochim. Acta 2020, 335, 135643. [Google Scholar] [CrossRef]
- Xue, S.; Zhang, W.; Zhang, Q.; Du, J.; Cheng, H.M.; Ren, W. Heterostructured Ni–Mo–N nanoparticles decorated on reduced graphene oxide as efficient and robust electrocatalyst for hydrogen evolution reaction. Carbon 2020, 165, 122–128. [Google Scholar] [CrossRef]
- Lu, X.; Cai, M.; Huang, J.; Xu, C. Ultrathin and porous Mo-doped Ni nanosheet arrays as high-efficient electrocatalysts for hydrogen evolution reaction. J. Colloid Interface Sci. 2020, 562, 307–312. [Google Scholar] [CrossRef]
- Mei, M.; Xu, X.; Wang, Y.; Wang, X.; Huo, Y. Three-dimensional supramolecular phosphomolybdate architecture-derived Mo-based electrocatalytic system for overall water splitting. Inorg. Chem. Front. 2018, 5, 819–826. [Google Scholar] [CrossRef]
- Liu, Y.; Yang, F.; Qin, W.; Yang, G. Co2P@ NiCo2O4 bi-functional electrocatalyst with low overpotential for water splitting in wide range pH electrolytes. J. Colloid Interface Sci. 2019, 534, 55–63. [Google Scholar] [CrossRef]
- Cai, Z.; Li, A.; Zhang, W.; Zhang, Y.; Cui, L.; Liu, J. Hierarchical Cu@ Co-decorated CuO@ Co3O4 nanostructure on Cu foam as efficient self-supported catalyst for hydrogen evolution reaction. J. Alloys Compd. 2021, 882, 160749. [Google Scholar] [CrossRef]
- Milikić, J.; Balčiūnaitė, A.; Sukackienė, Z.; Mladenović, D.; Santos, D.M.; Tamašauskaitė-Tamašiūnaitė, L.; Šljukić, B. Bimetallic Co-based (CoM, M= Mo, Fe, Mn) coatings for high-efficiency water splitting. Materials 2020, 14, 92. [Google Scholar] [CrossRef]
- Gong, Y.; Pan, H.; Xu, Z.; Yang, Z.; Lin, Y.; Wang, J. Crossed FeCo2S4 nanosheet arrays grown on 3D nickel foam as high-efficiency electrocatalyst for overall water splitting. Int. J. Hydrogen Energy 2018, 43, 17259–17264. [Google Scholar] [CrossRef]
- Liu, X.; Yin, Y.; Xiong, K.; Li, M. Facile synthesis of low-cost Fe3C-nitrogen and phosphorus co-doped porous carbon nanofibers: The efficient hydrogen evolution reaction catalysts. J. Alloys Compd. 2021, 856, 156213. [Google Scholar] [CrossRef]
- Lv, F.; Feng, J.; Wang, K.; Dou, Z.; Zhang, W.; Zhou, J.; Yang, C.; Luo, M.; Yang, Y.; Li, Y.; et al. Iridium–tungsten alloy nanodendrites as pH-universal water-splitting electrocatalysts. ACS Cent. Sci. 2018, 4, 1244–1252. [Google Scholar] [CrossRef] [PubMed]
- Su, W.; Yan, P.; Wei, X.; Zhu, X.; Zhou, Q. Facile one-step synthesis of nitrogen-doped carbon sheets supported tungsten carbide nanoparticles electrocatalyst for hydrogen evolution reaction. Int. J. Hydrogen Energy 2020, 45, 33430–33439. [Google Scholar] [CrossRef]
- Huang, J.; Hong, W.; Liu, W. Molybdenum carbide nanosheets decorated with Ni(OH)2 nanoparticles towards efficient hydrogen evolution reaction in alkaline media. Appl. Surf. Sci. 2022, 579, 152152. [Google Scholar] [CrossRef]
- Kim, S.K.; Qiu, Y.; Zhang, Y.J.; Hurt, R.; Peterson, A. Nanocomposites of transition-metal carbides on reduced graphite oxide as catalysts for the hydrogen evolution reaction. Appl. Catal. B Environ. 2018, 235, 36–44. [Google Scholar] [CrossRef]
- Li, X.; Liu, Y.; Wu, Y.; Li, S.; Dai, Y.; Guan, J.; Zhang, M. Vanadium doped nickel cobalt phosphide as an efficient and stable electrode catalyst for hydrogen evolution reaction. J. Electroanal. Chem. 2021, 902, 115812. [Google Scholar] [CrossRef]
- Thi, M.L.N.; Tran, T.H.; Anh, P.H.; Nhac-Vu, H.T.; Bui, Q.B. Hierarchical zinc–nickel phosphides nanosheets on 3D nickel foam as self-supporting electrocatalysts for hydrogen evolution reaction. Polyhedron 2019, 168, 80–87. [Google Scholar] [CrossRef]
- Lu, Z.P.; Sepunaru, L. Electrodeposition of iron phosphide film for hydrogen evolution reaction. Electrochim. Acta 2020, 363, 137167. [Google Scholar] [CrossRef]
- Chen, P.; Ye, J.; Wang, H.; Ouyang, L.; Zhu, M. Recent progress of transition metal carbides/nitrides for electrocatalytic water splitting. J. Alloys Compd. 2021, 883, 160833. [Google Scholar] [CrossRef]
- Gao, T.; Nie, M.; Luo, J.; Huang, Z.; Sun, H.; Guo, P.; Xue, Z.; Liao, J.; Li, Q.; Teng, L. Nickel sulfides supported by carbon spheres as efficient catalysts for hydrogen evolution reaction. Electrochem. Commun. 2021, 129, 107076. [Google Scholar] [CrossRef]
- Wang, L.; Fan, J.; Liu, Y.; Chen, M.; Lin, Y.; Bi, H.; Liu, B.; Shi, N.; Xu, D.; Bao, J.; et al. Phase-modulation of iron/nickel phosphides nanocrystals “Armored” with porous P-doped carbon and anchored on P-doped graphene nanohybrids for enhanced overall water splitting. Adv. Funct. Mater. 2021, 31, 2010912. [Google Scholar] [CrossRef]
- Papaderakis, A.; Mintsouli, I.; Georgieva, J.; Sotiropoulos, S. Electrocatalysts prepared by galvanic replacement. Catalysts 2017, 7, 80. [Google Scholar] [CrossRef]
- Zhao, X.; He, B.; Zhang, J.; Du, C.; Ye, Q.; Liu, S. Electrodeposition of mesoporous Ni–Mo–O composite films for hydrogen evolution reaction. Vacuum 2022, 198, 110888. [Google Scholar] [CrossRef]
- Wu, Y.; He, H. Electrodeposited nickel–iron–carbon–molybdenum film as efficient bifunctional electrocatalyst for overall water splitting in alkaline solution. Int. J. Hydrogen Energy 2019, 44, 1336–1344. [Google Scholar] [CrossRef]
- Bodnarova, R.; Kozejova, M.; Latyshev, V.; Vorobiov, S.; Lisnichuk, M.; You, H.; Gregor, M.; Komanicky, V. Study of synergistic effects and compositional dependence of hydrogen evolution reaction on MoxNiy alloy thin films in alkaline media. Mol. Catal. 2022, 528, 112481. [Google Scholar] [CrossRef]
- Li, M.; Zhu, Y.; Wang, H.; Wang, C.; Pinna, N.; Lu, X. Ni strongly coupled with Mo2C encapsulated in nitrogen-doped carbon nanofibers as robust bifunctional catalyst for overall water splitting. Adv. Energy Mater. 2019, 9, 1803185. [Google Scholar] [CrossRef]
- Kuang, P.; Tong, T.; Fan, K.; Yu, J. In situ fabrication of Ni–Mo bimetal sulfide hybrid as an efficient electrocatalyst for hydrogen evolution over a wide pH range. ACS Catal. 2017, 7, 6179–6187. [Google Scholar] [CrossRef]
- Nady, H.; El-Rabiei, M.M.; Samy, M.; Deyab, M.A.; Abd El-Hafez, G.M. Novel Ni–Cr-based alloys as hydrogen fuel sources through alkaline water electrolytes. Int. J. Hydrogen Energy 2021, 46, 34749–34766. [Google Scholar] [CrossRef]
- Laszczyńska, A.; Tylus, W.; Szczygieł, I. Electrocatalytic properties for the hydrogen evolution of the electrodeposited Ni–Mo/WC composites. Int. J. Hydrogen Energy 2021, 46, 22813–22831. [Google Scholar] [CrossRef]
- Wang, J.; Wang, Y.; Xie, T.; Deng, Q. Facile and fast synthesis of Ni composite coating on Ti mesh by electrodeposition method for high-performance hydrogen production. Mater. Lett. 2019, 245, 138–141. [Google Scholar] [CrossRef]
- Wang, J.; Wang, Y.; Yao, Z.; Xie, T.; Deng, Q.; Jiang, Z.; Zhu, Q.; Liu, S.; Peng, Y.; Zhang, X. Enhanced hydrogen evolution activity of Ni/Ni3S2 nanosheet grown on Ti Mesh by Cu Doped Ni. J. Electrochem. Soc. 2019, 166, F168. [Google Scholar] [CrossRef]
- De Silva, U.; Masud, J.; Zhang, N.; Hong, Y.; Liyanage, W.P.; Zaeem, M.A.; Nath, M. Nickel telluride as a bifunctional electrocatalyst for efficient water splitting in alkaline medium. J. Mater. Chem. A 2018, 6, 7608–7622. [Google Scholar] [CrossRef]
- Ge, Y.; Gao, S.P.; Dong, P.; Baines, R.; Ajayan, P.M.; Ye, M.; Shen, J. Insight into the hydrogen evolution reaction of nickel dichalcogenide nanosheets: Activities related to non-metal ligands. Nanoscale 2017, 9, 5538–5544. [Google Scholar] [CrossRef] [PubMed]
- Yang, L.; Xu, H.; Liu, H.; Cheng, D.; Cao, D. Active site identification and evaluation criteria of in situ grown CoTe and NiTe nanoarrays for hydrogen evolution and oxygen evolution reactions. Small Methods 2019, 3, 1900113. [Google Scholar] [CrossRef]
- Nappini, S.; B’Olimpio, G.; Zhang, L.; Ghosh, B.; Kuo, C.-N.; Zhu, H.; Cheng, J.; Nardone, M.; Ottaviano, L.; Mondal, D.; et al. Transition-metal dichalcogenide NiTe2: An ambient-stable material for catalysis and nanoelectronics. Adv. Funct. Mater. 2020, 30, 2000915. [Google Scholar] [CrossRef]





| Catalysts | Concentration in Mol dm−3 | |
|---|---|---|
| Ni2+ | Mo6+ | |
| NiMo/Ti-1 | 0.1 | 0.03 |
| NiMo/Ti-2 | 0.2 | 0.03 |
| NiMo/Ti-3 | 1.0 | 0.03 |
| Catalyst | Ni Loadings (µgNicm−2) | Mo Loadings (µgMocm−2) | Auloadings (µgAucm−2) | Total Metal Loading (µgmetalcm−2) | Mass Weight Ratio | |
|---|---|---|---|---|---|---|
| Mo:Ni | Au:NiMo | |||||
| NiMo/Ti-1 | 23.4 | 4.9 | 28.3 | 1:4.78 | ||
| NiMo/Ti-2 | 29.6 | 5.3 | 34.9 | 1:5.58 | ||
| NiMo/Ti-3 | 99.5 | 6.7 | 106.2 | 1:14.85 | ||
| Au(NiMo)/Ti-1 | 18.3 | 4.4 | 1.2 | 23.9 | 1:4.16 | 1:18.92 |
| Au(NiMo)/Ti-2 | 25.4 | 4.6 | 1.7 | 31.7 | 1:5.52 | 1:17.65 |
| Au(NiMo)/Ti-3 | 81.4 | 6.0 | 5.2 | 92.6 | 1:13.57 | 1:16.81 |
| Catalysts | j (mA·cm−2) in Different Temperatures (°C) at −0.424 V | Tafel Slope (mV·dec−1) | η10 * (mV) | j0 (mA·cm−2) | |||||
|---|---|---|---|---|---|---|---|---|---|
| 25 | 35 | 45 | 55 | 65 | 75 | ||||
| NiMo/Ti-1 | −21.75 | −27.25 | −32.14 | −35.99 | −37.83 | −38.91 | 99.6 | −349 | 0.005 |
| NiMo/Ti-2 | −26.5 | −31.94 | −39.72 | −49.53 | −55.44 | −61.05 | 100.5 | −344 | 0.006 |
| NiMo/Ti-3 | −34.81 | −51.09 | −61.63 | −72.42 | −83.62 | −95.19 | 130.4 | −288 | 0.075 |
| Au(NiMo)/Ti-1 | −36.58 | −39.32 | −47.04 | −54.93 | −61.86 | −68.68 | 143.8 | −308 | 0.076 |
| Au(NiMo)/Ti-2 | −40.73 | −46.19 | −58.55 | −68.86 | −79.8 | −89.45 | 98.7 | −298 | 0.011 |
| Au(NiMo)/Ti-3 | −49.84 | −56.38 | −68 | −78.81 | −91.6 | −102.86 | 131.2 | −252 | 0.144 |
| Catalyst | Overpotential η10 ** (mV) | Tafel Slope (mV·dec−1) | Temperature (°C) | Electrolyte | Ref. |
|---|---|---|---|---|---|
| Au(NiMo)/Ti-3 | −252 | 131.2 | 25 | 1 M NaOH | This work |
| NiMo/Ti-3 | −288 | 130.4 | 25 | 1 M NaOH | This work |
| Au(NiMo)/Ti-2 | −298 | 98.7 | 25 | 1 M NaOH | This work |
| NiMo/Ti-2 | −344 | 100.5 | 25 | 1 M NaOH | This work |
| Au(NiMo)/Ti-1 | −308 | 143.8 | 25 | 1 M NaOH | This work |
| NiMo/Ti-1 | −349 | 99.6 | 25 | 1 M NaOH | This work |
| Ni-Mo-O MCFs | −222.8 | 141.6 | - | 1 M KOH | [33] |
| NiFeCMo-30 | −254 | 163.9 | - | 30% KOH | [34] |
| NiS2/MoS2 HNW | −204 | 65 | - | 1 M KOH | [37] |
| Ni–Cr–Mo–Fe, Ni–Cr–Mo, Ni–Cr alloy | −232 −249 −255 | 57.7 61.1 62.3 | 25 | 1 M KOH | [38] |
| Ni–Mo/WC 1, Ni–Mo/WC 2, Ni–Mo/WC 3 | −411 −262 −134 | 208 153 163 | 25 | 1 M KOH | [39] |
| Ni/TM-360 s | −205 | 104 | - | 1 M KOH | [40] |
| NiCu0.57/Ni3S2/TM, Ni/Ni3S2/TM | −239 −441 | 86 195 | - | 1 M KOH | [41] |
| Ni3Te2-Ni foam Ni3Te2-Au glass Ni3Te2-Hydrothermal | −212 −237 −304 | 126.2 73.1 94.2 | - | 1 M KOH | [42] |
| NiTe2-nanosheet | −256 | 98 | - | 1 M KOH | [43] |
| NiTeNR/NF | −248 | 185 | - | 1 M KOH | [44] |
| NiTe2 | −520 | 188.3 | - | 1 M KOH | [45] |
Publisher’s Note: MDPI stays neutral with regard to jurisdictional claims in published maps and institutional affiliations. |
© 2022 by the authors. Licensee MDPI, Basel, Switzerland. This article is an open access article distributed under the terms and conditions of the Creative Commons Attribution (CC BY) license (https://creativecommons.org/licenses/by/4.0/).
Share and Cite
Barua, S.; Balčiūnaitė, A.; Vaičiūnienė, J.; Tamašauskaitė-Tamašiūnaitė, L.; Norkus, E. Three-Dimensional Au(NiMo)/Ti Catalysts for Efficient Hydrogen Evolution Reaction. Materials 2022, 15, 7901. https://doi.org/10.3390/ma15227901
Barua S, Balčiūnaitė A, Vaičiūnienė J, Tamašauskaitė-Tamašiūnaitė L, Norkus E. Three-Dimensional Au(NiMo)/Ti Catalysts for Efficient Hydrogen Evolution Reaction. Materials. 2022; 15(22):7901. https://doi.org/10.3390/ma15227901
Chicago/Turabian StyleBarua, Sukomol, Aldona Balčiūnaitė, Jūrate Vaičiūnienė, Loreta Tamašauskaitė-Tamašiūnaitė, and Eugenijus Norkus. 2022. "Three-Dimensional Au(NiMo)/Ti Catalysts for Efficient Hydrogen Evolution Reaction" Materials 15, no. 22: 7901. https://doi.org/10.3390/ma15227901
APA StyleBarua, S., Balčiūnaitė, A., Vaičiūnienė, J., Tamašauskaitė-Tamašiūnaitė, L., & Norkus, E. (2022). Three-Dimensional Au(NiMo)/Ti Catalysts for Efficient Hydrogen Evolution Reaction. Materials, 15(22), 7901. https://doi.org/10.3390/ma15227901

