Temperature Sensor Based on Surface Plasmon Resonance with TiO2-Au-TiO2 Triple Structure
Abstract
1. Introduction
2. Theoretical Analysis
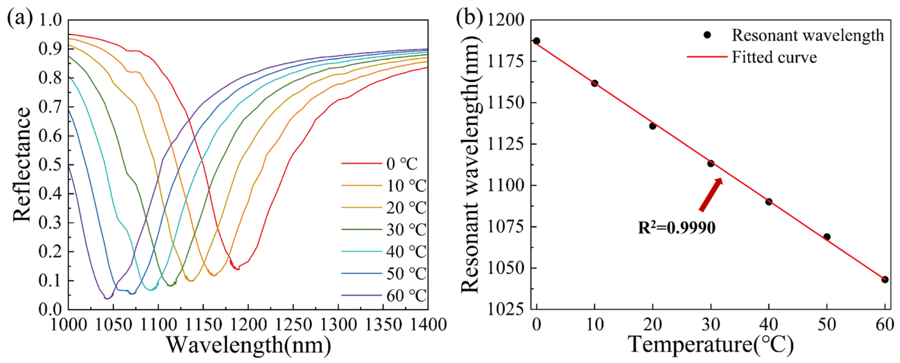
3. Results and Discussion
4. Conclusions
Author Contributions
Funding
Institutional Review Board Statement
Informed Consent Statement
Data Availability Statement
Conflicts of Interest
References
- Nguyen, H.H.; Park, J.; Kang, S.; Kim, M. Surface Plasmon Resonance: A Versatile Technique for Biosensor Applications. Sensors 2015, 15, 10481–10510. [Google Scholar] [CrossRef] [PubMed]
- Li, M.; Cushing, S.K.; Wu, N. Plasmon-Enhanced Optical Sensors: A Review. Analyst 2014, 140, 386–406. [Google Scholar] [CrossRef] [PubMed]
- Jing, J.Y.; Wang, Q.; Zhao, W.M.; Wang, B.T. Long-Range Surface Plasmon Resonance and Its Sensing Applications: A Review. Opt. Lasers Eng. 2019, 112, 103–118. [Google Scholar] [CrossRef]
- Jones, M.R.; Osberg, K.D.; MacFarlane, R.J.; Langille, M.R.; Mirkin, C.A. Templated Techniques for the Synthesis and Assembly of Plasmonic Nanostructures. Chem. Rev. 2011, 111, 3736–3827. [Google Scholar] [CrossRef] [PubMed]
- Zhu, J.; Ruan, B.; You, Q.; Guo, J.; Dai, X.; Xiang, Y. Terahertz Imaging Sensor Based on the Strong Coupling of Surface Plasmon Polaritons between PVDF and Graphene. Sens. Actuators B 2018, 264, 398–403. [Google Scholar] [CrossRef]
- Zangeneh-Nejad, F.; Safian, R. A Graphene-Based THz Ring Resonator for Label-Free Sensing. IEEE Sens. J. 2016, 16, 4338–4344. [Google Scholar] [CrossRef]
- Kim, I.I.; Kihm, K.D. Nano Sensing and Energy Conversion Using Surface Plasmon Resonance (SPR). Materials 2015, 8, 4332–4343. [Google Scholar] [CrossRef]
- Özdemir, S.K.; Turhan-Sayan, G. Temperature Effects on Surface Plasmon Resonance: Design Considerations for an Optical Temperature Sensor. J. Light. Technol. 2003, 21, 805–814. [Google Scholar] [CrossRef]
- Shrivastav, A.M.; Cvelbar, U.; Abdulhalim, I. A Comprehensive Review on Plasmonic-Based Biosensors Used in Viral Diagnostics. Commun. Biol. 2021, 4, 70. [Google Scholar] [CrossRef]
- Gade, A.; Sharma, A.; Srivastava, N.; Flora, S.J.S. Surface Plasmon Resonance: A Promising Approach for Label-Free Early Cancer Diagnosis. Clin. Chim. Acta 2022, 527, 79–88. [Google Scholar] [CrossRef]
- Chaudhary, V.S.; Kumar, D.; Mishra, G.P.; Sharma, S.; Kumar, S. Plasmonic Biosensor With Gold and Titanium Dioxide Immobilized on Photonic Crystal Fiber for Blood Composition Detection. IEEE Sens. J 2022, 22, 8474–8481. [Google Scholar] [CrossRef]
- Cui, F.; Zhou, H.S. Diagnostic Methods and Potential Portable Biosensors for Coronavirus Disease 2019. Biosens. Bioelectron. 2020, 165, 112349. [Google Scholar] [CrossRef]
- Zhou, J.; Qi, Q.; Wang, C.; Qian, Y.; Liu, G.; Wang, Y.; Fu, L. Surface Plasmon Resonance (SPR) Biosensors for Food Allergen Detection in Food Matrices. Biosens. Bioelectron. 2019, 142, 111449. [Google Scholar] [CrossRef]
- Pundir, C.S.; Malik, A. Preety Bio-Sensing of Organophosphorus Pesticides: A Review. Biosens. Bioelectron. 2019, 140, 111348. [Google Scholar] [CrossRef]
- Usha, S.P.; Mishra, S.K.; Gupta, B.D. Fabrication and Characterization of a SPR Based Fiber Optic Sensor for the Detection of Chlorine Gas Using Silver and Zinc Oxide. Materials 2015, 8, 2204–2216. [Google Scholar] [CrossRef]
- Xu, H.; Song, Y.; Zhu, P.; Zhao, W.; Liu, T.; Wang, Q.; Zhao, T. Alcohol Sensor Based on Surface Plasmon Resonance of ZnO Nanoflowers/Au Structure. Materials 2021, 15, 189. [Google Scholar] [CrossRef]
- Omar, N.A.S.; Fen, Y.W.; Saleviter, S.; Daniyal, W.M.E.M.M.; Anas, N.A.A.; Ramdzan, N.S.M.; Roshidi, M.D.A. Development of a Graphene-Based Surface Plasmon Resonance Optical Sensor Chip for Potential Biomedical Application. Materials 2019, 12, 1928. [Google Scholar] [CrossRef]
- Son, C.; Ju, H.; Ravindra, M.; Fiory, A.T. Magnetic Control of Optical Reflectance from Metallic Thin Film Using Surface Plasmon Resonance and Faraday Rotation. Materials 2021, 14, 3354. [Google Scholar] [CrossRef]
- Zhao, Y.; Wu, Q.-L.; Zhang, Y.-N. Simultaneous Measurement of Salinity, Temperature and Pressure in Seawater Using Optical Fiber SPR Sensor. Measurement 2019, 148, 106792. [Google Scholar] [CrossRef]
- Grattan, K.T.V.; Sun, T. Optical-Fiber Sensors: Temperature and Pressure Sensors. MRS Bull. 2002, 27, 389–395. [Google Scholar] [CrossRef]
- Xiong, M.; Teng, C.; Chen, M.; Cheng, Y.; Deng, S.; Li, F.; Deng, H.; Liu, H.; Yuan, L. Simulation Study of High Sensitivity Fiber SPR Temperature Sensor with Liquid Filling. Sensors 2022, 22, 5713. [Google Scholar] [CrossRef] [PubMed]
- Kaiser, T. Fire Detection with Temperature Sensor Arrays. In Proceedings of the IEEE Annual International Carnahan Conference on Security Technology, Ottawa, ON, Canada, 23–25 October 2000; pp. 262–268. [Google Scholar] [CrossRef]
- Yin, H.; Cao, Y.; Marelli, B.; Zeng, X.; Mason, A.J.; Cao, C.; Yin, H.; Mason, A.J.; Cao, C.; Cao, Y.; et al. Soil Sensors and Plant Wearables for Smart and Precision Agriculture. Adv. Mater. 2021, 33, 2007764. [Google Scholar] [CrossRef] [PubMed]
- Bagavathiappan, S.; Lahiri, B.B.; Saravanan, T.; Philip, J.; Jayakumar, T. Infrared Thermography for Condition Monitoring—A Review. Infrared Phys. Technol. 2013, 60, 35–55. [Google Scholar] [CrossRef]
- Roriz, P.; Silva, S.; Frazão, O.; Novais, S. Optical Fiber Temperature Sensors and Their Biomedical Applications. Sensors 2020, 20, 2113. [Google Scholar] [CrossRef] [PubMed]
- Homola, J.; Yee, S.S.; Gauglitz, G. Surface Plasmon Resonance Sensors: Review. Sens. Actuators B Chem. 1999, 54, 3–15. [Google Scholar] [CrossRef]
- Shukla, S.; Sharma, N.K.; Sajal, V. Sensitivity Enhancement of a Surface Plasmon Resonance Based Fiber Optic Sensor Using ZnO Thin Film: A Theoretical Study. Sens. Actuators B Chem. 2015, 206, 463–470. [Google Scholar] [CrossRef]
- Rodrigues, E.P.; Oliveira, L.C.; Silva, M.L.F.; Moreira, C.S.; Lima, A.M.N. Surface Plasmon Resonance Sensing Characteristics of Thin Copper and Gold Films in Aqueous and Gaseous Interfaces. IEEE Sens. J. 2020, 20, 7701–7710. [Google Scholar] [CrossRef]
- Zhou, X.; Li, S.; Li, X.; Yan, X.; Zhang, X.; Wang, F.; Cheng, T. High-Sensitivity SPR Temperature Sensor Based on Hollow-Core Fiber. IEEE Trans. Instrum. Meas. 2020, 69, 8494–8499. [Google Scholar] [CrossRef]
- Lambert, A.S.; Valiulis, S.N.; Malinick, A.S.; Tanabe, I.; Cheng, Q. Plasmonic Biosensing with Aluminum Thin Films under the Kretschmann Configuration. Anal. Chem. 2020, 92, 8654–8659. [Google Scholar] [CrossRef]
- Basso, C.R.; Cruz, T.F.; Silva, B.L.; Pedrosa, V.A.; Araújo, J.P. A Methodology for Porcine Circovirus 2 (PCV-2) Quantification Based on Gold Nanoparticles. Materials 2020, 13, 1087. [Google Scholar] [CrossRef]
- Nycz, M.; Arkusz, K.; Pijanowska, D.G. Fabrication of Electrochemical Biosensor Based on Titanium Dioxide Nanotubes and Silver Nanoparticles for Heat Shock Protein 70 Detection. Materials 2021, 14, 3767. [Google Scholar] [CrossRef] [PubMed]
- Manera, M.G.; Montagna, G.; Ferreiro-Vila, E.; González-García, L.; Sánchez-Valencia, J.R.; González-Elipe, A.R.; Cebollada, A.; Garcia-Martin, J.M.; Garcia-Martin, A.; Armelles, G.; et al. Enhanced Gas Sensing Performance of TiO2 Functionalized Magneto-Optical SPR Sensors. J. Mater. Chem. 2011, 21, 16049–16056. [Google Scholar] [CrossRef]
- Lettieri, S.; Pavone, M.; Fioravanti, A.; Amato, L.S.; Maddalena, P. Charge Carrier Processes and Optical Properties in TiO2 and TiO2-Based Heterojunction Photocatalysts: A Review. Materials 2021, 14, 1645. [Google Scholar] [CrossRef]
- Wang, C.; Guo, X.; Fu, Q. TiO2 Thickness-Dependent Charge Transfer in an Ordered Ag/TiO2/Ni Nanopillar Arrays Based on Surface-Enhanced Raman Scattering. Materials 2022, 15, 3716. [Google Scholar] [CrossRef]
- Gr¨atzel, M.; Gr¨atzel, G. Sol-Gel Processed TiO2 Films for Photovoltaic Applications. J. Sol-Gel Sci. Technol. 2001, 22, 7–13. [Google Scholar] [CrossRef]
- Lü, C.; Cui, Z.; Guan, C.; Guan, J.; Yang, B.; Shen, J. Research on Preparation, Structure and Properties of TiO2/Polythiourethane Hybrid Optical Films with High Refractive Index. Macromol. Mater. Eng. 2003, 288, 717–723. [Google Scholar] [CrossRef]
- Bouich, A. Study and Characterization of Hybrid Perovskites and Copper-Indium-Gallium Selenide Thin Films for Tandem Solar Cells; Universitat Politècnica de València: Valencia, Spain, 2020. [Google Scholar]
- Bouich, A.; Marí-Guaita, J.; Soucase, B.M.; Palacios, P. Manufacture of High-Efficiency and Stable Lead-Free Solar Cells through Antisolvent Quenching Engineering. Nanomaterials 2022, 12, 2901. [Google Scholar] [CrossRef]
- Manera, M.G.; Davide Cozzoli, P.; Leo, G.; Lucia Curri, M.; Agostiano, A.; Vasanelli, L.; Rella, R. Thin Films of TiO2 Nanocrystals with Controlled Shape and Surface Coating for Surface Plasmon Resonance Alcohol Vapour Sensing. Sens. Actuators B Chem. 2007, 126, 562–572. [Google Scholar] [CrossRef]
- Zhao, Y.; Tong, R.-J.; Xia, F.; Peng, Y. Current Status of Optical Fiber Biosensor Based on Surface Plasmon Resonance. Biosens. Bioelectron. 2019, 142, 111505. [Google Scholar] [CrossRef]
- Tabasi, O.; Falamaki, C. Recent Advancements in the Methodologies Applied for the Sensitivity Enhancement of Surface Plasmon Resonance Sensors. Anal. Methods 2018, 10, 3906–3925. [Google Scholar] [CrossRef]
- Kretschmann, E.; Raether, H. Radiative Decay of Non Radiative Surface Plasmons Excited by Light. Z. Fur Nat. Sect. A J. Phys. Sci. 1968, 23, 2135–2136. [Google Scholar] [CrossRef]
- Zeng, S.; Hu, S.; Xia, J.; Anderson, T.; Dinh, X.Q.; Meng, X.M.; Coquet, P.; Yong, K.T. Graphene–MoS2 Hybrid Nanostructures Enhanced Surface Plasmon Resonance Biosensors. Sens. Actuators B Chem. 2015, 207, 801–810. [Google Scholar] [CrossRef]
- Hakami, J.; Abassi, A.; Dhibi, A. Performance Enhancement of Surface Plasmon Resonance Sensor Based on Ag-TiO2-MAPbX3-Graphene for the Detection of Glucose in Water. Opt. Quantum Electron. 2021, 53, 1–17. [Google Scholar] [CrossRef]
- Adikan, F.R.M.; Shee, Y.G.; Ahmed, R.; Rifat, A.A.; Mahdiraji, G.A.; Sua, Y.M. Highly Sensitive Multi-Core Flat Fiber Surface Plasmon Resonance Refractive Index Sensor. Opt. Express 2016, 24, 2485–2495. [Google Scholar] [CrossRef]
- Kim, J.; Hong, U.G.; Choi, Y.; Hong, S. Enhancing the Evanescent Field in TiO2/Au Hybrid Thin Films Creates a Highly Sensitive Room-Temperature Formaldehyde Gas Biosensor. Colloids Surf. B Biointerfaces 2019, 182, 110303. [Google Scholar] [CrossRef]
- Wang, R.; Yao, J.; Miao, Y.; Lu, Y.; Xu, D.; Luan, N.; Musideke, M.; Duan, L.; Hao, C. A Reflective Photonic Crystal Fiber Temperature Sensor Probe Based on Infiltration with Liquid Mixtures. Sensors 2013, 13, 7916–7925. [Google Scholar] [CrossRef]
- Liu, B.; Aydil, E.S. Growth of Oriented Single-Crystalline Rutile TiO2 Nanorods on Transparent Conducting Substrates for Dye-Sensitized Solar Cells. J. Am. Chem. Soc. 2009, 131, 3985–3990. [Google Scholar] [CrossRef]











| Thickness of TiO2 (nm) | Thickness of Au (nm) | ΔWavelength (nm) | Sensitivity (nm/RIU) | FWHM (nm) | FOM (/RIU) |
|---|---|---|---|---|---|
| 160 | 40 | 172.4 | 7219.43 | 238.12 | 30.32 |
| 170 | 40 | 166.1 | 6955.61 | 214.92 | 32.36 |
| 180 | 40 | 155.0 | 6490.79 | 328.81 | 19.74 |
| 170 | 45 | 125.8 | 5268.01 | 158.39 | 33.26 |
| 160 | 45 | 123.8 | 5184.25 | 132.20 | 39.20 |
| 180 | 45 | 114.5 | 4794.81 | 176.06 | 27.23 |
| Height (nm) | ΔWavelength (nm) | Sensitivity (nm/RIU) | FWHM (nm) | FOM (/RIU) |
|---|---|---|---|---|
| 30 | 111.0 | 4648.24 | 93.38 | 49.78 |
| 40 | 135.5 | 5674.20 | 92.91 | 61.07 |
| 50 | 144.2 | 6038.53 | 80.88 | 74.66 |
| 60 | 150.7 | 6310.72 | 103.8 | 60.8 |
| Radius (nm) | ΔWavelength (nm) | Sensitivity (nm/RIU) | FWHM (nm) | FOM (/RIU) |
|---|---|---|---|---|
| 5 | 102.3 | 4283.92 | 91.00 | 47.08 |
| 10 | 123.4 | 5167.50 | 93.21 | 55.44 |
| 15 | 144.2 | 6038.53 | 80.88 | 74.66 |
| 20 | 143.3 | 6000.84 | 108.03 | 55.55 |
| Spacing (nm) | ΔWavelength (nm) | Sensitivity (nm/RIU) | FWHM (nm) | FOM (/RIU) |
|---|---|---|---|---|
| 10 | 159.3 | 6670.85 | 98.04 | 68.04 |
| 20 | 144.2 | 6038.53 | 80.88 | 74.66 |
| 30 | 124.7 | 5221.94 | 96.51 | 54.11 |
Publisher’s Note: MDPI stays neutral with regard to jurisdictional claims in published maps and institutional affiliations. |
© 2022 by the authors. Licensee MDPI, Basel, Switzerland. This article is an open access article distributed under the terms and conditions of the Creative Commons Attribution (CC BY) license (https://creativecommons.org/licenses/by/4.0/).
Share and Cite
Song, Y.; Sun, M.; Wu, H.; Zhao, W.; Wang, Q. Temperature Sensor Based on Surface Plasmon Resonance with TiO2-Au-TiO2 Triple Structure. Materials 2022, 15, 7766. https://doi.org/10.3390/ma15217766
Song Y, Sun M, Wu H, Zhao W, Wang Q. Temperature Sensor Based on Surface Plasmon Resonance with TiO2-Au-TiO2 Triple Structure. Materials. 2022; 15(21):7766. https://doi.org/10.3390/ma15217766
Chicago/Turabian StyleSong, Yutong, Meng Sun, Haoyu Wu, Wanli Zhao, and Qi Wang. 2022. "Temperature Sensor Based on Surface Plasmon Resonance with TiO2-Au-TiO2 Triple Structure" Materials 15, no. 21: 7766. https://doi.org/10.3390/ma15217766
APA StyleSong, Y., Sun, M., Wu, H., Zhao, W., & Wang, Q. (2022). Temperature Sensor Based on Surface Plasmon Resonance with TiO2-Au-TiO2 Triple Structure. Materials, 15(21), 7766. https://doi.org/10.3390/ma15217766

