Magnetic Induction Assisted Heating Technique in Hydrothermal Zeolite Synthesis
Abstract
:1. Introduction
2. Materials and Methods
2.1. Apparatus Setup and Synthesis of NaX Zeolite
2.2. Characterization of the NaX Zeolite
3. Results and Discussion
3.1. The Synthesis of the NaX Zeolite
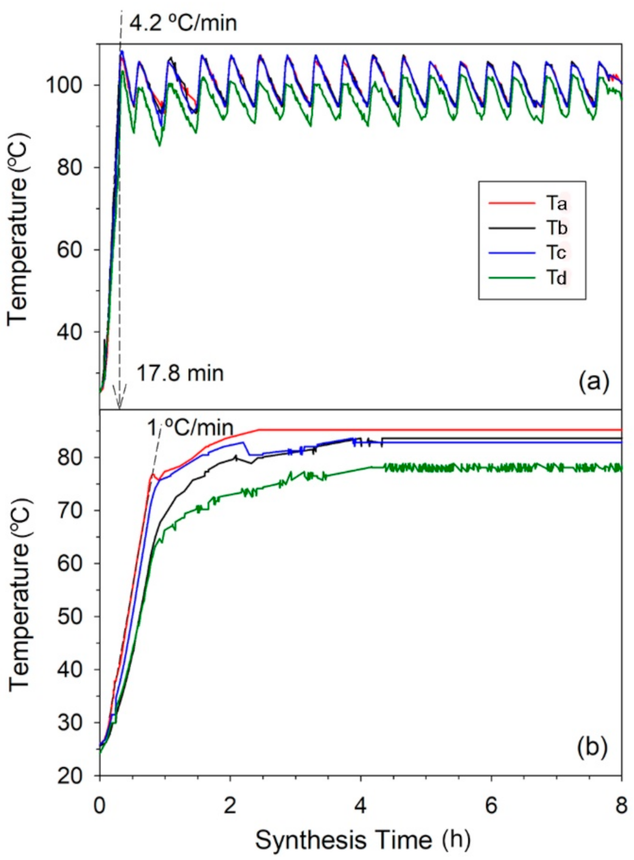
3.2. Comparative Study of the Heat-Transfer Efficiency Using Magnetic Induction and Convection Oil Bath Heating Techniques
4. Conclusions
Author Contributions
Funding
Institutional Review Board Statement
Informed Consent Statement
Data Availability Statement
Conflicts of Interest
References
- Breck, D.W. Zeolite Molecular Sieves: Structure, Chemistry, and Use; John Wiley & Sons: New York, NY, USA, 1974; pp. 1–28. [Google Scholar]
- Maesen, T. The zeolite scene—An overview. In Studies in Surface Science and Catalysis; Čejka, J., Van Bekkum, H., Corma, A., Schüth, F., Eds.; Elsevier: Amsterdam, The Netherlands, 2007; Volume 168, pp. 1–12. [Google Scholar]
- Osinga, T.J.; Dekker, J.N.P.M. Zeolites in Liquid Detergent. Compositions. Patent WO89/04360, 18 May 1989. [Google Scholar]
- Dee, D.P.; Chiang, R.L.; Miller, E.J.; Whitley, R.D. High Purity Oxygen Production by Pressure Swing Adsorption. U.S. Patent US6544318 B2, 8 April 2003. [Google Scholar]
- Litz, J.E.; Williams, C.S. Radium Removal from Aqueous Media Using Zeolite Materials. U.S. Patent US9908788 B1, 6 March 2018. [Google Scholar]
- Verduijn, J.P.; Mohr, G. Zeolite Catalyst and Its Use in Hydrocarbon Conversion. U.S. Patent WO97/45198, 4 December 1997. [Google Scholar]
- Kuehl, G.H.; Rosinski, E.J. Catalytic Cracking with Framework Aluminium. U.S. Patent US4954243, 4 September 1990. [Google Scholar]
- Li, Y.; Li, L.; Yu, J. Applications of zeolites in sustainable chemistry. Chem 2017, 3, 928–949. [Google Scholar] [CrossRef] [Green Version]
- Elangovan, S.P.; Ogura, M.; Ernst, S.; Hartmann, M.; Tontisirin, S.; Davis, M.E.; Okubo, T. A comparative study of zeolites SSZ-33 and MCM-68 for hydrocarbon trap applications. Microporous Mesoporous Mater. 2006, 96, 210–215. [Google Scholar] [CrossRef]
- Tontisirin, S. Highly crystalline LSX zeolite derived from biosilica for copper adsorption: The green synthesis for environmental treatment. J. Porous Mater. 2015, 22, 437–445. [Google Scholar] [CrossRef]
- Kongnoo, A.; Tontisirin, S.; Worathanakul, P.; Phalakornkul, C. Surface characteristics and CO2 adsorption capacities of acid-activated zeolite 13X prepared from palm oil mill fly ash. Fuel 2017, 193, 385–394. [Google Scholar] [CrossRef]
- Moliner, M.; Corma, A. From metal-supported oxides to well-defined metal site zeolites: The next generation of passive NOx adsorbers for low-temperature control of emissions from diesel engines. React. Chem. Eng. 2019, 4, 223–234. [Google Scholar] [CrossRef]
- Cundy, C.S.; Cox, P.A. The hydrothermal synthesis of zeolites: History and development from the earliest days to the present time. Chem. Rev. 2003, 103, 663–701. [Google Scholar] [CrossRef] [PubMed]
- Cundy, C.S.; Cox, P.A. The hydrothermal synthesis of zeolites: Precursors intermediates and reaction mechanism. Microporous Mesoporous Mater. 2005, 82, 1–78. [Google Scholar] [CrossRef]
- Yu, J. Synthesis of zeolite. In Studies in Surface Science and Catalysis; Cejka, J., Van Bekkum, H., Corma, A., Schüth, F., Eds.; Elsevier: Amsterdam, The Netherlands, 2007; Volume 168, pp. 39–102. [Google Scholar]
- Lucía, O.; Maussion, P.; Dede, E.J.; Burdio, J.M. Induction heating technology and its applications: Past developments, current technology, and future challenges. IEEE Trans. Ind. Electron. 2014, 61, 2509–2520. [Google Scholar] [CrossRef] [Green Version]
- Slangen, P.M.; Jansen, J.C.; Van Bekkum, H. Induction heating: A novel tool for zeolite synthesis. Zeolites 1997, 18, 63–66. [Google Scholar]
- Maraş, T.; Nerat, E.Y.; Erdem, A.; Tatlier, M. Preparation of zeolite coating by induction heating of the substrate. J. Sol.-Gel. Sci. Technol. 2021, 98, 54–67. [Google Scholar] [CrossRef]
- Treacy, M.M.J.; Higgins, J.B. Collection of Simulated XRD Powder Patterns for Zeolites, 5th ed.; Elsevier: Amsterdam, The Netherlands, 2007; pp. 170–171. [Google Scholar]
- Holman, J.P. Heat Transfer, 6th ed.; McGraw-Hill: New York, NY, USA, 1986; pp. 323–371. [Google Scholar]
- McCabe, W.L.; Smith, J.C.; Harriott, P. Unit Operations of Chemical Engineering, 7th ed.; McGraw-Hill: Boston, MA, USA, 2005; pp. 1093–1107. [Google Scholar]
- Glycerine Producers’ Association. Physical Properties of Glycerine and Its Solutions; Glycerine Producers’ Association: New York, NY, USA, 1963; pp. 1–27. [Google Scholar]
- Poling, B.E.; Thomson, G.H.; Friend, D.G.; Friend, D.G.; Rowley, R.L.; Wilding, W.V. Physical and chemical data. In Perry’s Chemical Engineers’ Handbook, 8th ed.; Green, D.W., Perry, R.H., Eds.; McGraw-Hill: New York, NY, USA, 2008; pp. 2-1–2-517. [Google Scholar]






Publisher’s Note: MDPI stays neutral with regard to jurisdictional claims in published maps and institutional affiliations. |
© 2022 by the authors. Licensee MDPI, Basel, Switzerland. This article is an open access article distributed under the terms and conditions of the Creative Commons Attribution (CC BY) license (https://creativecommons.org/licenses/by/4.0/).
Share and Cite
Tontisirin, S.; Phalakornkule, C.; Sa-ngawong, W.; Sirisawat, S. Magnetic Induction Assisted Heating Technique in Hydrothermal Zeolite Synthesis. Materials 2022, 15, 689. https://doi.org/10.3390/ma15020689
Tontisirin S, Phalakornkule C, Sa-ngawong W, Sirisawat S. Magnetic Induction Assisted Heating Technique in Hydrothermal Zeolite Synthesis. Materials. 2022; 15(2):689. https://doi.org/10.3390/ma15020689
Chicago/Turabian StyleTontisirin, Supak, Chantaraporn Phalakornkule, Worawat Sa-ngawong, and Supachai Sirisawat. 2022. "Magnetic Induction Assisted Heating Technique in Hydrothermal Zeolite Synthesis" Materials 15, no. 2: 689. https://doi.org/10.3390/ma15020689
APA StyleTontisirin, S., Phalakornkule, C., Sa-ngawong, W., & Sirisawat, S. (2022). Magnetic Induction Assisted Heating Technique in Hydrothermal Zeolite Synthesis. Materials, 15(2), 689. https://doi.org/10.3390/ma15020689

