A Deep Learning Method for the Prediction of the Index Mechanical Properties and Strength Parameters of Marlstone
Abstract
1. Introduction
2. Objective of Study
3. Geomechanical Indices of Rock Materials
3.1. Site Location and Geological Setting
3.2. Experimental Framework
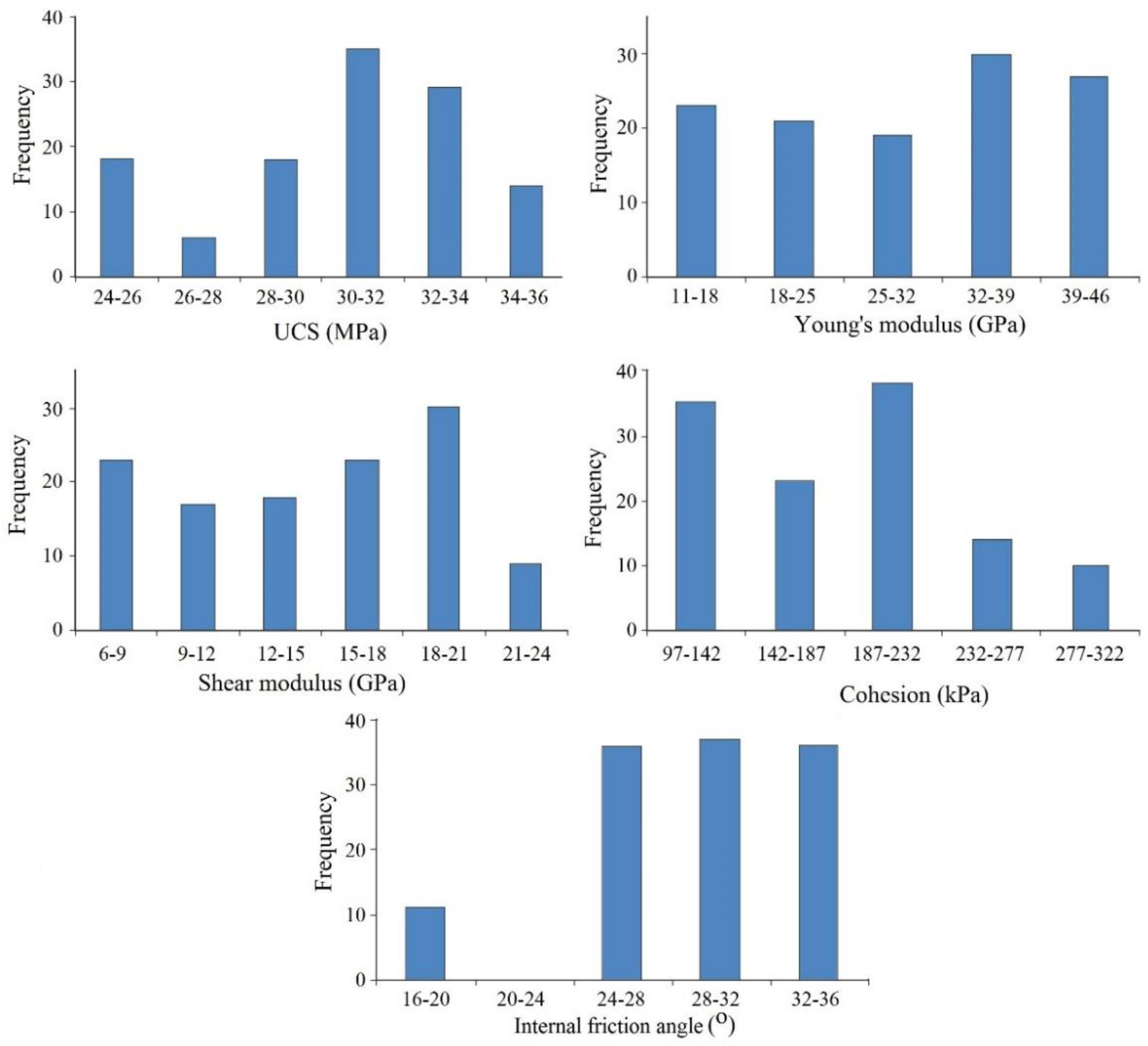
3.3. Rock Material Database
| Sediment Group | Sedimentary Rock Classification | Percentage of Components (%) | |
|---|---|---|---|
| Carbonate | Clay | ||
| Carbonate | Limestone | 95–100 | 0–5 |
| Slightly argillaceous lime | 85–95 | 5–15 | |
| Argillaceous lime | 75–85 | 15–25 | |
| Marl | Calcareous marl | 65–75 | 25–35 |
| Marlstone | 35–65 | 35–65 | |
| Argillaceous marl | 25–35 | 65–75 | |
| Clay | Calcareous mud | 15–25 | 75–85 |
| Slightly argillaceous mud | 5–15 | 85–95 | |
| Mudstone | 0–5 | 95–100 | |
| Parameter | Max | Min | Mean | Standard Dev. | Variance | Skewness |
|---|---|---|---|---|---|---|
| UCS (MPa) | 34.72 | 24.17 | 29.44 | 2.982 | 8.895 | −0.550 |
| E (GPa) | 45.30 | 11.70 | 28.50 | 10.17 | 103.5 | −0.245 |
| G (GPa) | 22.10 | 6.00 | 14.05 | 5.152 | 25.45 | −0.169 |
| c (kPa) | 320 | 97 | 208.5 | 59.52 | 354.2 | 0.221 |
| φ (degree) | 35 | 16 | 25.50 | 4.803 | 23.07 | −0.794 |
4. Proposed Predictive Model
4.1. Deep Neural Network and Deep Learning
4.2. Data Acquisition
4.3. Deep Neural Network Architecture
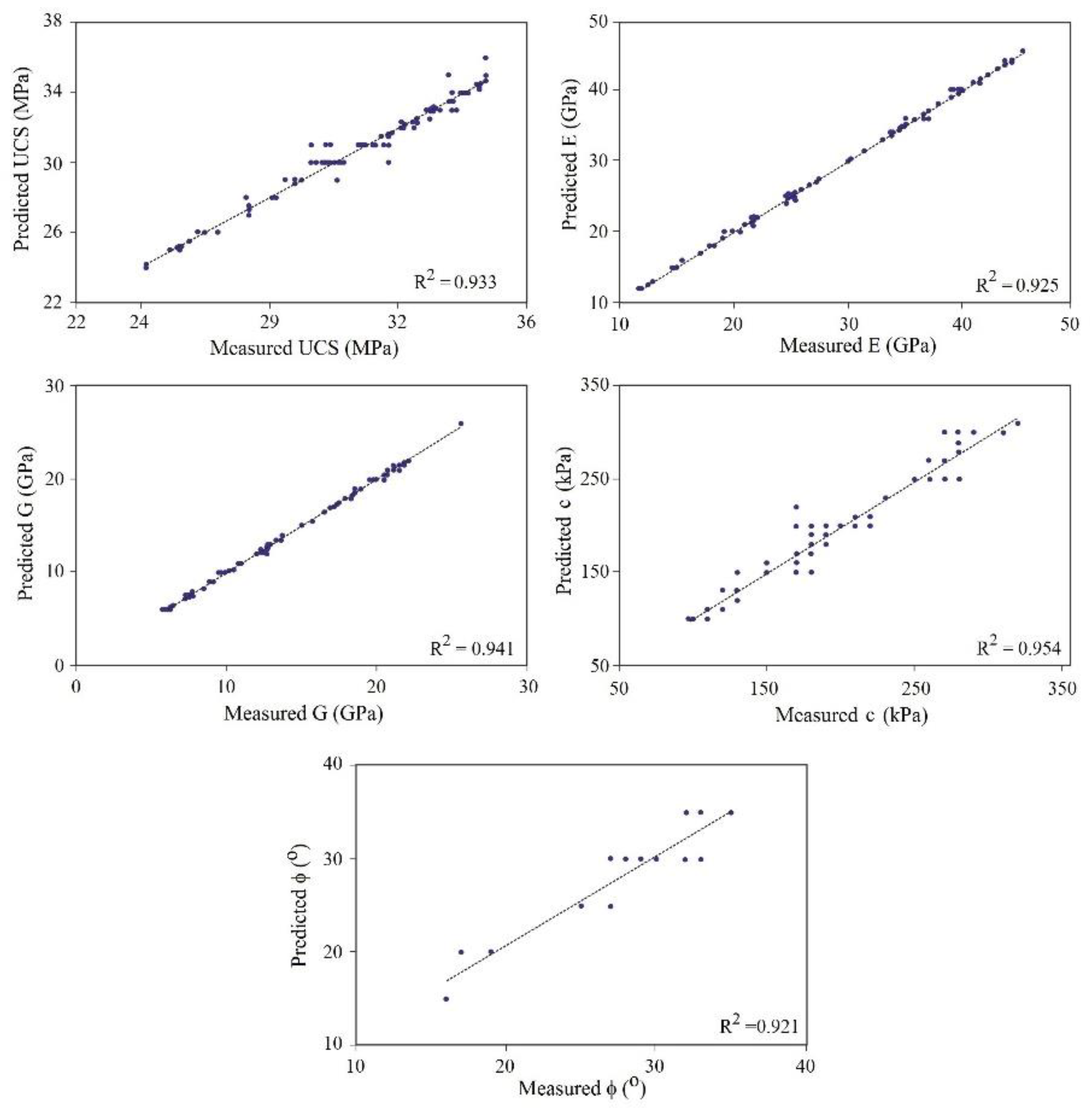
4.4. Model Performance Studies
4.5. Model Verification
5. Results and Discussion
6. Conclusions
Author Contributions
Funding
Institutional Review Board Statement
Informed Consent Statement
Data Availability Statement
Acknowledgments
Conflicts of Interest
References
- Jaeger, J.; Cook, N.G.; Zimmerman, R. Fundamentals of Rock Mechanics; Wiley-Blackwell: Hoboken, NJ, USA, 2007. [Google Scholar]
- Mogi, K. Experimental Rock Mechanics; T&F Books: Abingdon, UK, 2009. [Google Scholar]
- Fereidooni, D. Determination of the geotechnical characteristics of hornfelsic rocks with a particular emphasis on the correlation between physical and mechanical properties. Rock Mech. Rock Eng. 2016, 49, 2595–2608. [Google Scholar] [CrossRef]
- Azarafza, M.; Akgün, H.; Asghari-Kaljahi, E. Assessment of rock slope stability by slope mass rating (SMR): A case study for the gas flare site in Assalouyeh, South of Iran. Geomech. Eng. 2017, 13, 571–584. [Google Scholar] [CrossRef]
- Heidari, M.; Mohseni, H.; Jalali, S.H. Prediction of uniaxial compressive strength of some sedimentary rocks by fuzzy and regression models. Geotech. Geol. Eng. 2018, 36, 401–412. [Google Scholar] [CrossRef]
- Azarafza, M.; Ghazifard, A.; Akgun, H.; Asghari-Kaljahi, E. Geotechnical characteristics and empirical geo-engineering relations of the South Pars Zone marls, Iran. Geomech. Eng. 2019, 19, 393–405. [Google Scholar] [CrossRef]
- Barham, W.S.; Rabab’ah, S.R.; Aldeeky, H.H.; AL Hattamleh, O.H. Mechanical and physical based artificial neural network models for the prediction of the unconfined compressive strength of rock. Geotech. Geol. Eng. 2020, 38, 4779–4792. [Google Scholar] [CrossRef]
- Feng, X.T. Rock Mechanics and Engineering, Volume 2: Laboratory and Field Testing; CRC Press: Boca Raton, FL, USA, 2017. [Google Scholar]
- Azarafza, M.; Nanehkaran, Y.A.; Rajabion, L.; Akgün, H.; Rahnamarad, J.; Derakhshani, R.; Raoof, A. Application of the modified Q-slope classification system for sedimentary rock slope stability assessment in Iran. Eng. Geol. 2020, 264, 105349. [Google Scholar] [CrossRef]
- Yang, L.; Feng, X.; Sun, Y. Predicting the Young’s Modulus of granites using the Bayesian model selection approach. Bull. Eng. Geol. Environ. 2019, 78, 3413–3423. [Google Scholar] [CrossRef]
- Torabi-Kaveh, M.; Naseri, F.; Sanei, S.; Sarshari, B. Application of artificial neural networks and multivariate statistics to predict UCS and E using physical properties of Asmari limestones. Arab. J. Geosci. 2015, 8, 2889–2897. [Google Scholar] [CrossRef]
- Mishra, D.A.D.; Basu, A. Estimation of uniaxial compressive strength of rock materials by index tests using regression analysis and fuzzy inference system. Eng. Geol. 2013, 160, 54–68. [Google Scholar] [CrossRef]
- Baykasoğlu, A.; Güllü, H.; Çanakçı, H.; Özbakır, L. Prediction of compressive and tensile strength of limestone via genetic programming. Exp. Syst. Appl. 2008, 35, 111–123. [Google Scholar] [CrossRef]
- Yagiz, S.; Sezer, E.A.; Gokceoglu, C. Artificial neural networks and nonlinear regression techniques to assess the influence of slake durability cycles on the prediction of uniaxial compressive strength and modulus of elasticity for carbonate rocks. Int. J. Numer. Anal. Methods Geomech. 2012, 36, 1636–1650. [Google Scholar] [CrossRef]
- Jing, H.; Rad, H.N.; Hasanipanah, M.; Qasem, S.N. Design and implementation of a new tuned hybrid intelligent model to predict the uniaxial compressive strength of the rock using SFS-ANFIS. Eng. Comput. 2021, 37, 2717–2734. [Google Scholar] [CrossRef]
- Ceryan, N. Application of support vector machines and relevance vector machines in predicting uniaxial compressive strength of volcanic rocks. J. Afr. Earth Sci. 2014, 100, 634–644. [Google Scholar] [CrossRef]
- Gultekin, Y.N.; Gokceoglu, C.; Sezer, E.A. Prediction of uniaxial compressive strength of granitic rocks by various nonlinear tools and comparison of their performances. Int. J. Rock Mech. Min. Sci. 2013, 62, 113–122. [Google Scholar] [CrossRef]
- Sun, D.; Lonbani, M.; Askarian, B.; Armaghani, J.D.; Tarinejad, R.; Pham, T.B.; Huynh, V.V. Investigating the applications of machine learning techniques to predict the rock brittleness index. Appl. Sci. 2020, 10, 1691. [Google Scholar] [CrossRef]
- Ren, Q.; Wang, G.; Li, M.; Han, S. Prediction of rock compressive strength using machine learning algorithms based on spectrum analysis of geological hammer. Geotech. Geol. Eng. 2019, 37, 475–489. [Google Scholar] [CrossRef]
- Singh, V.K.; Singh, D.; Singh, T.N. Prediction of strength properties of some schistose rocks from petrographic properties using artificial neural networks. Int. J. Rock Mech. Min. Sci. 2001, 38, 269–284. [Google Scholar] [CrossRef]
- Sonmez, H.; Gokceoglu, C.; Nefeslioglu, H.A.; Kayabasi, A. Estimation of rock modulus: For intact rocks with an artificial neural network and for rock masses with a new empirical equation. Int. J. Rock Mech. Min. Sci. 2006, 43, 224–235. [Google Scholar] [CrossRef]
- Bieniawski, Z.T. Engineering Rock Mass Classifications: A Complete Manual for Engineers and Geologists in Mining, Civil, and Petroleum Engineering; John Wiley & Sons: Hoboken, NJ, USA, 1989. [Google Scholar]
- Marinos, V.; Marinos, P.; Hoek, E. The geological strength index: Applications and limitations. Bull. Eng. Geol. Environ. 2005, 64, 55–65. [Google Scholar] [CrossRef]
- Yılmaz, I.; Yuksek, A.G. An Example of artificial neural network (ANN) application for indirect estimation of rock parameters. Rock Mech. Rock Eng. 2008, 41, 781–795. [Google Scholar] [CrossRef]
- Yılmaz, I.; Yuksek, A.G. Prediction of the strength and elasticity modulus of gypsum using multiple regression, ANN and ANFIS models. Int. J. Rock Mech. Min. Sci. 2009, 46, 803–810. [Google Scholar] [CrossRef]
- Kahraman, S.; Gunaydin, O.; Alber, M.; Fener, M. Evaluating the strength and deformability properties of Misis fault breccia using artificial neural networks. Exp. Syst. Appl. 2009, 36, 6874–6878. [Google Scholar] [CrossRef]
- Dehghan, S.; Sattari, G.H.; Chehre-Chelgani, S.; Aliabadi, M.A. Prediction of uniaxial compressive and modulus of elasticity for travertine sample using regression and artificial neural networks. Int. J. Min. Sci. Technol. 2010, 20, 41–46. [Google Scholar] [CrossRef]
- Bahrami, A.; Monjezi, M.; Goshtasbi, K.; Ghazvinian, A. Prediction of rock fragmentation due to blasting using artificial neural network. Eng. Comput. 2011, 27, 177–181. [Google Scholar] [CrossRef]
- Yurdakul, M.; Ceylan, H.; Akdas, H. A predictive model for uniaxial compressive strength of carbonate rocks from Schmidt hardness. In Proceedings of the 45th U.S. Rock Mechanics/Geomechanics Symposium, San Francisco, CA, USA, 26–29 June 2011; pp. 511–533. [Google Scholar]
- Majdi, A.; Rezaei, M. Prediction of unconfined compressive strength of rock surrounding a roadway using artificial neural network. Neural Comput. Appl. 2013, 23, 381–389. [Google Scholar] [CrossRef]
- Asadi, M.; Bagheripour, M.H.; Eftekhari, M. Development of optimal fuzzy models for predicting the strength of intact rocks. Comput. Geosci. 2013, 54, 107–112. [Google Scholar] [CrossRef]
- Armaghani, D.J.; Hajihassani, M.; Bejarbaneh, B.Y.; Marto, A.; Mohamad, E.T. Indirect measure of shale shear strength parameters by means of rock index tests through an optimized artificial neural network. Measurement 2015, 55, 487–498. [Google Scholar] [CrossRef]
- Armaghani, D.J.; Mohamad, E.T.; Momeni, E.; Monjezi, M.; Narayanasamy, M.S. Prediction of the strength and elasticity modulus of granite through an expert artificial neural network. Arab. J. Geosci. 2016, 9, 48. [Google Scholar] [CrossRef]
- Ferentinou, M.; Fakir, M. An ANN approach for the prediction of uniaxial compressive strength, of some sedimentary and igneous rocks in eastern KwaZulu-Natal. Procedia Eng. 2017, 191, 1117–1125. [Google Scholar] [CrossRef]
- Asadi, A. Application of artificial neural networks in prediction of uniaxial compressive strength of rocks using well logs and drilling data. Procedia Eng. 2017, 191, 279–286. [Google Scholar] [CrossRef]
- Abdi, Y.; Taheri Garavand, A.; Zarei Sahamieh, A. Prediction of strength parameters of sedimentary rocks using artificial neural networks and regression analysis. Arab. J. Geosci. 2018, 11, 587. [Google Scholar] [CrossRef]
- Hassanvand, M.; Moradi, S.; Fattahi, M.; Zargar, G.; Kamari, M. Estimation of rock uniaxial compressive strength for an Iranian carbonate oil reservoir: Modeling vs. artificial neural network application. Pet. Res. 2018, 3, 336–345. [Google Scholar] [CrossRef]
- Umrao, R.K.; Sharma, L.K.; Singh, R.; Singh, T.N. Determination of strength and modulus of elasticity of heterogenous sedimentary rocks: An ANFIS predictive technique. Measurement 2018, 126, 194–201. [Google Scholar] [CrossRef]
- Mahdiabadi, N.; Khanlari, G. Prediction of uniaxial compressive strength and modulus of elasticity in calcareous mudstones using neural networks, fuzzy systems, and regression analysis. Period. Polytech. Civ. Eng. 2019, 63, 104–114. [Google Scholar] [CrossRef]
- Haider Rizvi, Z.; Akhtar, S.J.; Haider, H.; Follmann, J.; Wuttke, F. Estimation of seismic wave velocities of metamorphic rocks using artificial neural network. Mater. Today Proc. 2020, 26, 324–330. [Google Scholar] [CrossRef]
- Miah, M.I.; Ahmed, S.; Zendehboudi, S.; Butt, S. Machine Learning Approach to Model Rock Strength: Prediction and Variable Selection with Aid of Log Data. Rock Mech. Rock Eng. 2020, 53, 4691–4715. [Google Scholar] [CrossRef]
- Kardani, N.; Bardhan, A.; Gupta, S.; Samui, P.; Nazem, M.; Zhang, Y.; Zhou, A. Predicting permeability of tight carbonates using a hybrid machine learning approach of modified equilibrium optimizer and extreme learning machine. Acta Geotech. 2021, 17, 1239–1255. [Google Scholar] [CrossRef]
- Siddig, O.; Gamal, H.; Elkatatny, S.; Abdulraheem, A. Real-time prediction of Poisson’s ratio from drilling parameters using machine learning tools. Sci. Rep. 2021, 11, 12611. [Google Scholar] [CrossRef]
- LeCun, Y.; Bengio, Y.; Hinton, G. Deep learning. Nature 2015, 521, 436–444. [Google Scholar] [CrossRef]
- He, M.; Zhang, Z.; Ren, J.; Huan, J.; Li, G.; Chen, Y.; Li, N. Deep convolutional neural network for fast determination of the rock strength parameters using drilling data. Int. J. Rock Mech. Min. Sci. 2019, 123, 104084. [Google Scholar] [CrossRef]
- ASTM D7012; Standard Test Methods for Compressive Strength and Elastic Moduli of Intact Rock Core Specimens under Varying States of Stress and Temperatures. ASTM International: West Conshohocken, PA, USA, 2014.
- ASTM D5607; Standard Test Methods for Performing Laboratory Direct Shear Strengh Tests of Rock Specimens under Constant Normal Force. ASTM International: West Conshohocken, PA, USA, 2017.
- Pettijohn, F.J. Sedimentary Rock, 3rd ed.; Harpercollins: New York, NY, USA, 1983. [Google Scholar]
- Aggarwal, C.C. Neural Networks and Deep Learning: A Textbook; Springer: Cham, Switzerland, 2018. [Google Scholar]
- Müller, A.C.; Guido, S. Introduction to Machine Learning with Python: A Guide for Data Scientists; O’Reilly Media: Sebastopol, CA, USA, 2016. [Google Scholar]
- Panja, P.; Goral, J.; Deo, M.; McLennan, J. Prediction of geomechanical properties from elemental analysis using machine learning algorithm. In Proceedings of the 54th U.S. Rock Mechanics/Geomechanics Symposium, Golden, CO, USA, 28 June–1 July 2020. [Google Scholar]









| Classifier | Accuracy | Assessment score | ||
|---|---|---|---|---|
| Precision | Recall | F1-Score | ||
| SVM | 0.71 | 0.88 | 0.71 | 0.71 |
| LR | 0.50 | 0.45 | 0.51 | 0.50 |
| GNB | 0.70 | 0.65 | 0.69 | 0.69 |
| MLP | 0.88 | 0.85 | 0.77 | 0.77 |
| GNB | 0.75 | 0.71 | 0.77 | 0.75 |
| DT | 0.45 | 0.65 | 0.65 | 0.40 |
| DNN | 0.95 | 0.97 | 0.95 | 0.95 |
Publisher’s Note: MDPI stays neutral with regard to jurisdictional claims in published maps and institutional affiliations. |
© 2022 by the authors. Licensee MDPI, Basel, Switzerland. This article is an open access article distributed under the terms and conditions of the Creative Commons Attribution (CC BY) license (https://creativecommons.org/licenses/by/4.0/).
Share and Cite
Azarafza, M.; Hajialilue Bonab, M.; Derakhshani, R. A Deep Learning Method for the Prediction of the Index Mechanical Properties and Strength Parameters of Marlstone. Materials 2022, 15, 6899. https://doi.org/10.3390/ma15196899
Azarafza M, Hajialilue Bonab M, Derakhshani R. A Deep Learning Method for the Prediction of the Index Mechanical Properties and Strength Parameters of Marlstone. Materials. 2022; 15(19):6899. https://doi.org/10.3390/ma15196899
Chicago/Turabian StyleAzarafza, Mohammad, Masoud Hajialilue Bonab, and Reza Derakhshani. 2022. "A Deep Learning Method for the Prediction of the Index Mechanical Properties and Strength Parameters of Marlstone" Materials 15, no. 19: 6899. https://doi.org/10.3390/ma15196899
APA StyleAzarafza, M., Hajialilue Bonab, M., & Derakhshani, R. (2022). A Deep Learning Method for the Prediction of the Index Mechanical Properties and Strength Parameters of Marlstone. Materials, 15(19), 6899. https://doi.org/10.3390/ma15196899

