Substantial Improvement of High Temperature Strength of New-Generation Nano-Oxide-Strengthened Alloys by Addition of Metallic Yttrium
Abstract
:1. Introduction
2. Materials and Methods
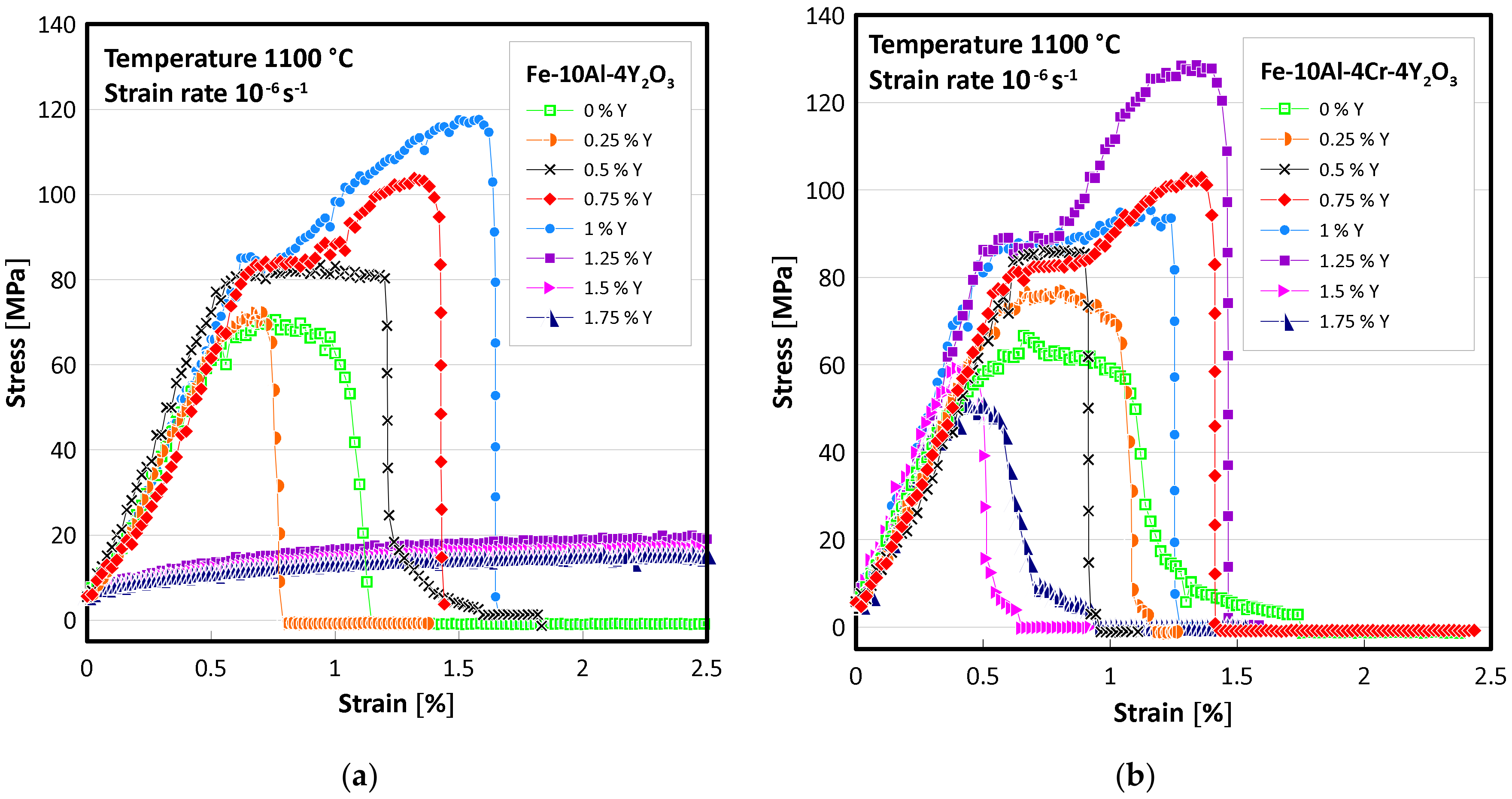
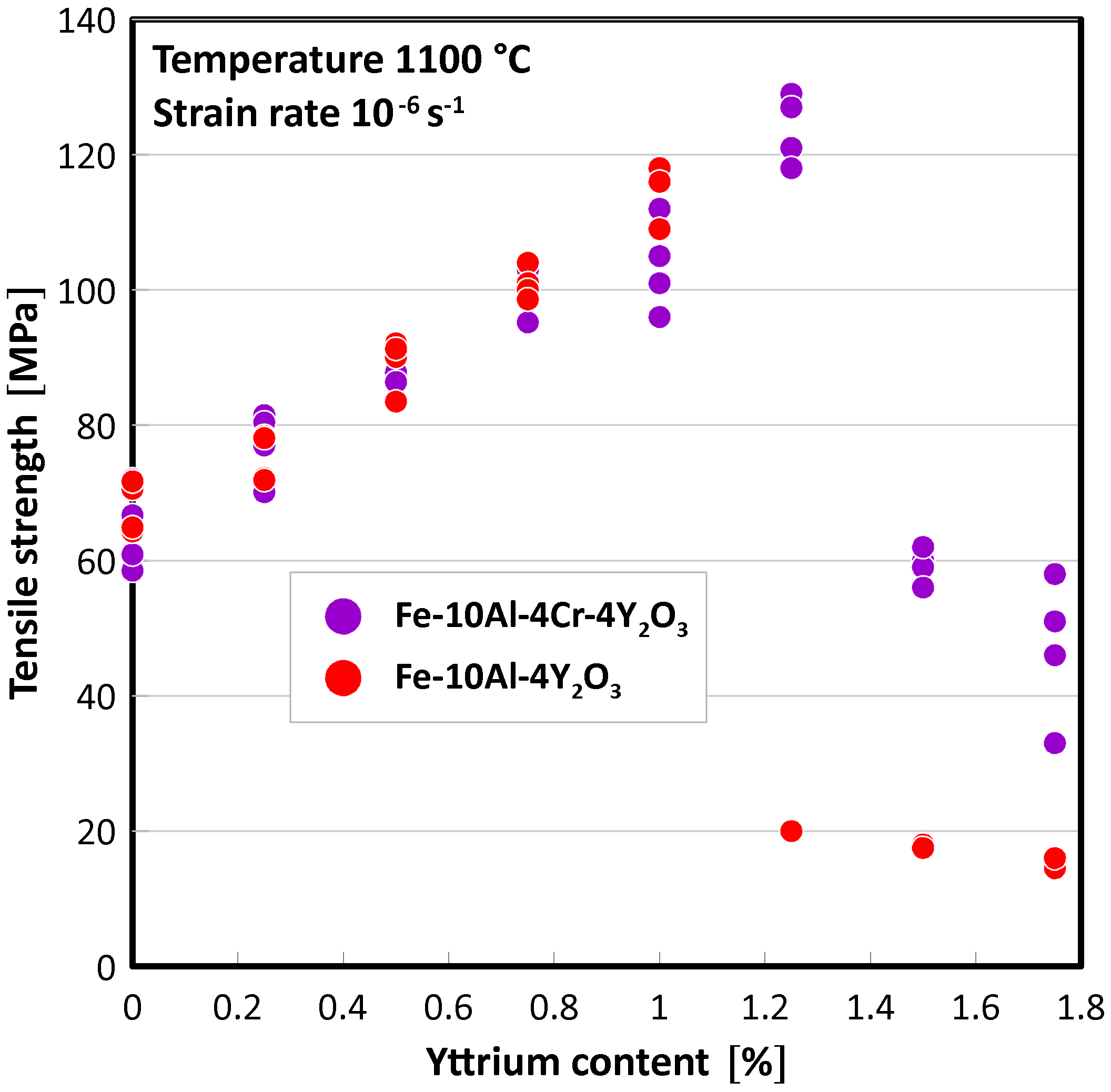
3. Tensile Testing
4. Microstructure Characterization
5. Discussion
- i.
- Significant change of the grain microstructure and its morphology;
- ii.
- Increase in cohesive strength of the grain boundary due to a change in its chemical composition (e.g., Y segregates grain boundaries and strengthens interatomic bonds);
- iii.
- Change of chemical composition of the nano-oxides from mixed Al-Y oxides to pure Y oxides, which exhibit a improved wetting of the matrix; thus, the nano-oxides act as stronger clamps holding the grains together.
6. Conclusions
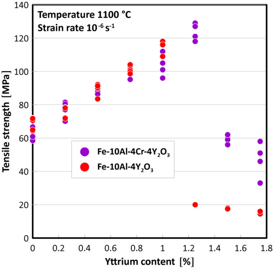
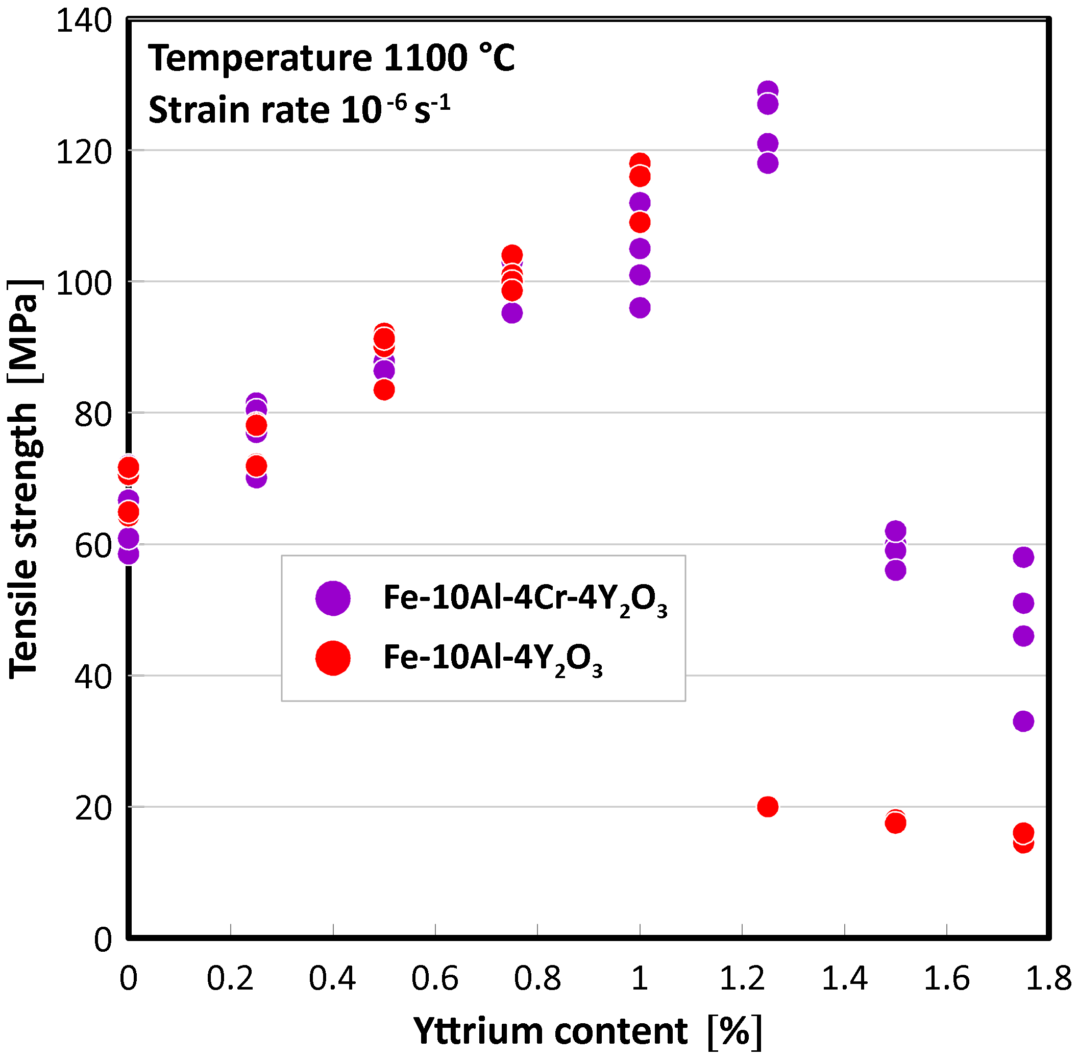
- Two batches of Fe-10Al-4Y2O3 and Fe-10Al-4Cr-4Y2O3 ODS alloys with variable amounts of added metallic Y in the range of 0 to 1.75% are prepared by mechanical alloying, hot consolidation by rolling, and annealing to provoke secondary recrystallization.
- The amount of added metallic Y substantially influences the strength of ODS alloys determined by tensile tests at 1100 °C and a strain rate of 10−6 s−1.
- Alloying by Y linearly increases the strength of ODS alloys up to a limit of about 1%, for which the strength increases by a factor of 2 compared to ODS alloys with no added Y. Beyond the limit, the strength drops by a factor of 6 in the case of the Fe-10Al-4Y2O3 ODS alloy and by a factor of 2 in the case of the Fe-10Al-4Cr-4Y2O3 ODS alloy.
- Three reasons are considered for explaining the increase in strength of ODS alloys by Y alloying: (i) by significant change of the grain microstructure and its morphology, (ii) by an increase in cohesive strength of the grain boundary due to change its chemical composition, and (iii) by a change of chemical composition of nano-oxides from mixed Al-Y oxides to pure Y oxides, which exhibit improved wetting of the matrix.
- Reason (i) (alloying by Y significantly influences the grain microstructure after annealing) explains qualitatively the behavior of the strength of ODS alloys. This, however, does not exclude the fact that reasons (ii) and (iii) do not play significant roles. Reasons (ii) and (iii) will be investigated in detail by our team in the near future.
Author Contributions
Funding
Institutional Review Board Statement
Informed Consent Statement
Acknowledgments
Conflicts of Interest
References
- Pollock, T.M.; Argon, A.S. Directional coarsening in nickel-base superalloy single crystals with high volume fraction of coherent precipitates. Acta Metall. Mater. 1994, 42, 1859–1874. [Google Scholar] [CrossRef]
- Oksiuta, Z. High-temperature oxidation resistance of ultrafine-grained 14% Cr ODS ferritic steel. J. Mater. Sci. 2013, 48, 4801–4805. [Google Scholar] [CrossRef] [Green Version]
- Material Data Sheet, INCOLOY, Alloy MA 956, INCOLOY, Alloy MA 957; Inco Alloys Limitted: Hereford, UK, 2004.
- Karak, S.K.; Majumdar, J.D.; Witczak, Z.; Lojkowski, W.; Ciupiński, Ł.; Kurzydłowski, K.J.; Manna, I. Evaluation of Microstructure and Mechanical Properties of Nano-Y2O3-Dispersed Ferritic Alloy Synthesized by Mechanical Alloying and Consolidated by High-Pressure Sintering. Met. Mater. Trans. A 2013, 44, 2884–2894. [Google Scholar] [CrossRef]
- Byun, T.S.; Yoon, J.H.; Wee, S.H.; Hoelzer, D.T.; Maloy, S.A. Fracture behavior of 9Cr nanostructured ferritic alloy with improved fracture toughness. J. Nucl. Mater. 2014, 449, 39–48. [Google Scholar] [CrossRef]
- Kim, J.H.; Byun, T.S.; Hoelzer, D.T.; Kim, S.W.; Lee, B.H. Temperature dependence of strengthening mechanisms in the nanostructured ferritic alloy 14YWT: Part I—Mechanical and microstructural observations. Mater. Sci. Eng. A 2013, 559, 101–110. [Google Scholar] [CrossRef]
- Fu, J.; Brouwer, J.C.; Richardson, I.M.; Hermans, M.J.M. Effect of mechanical alloying and spark plasma sintering on the microstructure and mechanical properties of ODS Eurofer. Mater. Des. 2019, 177, 107849. [Google Scholar] [CrossRef]
- Massey, C.P.; Dryepondt, S.N.; Edmondson, P.D.; Terrani, K.A.; Zinkle, S.J. Influence of mechanical alloying and extrusion conditions on the microstructure and tensile properties of Low-Cr ODS FeCrAl alloys. J. Nucl. Mater. 2018, 512, 227–238. [Google Scholar] [CrossRef]
- Li, J.; Wu, S.; Ma, P.; Yang, Y.; Wu, E.; Xiong, L.; Liu, S. Microstructure evolution and mechanical properties of ODS FeCrAl alloys fabricated by an internal oxidation process. Mater. Sci. Eng. A 2019, 757, 42–51. [Google Scholar] [CrossRef]
- Li, Z.; Lu, Z.; Xie, R.; Lu, C.; Shi, Y.; Liu, C. Effects of Y2O3, La2O3 and CeO2 additions on microstructure and mechanical properties of 14Cr-ODS ferrite alloys produced by spark plasma sintering. Fusion Eng. Des. 2017, 121, 159–166. [Google Scholar] [CrossRef]
- Montes, J.M.; Cuevas, F.G.; Cintas, J.; Urban, P. A One-Dimensional Model of the Electrical Resistance Sintering Process. Met. Mater. Trans. A 2015, 46, 963–980. [Google Scholar] [CrossRef]
- Auger, M.A.; Hoelzer, D.T.; Field, K.G.; Moody, M.P. Nanoscale analysis of ion irradiated ODS 14YWT ferritic alloy. J. Nucl. Mater. 2020, 528, 151852. [Google Scholar] [CrossRef]
- Zhang, G.; Zhou, Z.; Mo, K.; Miao, Y.; Xu, S.; Jia, H.; Liu, X.; Stubbins, J.F. The effect of thermal-aging on the microstructure and mechanical properties of 9Cr ferritic/martensitic ODS alloy. J. Nucl. Mater. 2019, 522, 212–219. [Google Scholar] [CrossRef]
- Kumar, D.; Prakash, U.; Dabhade, V.V.; Laha, K.; Sakthivel, Z. Development of Oxide Dispersion Strengthened (ODS) Ferritic Steel Through Powder Forging. J. Mater. Eng. Perform. 2017, 26, 1817–1824. [Google Scholar] [CrossRef]
- Zhou, Z.; Sun, S.; Zou, L.; Schneider, Y.; Schmauder, S.; Wang, M. Enhanced strength and high temperature resistance of 25Cr20Ni ODS austenitic alloy through thermo-mechanical treatment and addition of Mo. Fusion Eng. Des. 2019, 138, 175–182. [Google Scholar] [CrossRef]
- Pal, S.; Alam, M.E.; Maloy, S.A.; Hoelzer, D.T.; Odette, R.G. Texture evolution and microcracking mechanisms in as-extruded and cross-rolled conditions of a 14YWT nanostructured ferritic alloy. Acta Mater. 2018, 152, 338–357. [Google Scholar] [CrossRef]
- Bártková, D.; Šmíd, M.; Mašek, B.; Svoboda, J.; Šiška, F. Kinetic study of static recrystallization in an Fe–Al–O ultra-fine-grained nanocomposite. Phil. Mag. Lett. 2017, 97, 379–385. [Google Scholar] [CrossRef]
- Stratil, L.; Horník, V.; Dymáček, P.; Roupcová, P.; Svoboda, J. The influence of aluminium content on oxidation resistance of new-generation ODS alloy at 1200 °C. Metals 2020, 10, 1478. [Google Scholar] [CrossRef]
- Svoboda, J.; Kunčická, L.; Luptáková, N.; Weiser, A.; Dymáček, P. Fundamental Improvement of Creep Resistance of New-Generation Nano-Oxide Strengthened Alloys via Hot Rotary Swaging Consolidation. Materials 2020, 13, 5217. [Google Scholar] [CrossRef] [PubMed]
- Svoboda, J.; Luptáková, N.; Jarý, M.; Dymáček, P. Influence of hot consolidation conditions and Cr-alloying on microstructure and creep in new-generation ODS alloy at 1100 °C. Metals 2020, 10, 5070. [Google Scholar] [CrossRef] [PubMed]
- Chlupová, A.; Šulák, I.; Kunčická, L.; Kocich, R.; Svoboda, J. Microstructural aspects of new grade ODS alloy consolidated by rotary swaging. Mater. Character 2021, 181, 111477. [Google Scholar] [CrossRef]









Publisher’s Note: MDPI stays neutral with regard to jurisdictional claims in published maps and institutional affiliations. |
© 2022 by the authors. Licensee MDPI, Basel, Switzerland. This article is an open access article distributed under the terms and conditions of the Creative Commons Attribution (CC BY) license (https://creativecommons.org/licenses/by/4.0/).
Share and Cite
Svoboda, J.; Bořil, P.; Holzer, J.; Luptáková, N.; Jarý, M.; Mašek, B.; Dymáček, P. Substantial Improvement of High Temperature Strength of New-Generation Nano-Oxide-Strengthened Alloys by Addition of Metallic Yttrium. Materials 2022, 15, 504. https://doi.org/10.3390/ma15020504
Svoboda J, Bořil P, Holzer J, Luptáková N, Jarý M, Mašek B, Dymáček P. Substantial Improvement of High Temperature Strength of New-Generation Nano-Oxide-Strengthened Alloys by Addition of Metallic Yttrium. Materials. 2022; 15(2):504. https://doi.org/10.3390/ma15020504
Chicago/Turabian StyleSvoboda, Jiří, Petr Bořil, Jakub Holzer, Natália Luptáková, Milan Jarý, Bohuslav Mašek, and Petr Dymáček. 2022. "Substantial Improvement of High Temperature Strength of New-Generation Nano-Oxide-Strengthened Alloys by Addition of Metallic Yttrium" Materials 15, no. 2: 504. https://doi.org/10.3390/ma15020504
APA StyleSvoboda, J., Bořil, P., Holzer, J., Luptáková, N., Jarý, M., Mašek, B., & Dymáček, P. (2022). Substantial Improvement of High Temperature Strength of New-Generation Nano-Oxide-Strengthened Alloys by Addition of Metallic Yttrium. Materials, 15(2), 504. https://doi.org/10.3390/ma15020504

