Effects of Different Rare Earth Elements on the Degradation and Mechanical Properties of the ECAP Extruded Mg Alloys
Abstract
:1. Introduction
2. Experimental Details
2.1. Materials Fabrication
2.2. Microstructural Characterization
2.3. Thermodynamic Calculation
2.4. Mechanical Test
2.5. Electrochemical Test
2.6. Immersion Test
2.7. Hydrogen Evolution Test
2.8. Cytotoxicity
3. Results
3.1. Microstructural Analysis
3.2. Thermodynamic Calculation
3.3. Mechanical Properties
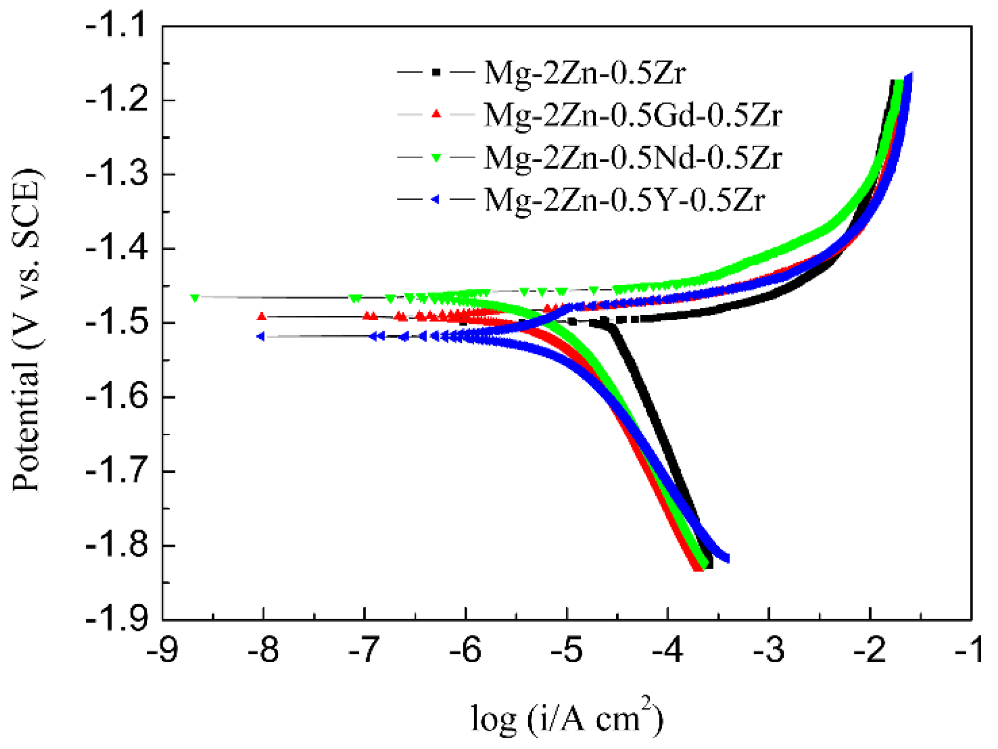
3.4. Electrochemical Tests
3.5. Immersion Tests
3.6. Cytotoxicity
4. Discussion
4.1. Effects of Different Rare Earth Elements on the Mechanical Properties of the ECAPed Alloys
4.2. Effects of Different Rare Earth Elements on the Corrosion Resistance of the ECAPed Alloys
4.3. Effects of Different Rare Earth Elements on the Cytocompatibility of the ECAPed Alloys
5. Conclusions
- (1)
- After the ECAP extrusion, the Mg-2Zn-0.5Y-0.5Zr alloy shows the highest strength due to the second phase dispersive strengthening. Moreover, the Mg-2Zn-0.5Nd-0.5Zr alloy exhibits the best ductility due to the grain refinement and activation of the non-basal slip. This means that both Y and Nd are beneficial to the enhancement of strength and ductility, respectively;
- (2)
- The Mg-2Zn-0.5Nd-0.5Zr alloy shows the best corrosion resistance, exhibiting a uniform corrosion; the Mg-2Zn-0.5Y-0.5Zr alloy exhibits the lowest corrosion resistance, revealing a pitting corrosion. The corrosion resistance of the alloys by the addition of the three elements is ranked as follows: Nd > Gd > Y;
- (3)
- The three added elements (i.e., Nd, Gd and Y) possess good cytocompatibility. Meanwhile, combining the three parameters of the mechanical property, corrosion resistance and cytocompatibility, the ECAPed Mg-2Zn-0.5Nd-0.5Zr alloy shows a good application prospect in the field of orthopedics.
Author Contributions
Funding
Institutional Review Board Statement
Informed Consent Statement
Data Availability Statement
Conflicts of Interest
References
- Lotfpour, M.; Dehghanian, C.; Emamy, M.; Bahmani, A.; Malekan, M.; Saadati, A.; Taghizadeh, M.; Shokouhimehr, M. In-vitro corrosion behavior of the cast and extruded biodegradable Mg-Zn-Cu alloys in simulated body fluid (SBF). J. Magnes. Alloys 2021. [Google Scholar] [CrossRef]
- Li, W.; Shen, Y.; Shen, J.; Shen, D.; Liu, X.; Zheng, Y.; Yeung, K.W.; Guan, S.; Kulyasova, O.B.; Valiev, R. In vitro and in vivo studies on pure Mg, Mg–1Ca and Mg–2Sr alloys processed by equal channel angular pressing. Nano Mater. Sci. 2020, 2, 96–108. [Google Scholar] [CrossRef]
- Shen, Y.; Chen, J.; Wang, G.; Cao, D.; Tan, L.; Misra, R.; Yang, K. Effects of ECAP extrusion on the mechanical and biodegradable properties of an extruded Mg-1.5Zn-0.5Y-0.5Zr alloy. Mater. Technol. 2022, 37, 135–142. [Google Scholar] [CrossRef]
- Prithivirajan, S.; Nyahale, M.B.; Naik, G.M.; Narendranath, S.; Prabhu, A.; Rekha, P.D. Bio-corrosion impacts on mechanical integrity of ZM21 Mg for orthopaedic implant application processed by equal channel angular pressing. J. Mater. Sci. Mater. Med. 2021, 32, 65. [Google Scholar] [CrossRef]
- Wang, S.; Zhang, X.; Li, J.; Liu, C.; Guan, S. Investigation of Mg-Zn-Y-Nd alloy for potential application of biodegradable esophageal stent material. Bioact. Mater. 2020, 5, 1–8. [Google Scholar] [CrossRef] [PubMed]
- Deepak, J.R.; Arunkumar, T.; Ravipati, S.V.S.D.; Sumanth Varma, S.S.S.K. XRD investigation of biodegradable magnesium rare earth alloy. Mater. Today 2021, 47, 4676–4681. [Google Scholar] [CrossRef]
- Zhang, X.B.; Yuan, G.Y.; Mao, L.; Niu, J.L.; Fu, P.H.; Ding, W. Effects of extrusion and heat treatment on the mechanical properties and biocorrosion behaviors of a Mg–Nd–Zn–Zr alloy. J. Mech. Behav. Biomed. 2012, 7, 77–86. [Google Scholar] [CrossRef]
- Kalb, H.; Rzany, A.; Hensel, B. Impact of microgalvanic corrosion on the degradation morphology of WE43 and pure magnesium under exposure to simulated body fluid. Corros. Sci. 2012, 57, 122–130. [Google Scholar] [CrossRef]
- Chen, Y.J.; Xu, Z.G.; Smith, C.; Sankar, J. Recent advances on the development of magnesium alloys for biodegradable implants. Acta Biomater. 2014, 10, 4561–4573. [Google Scholar] [CrossRef]
- Zhang, X.B.; Ba, Z.X.; Wang, Z.H.; Xue, Y.J. Microstructures and corrosion behavior of biodegradable Mg-6Gd-xZn-0.4Zr alloys with and without long period stacking ordered structure. Corros. Sci. 2016, 105, 68–77. [Google Scholar] [CrossRef]
- Gui, Z.; Kang, Z.; Li, Y. Corrosion mechanism of the as-cast and as-extruded biodegradable Mg-3.0Gd-2.7Zn-0.4Zr-0.1Mn alloys. Mater. Sci. Eng. C Mater. 2019, 96, 831–840. [Google Scholar] [CrossRef]
- Chen, J.; Dong, J.; Fu, H.; Zhang, H.; Tan, L.; Zhao, D.; Yang, K. In vitro and in vivo studies on the biodegradable behavior and bone response of Mg69Zn27Ca4 metal glass for treatment of bone defect. J. Mater. Sci. Technol. 2019, 35, 2254–2262. [Google Scholar] [CrossRef]
- Chen, J.X.; Zhu, X.Y.; Tan, L.L.; Yang, K.; Su, X.P. Effects of ECAP extrusion on the microstructure, mechanical properties and biodegradability of Mg-2Zn-xGd-0.5Zr Alloys. Acta Metall. Sin. Engl. 2020, 34, 205–216. [Google Scholar] [CrossRef]
- Miao, H.; Huang, H.; Shi, Y.; Zhang, H.; Pei, J.; Yuan, G. Effects of solution treatment before extrusion on the microstructure, mechanical properties and corrosion of Mg-Zn-Gd alloy in vitro. Corros. Sci. 2017, 122, 90–99. [Google Scholar] [CrossRef]
- Liu, H.; Ju, J.; Yang, X.; Yan, J.; Song, D.; Jiang, J.; Ma, A. A two-step dynamic recrystallization induced by LPSO phases and its impact on mechanical property of severe plastic deformation processed Mg97Y2Zn1 alloy. J. Alloys Compd. 2017, 704, 509–517. [Google Scholar] [CrossRef]
- Kashihara, K.; Tsuji, N. Texture and Mechanical Properties of Al–Mg Alloy with Unimodal and Bimodal Grain-Structures Formed by Accumulative Roll Bonding and Annealing. Mater. Trans. 2018, 59, 1147–1155. [Google Scholar] [CrossRef] [Green Version]
- Xiang, S.; Hu, X.; Wang, X.; Wang, L.; Wu, K. Precipitate characteristics and synergistic strengthening realization of graphene nanoplatelets reinforced bimodal structural magnesium matrix composites. Mater. Sci. Eng. A Struct. 2018, 724, 348–356. [Google Scholar] [CrossRef]
- Park, S.H.; Kim, S.-H.; Kim, Y.M.; You, B.S. Improving mechanical properties of extruded Mg–Al alloy with a bimodal grain structure through alloying addition. J. Alloys Compd. 2015, 646, 932–936. [Google Scholar] [CrossRef]
- Wang, L.; Mostaed, E.; Cao, X.; Huang, G.; Fabrizi, A.; Bonollo, F.; Chi, C.; Vedani, M. Effects of texture and grain size on mechanical properties of AZ80 magnesium alloys at lower temperatures. Mater. Des. 2016, 89, 1–8. [Google Scholar] [CrossRef]
- Wang, B.; Xu, D.; Sheng, L.; Han, E.; Sun, J. Deformation and fracture mechanisms of an annealing-tailored “bimodal” grain-structured Mg alloy. J. Mater. Sci. Technol. 2019, 35, 2423–2429. [Google Scholar] [CrossRef]
- Jin, S.; Zhang, D.; Lu, X.; Zhang, Y.; Tan, L.; Liu, Y.; Wang, Q. Mechanical properties, biodegradability and cytocompatibility of biodegradable Mg-Zn-Zr-Nd/Y alloys. J. Mater. Sci. Technol. 2020, 47, 190–201. [Google Scholar] [CrossRef]
- Sandlöbes, S.; Pei, Z.; Friák, M.; Zhu, L.-F.; Wang, F.; Zaefferer, S.; Raabe, D.; Neugebauer, J. Ductility improvement of Mg alloys by solid solution: Ab initio modeling, synthesis and mechanical properties. Acta Mater. 2014, 70, 92–104. [Google Scholar] [CrossRef]
- Bazhenov, V.E.; Li, A.V.; Komissarov, A.A.; Koltygin, A.V.; Tavolzhanskii, S.A.; Bautin, V.A.; Voropaeva, O.O.; Mukhametshina, A.M.; Tokar, A.A. Microstructure and mechanical and corrosion properties of hot-extruded Mg-Zn-Ca-(Mn) biodegradable alloys. J. Magnes. Alloy 2021, 9, 1428–1442. [Google Scholar] [CrossRef]
- Chen, J.X.; Gao, M.; Tan, L.L.; Yang, K. Microstructure, mechanical and biodegradable properties of a Mg–2Zn–1Gd–0.5Zr alloy with different solution treatments. Rare Metals 2019, 38, 532–542. [Google Scholar] [CrossRef]
- Zong, Y.; Yuan, G.Y.; Zhang, X.B.; Mao, L.; Niu, J.L.; Ding, W.J. Comparison of biodegradable behaviors of AZ31 and Mg-Nd-Zn-Zr alloys in Hank’s physiological solution. Mater. Sci. Eng. B Adv. 2012, 177, 395–401. [Google Scholar] [CrossRef]
- Zeng, R.C.; Kainer, K.U.; Blawert, C.; Dietzel, W. Corrosion of an extruded magnesium alloy ZK60 component—The role of microstructural features. J. Alloys Compd. 2011, 509, 4462–4469. [Google Scholar] [CrossRef]
- Chen, J.; Zhang, Y.; Ibrahim, M.; Etim, I.P.; Tan, L.; Yang, K. In vitro degradation and antibacterial property of a copper-containing micro-arc oxidation coating on Mg-2Zn-1Gd-0.5Zr alloy. Colloids Surfaces B 2019, 179, 77–86. [Google Scholar] [CrossRef]
- Gholami-Kermanshahi, M.; Neubert, V.-D.; Tavakoli, M.; Pastorek, F.; Smola, B.; Neubert, V. Effect of ECAP Processing on Corrosion Behavior and Mechanical Properties of the ZFW MP Magnesium Alloy as a Biodegradable Implant Material. Adv. Eng. Mater. 2018, 20, 1800121. [Google Scholar] [CrossRef]
- Feyerabend, F.; Fischer, J.; Holtz, J.; Witte, F.; Willumeit, R.; Drücker, H.; Vogt, C.; Hort, N. Evaluation of short-term effects of rare earth and other elements used in magnesium alloys on primary cells and cell lines. Acta Biomater. 2010, 6, 1834–1842. [Google Scholar] [CrossRef] [PubMed] [Green Version]
- Wang, Y.P.; He, Y.H.; Zhu, Z.J.; Jiang, Y.; Zhang, J.; Niu, J.; Mao, L.; Yuan, G. In vitro degradation and biocompatibility of Mg-Nd-Zn-Zr alloy. Chin. Sci. Bull. 2012, 57, 2163–2170. [Google Scholar] [CrossRef] [Green Version]
- Liu, D.; Yang, D.; Li, X.; Hu, S. Mechanical properties, corrosion resistance and biocompatibilities of degradable Mg-RE alloys: A review. J. Mater. Res. Technol. 2019, 8, 1538–1549. [Google Scholar] [CrossRef]
- Zhang, J.; Liu, C.; Li, Y.; Sun, J.; Wang, P.; DI, K.; Chen, H.; Zhao, Y. Effect of yttrium ion on the proliferation, differentiation and mineralization function of primary mouse osteoblasts in vitro. J. Rare Earths 2010, 28, 466–470. [Google Scholar] [CrossRef]
- Myrissa, A.; Braeuer, S.; Martinelli, E.; Willumeit-Römer, R.; Goessler, W.; Weinberg, A.M. Gadolinium accumulation in organs of Sprague–Dawley® rats after implantation of a biodegradable magnesium-gadolinium alloy. Acta Biomater. 2017, 48, 521–529. [Google Scholar] [CrossRef] [PubMed]
- Windhagen, H.; Radtke, K.; Weizbauer, A.; Diekmann, J.; Noll, Y.; Kreimeyer, U.; Schavan, R.; Stukenborg-Colsman, C.; Waizy, H. Biodegradable magnesium-based screw clinically equivalent to titanium screw in hallux valgus surgery: Short term results of the first prospective, randomized, controlled clinical pilot study. Biomed. Eng. Online 2013, 12, 1–10. [Google Scholar] [CrossRef] [PubMed] [Green Version]














| Alloys | Composition (wt.%) | |||||
|---|---|---|---|---|---|---|
| Zn | Gd | Nd | Y | Zr | Mg | |
| Mg-2Zn-0.5Gd-0.5Zr | 2.00 | 0.53 | - | - | 0.48 | Bal. | 
| Mg-2Zn-0.5Nd-0.5Zr | 2.23 | - | 0.51 | - | 0.49 | Bal. | 
| Mg-2Z-0.5Y-0.5Zr | 2.07 | - | - | 0.51 | 0.38 | Bal. | 
| Composition | NaCl | KCl | KH2PO4 | MgSO4 | NaHCO3 | CaCl2 | Na2HPO4 | Glucose | 
|---|---|---|---|---|---|---|---|---|
| Content (g/L) | 8.00 | 0.40 | 0.06 | 0.20 | 0.35 | 0.14 | 0.12 | 1.00 | 
| Alloys | Grain Size (μm) | |
|---|---|---|
| As-Cast | After Four-Pass Extrusion | |
| Mg-2Zn-0.5Zr | 52.06 ± 7.62 | 4.99 ± 2.20 | 
| Mg-2Zn-0.5Gd-0.5Zr | 47.48 ± 11.50 | 4.40 ± 0.86 | 
| Mg-2Zn-0.5Nd-0.5Zr | 38.84 ± 5.44 | 3.95 ± 0.26 | 
| Mg-2Zn-0.5Y-0.5Zr | 63.93 ± 5.22 | 2.84 ± 0.32 | 
| Reaction | Gibbs Free Energy | Gibbs Free Energy | 
|---|---|---|
| −3,639,103.7 | −3,075,633.2 | |
| −3,468,204.2 | −2,924,028.9 | |
| −3,437,913.5 | −2,900,746.2 | 
| Alloys | UTS (MPa) | YS (MPa) | EL(%) | 
|---|---|---|---|
| Mg-2Zn-0.5Zr | 194 ± 2 | 104 ± 3 | 10 ± 1 | 
| Mg-2Zn-0.5Gd-0.5Zr | 280 ± 3 | 250 ± 2 | 19 ± 1 | 
| Mg-2Zn-0.5Nd-0.5Zr | 300 ± 4 | 270 ± 3 | 22 ± 2 | 
| Mg-2Zn-0.5Y-0.5Zr | 315 ± 3 | 295 ± 2 | 17 ± 1 | 
| Samples | E (V. vs. SCE) | icorr (μA/cm2) | CR (mm/year) | 
|---|---|---|---|
| Mg-2Zn-0.5Zr | −1.50 ± 0.01 | 30.46 ± 2.50 | 0.70 ± 0.06 | 
| Mg-2Zn-0.5Gd-0.5Zr | −1.49 ± 0.02 | 12.02 ± 1.05 | 0.27 ± 0.02 | 
| Mg-2Zn-0.5Nd-0.5Zr | −1.47 ± 0.01 | 10.38 ± 0.85 | 0.24 ± 0.02 | 
| Mg-2Zn-0.5Y-0.5Zr | −1.52 ± 0.01 | 15.10 ± 2.00 | 0.35 ± 0.05 | 
| Samples | Rs (Ω cm2) | CPE1 | R1 (Ω cm2) | CPE2 | R2 (Ω cm2) | R3 (Ω cm2) | L (H cm−2) | ||
|---|---|---|---|---|---|---|---|---|---|
| Y01 (S·sec^n/cm2) | n1 | Y02 (S·sec^n/cm2) | n2 | ||||||
| Mg-2Zn-0.5Zr | 19.8 | 9.2 × 10−5 | 0.6 | 34.7 | 2.8 × 10−5 | 0.8 | 1.5 × 103 | 1.4 × 103 | 8.1 × 103 | 
| Mg-2Zn-0.5Gd-0.5Zr | 14.2 | 5.1 × 10−5 | 0.6 | 105.6 | 1.4 × 10−5 | 0.9 | 2.2 × 103 | 110.8 | 2.3 × 103 | 
| Mg-2Zn-0.5Nd-0.5Zr | 13.8 | 2.2 × 10−5 | 0.7 | 25.7 | 3.1 × 10−5 | 0.7 | 2.8 × 105 | 4.5 × 103 | 57.64 | 
| Mg-2Zn-0.5Y-0.5Zr | 16.6 | 1.0 × 10−4 | 0.6 | 93.42 | 1.0 × 10−5 | 0.9 | 2.0 × 103 | 1.7 × 103 | 6.6 × 103 | 
| Position | Chemical Composition (wt.%) | ||||
|---|---|---|---|---|---|
| C | O | Mg | P | Ca | |
| A | 8.66 | 53.58 | 40.00 | 3.61 | 3.15 | 
| B | 5.21 | 54.34 | 36.46 | 2.38 | 1.58 | 
| C | 9.61 | 49.22 | 21.75 | 9.98 | 9.44 | 
| D | 8.93 | 51.09 | 29.06 | 5.52 | 5.40 | 
| Publisher’s Note: MDPI stays neutral with regard to jurisdictional claims in published maps and institutional affiliations. | 
© 2022 by the authors. Licensee MDPI, Basel, Switzerland. This article is an open access article distributed under the terms and conditions of the Creative Commons Attribution (CC BY) license (https://creativecommons.org/licenses/by/4.0/).
Share and Cite
Chen, J.; Zhan, J.; Kolawole, S.K.; Tan, L.; Yang, K.; Wang, J.; Su, X. Effects of Different Rare Earth Elements on the Degradation and Mechanical Properties of the ECAP Extruded Mg Alloys. Materials 2022, 15, 627. https://doi.org/10.3390/ma15020627
Chen J, Zhan J, Kolawole SK, Tan L, Yang K, Wang J, Su X. Effects of Different Rare Earth Elements on the Degradation and Mechanical Properties of the ECAP Extruded Mg Alloys. Materials. 2022; 15(2):627. https://doi.org/10.3390/ma15020627
Chicago/Turabian StyleChen, Junxiu, Jie Zhan, Sharafadeen Kunle Kolawole, Lili Tan, Ke Yang, Jianhua Wang, and Xuping Su. 2022. "Effects of Different Rare Earth Elements on the Degradation and Mechanical Properties of the ECAP Extruded Mg Alloys" Materials 15, no. 2: 627. https://doi.org/10.3390/ma15020627
APA StyleChen, J., Zhan, J., Kolawole, S. K., Tan, L., Yang, K., Wang, J., & Su, X. (2022). Effects of Different Rare Earth Elements on the Degradation and Mechanical Properties of the ECAP Extruded Mg Alloys. Materials, 15(2), 627. https://doi.org/10.3390/ma15020627
 
        





 
       