Brillouin Scattering and First-Principles Studies of BaMO3 (M = Ti, Zr, and Cu) Perovskites
Abstract
1. Introduction
2. Methodology
2.1. Experimental Section
2.2. Theoretical Section
3. Typical Phenomena in BaMO3 (M = Ti, Zr, and Cu) Perovskites
3.1. Precursor Dynamics and Domain Switching in BaTiO3 Single Crystal
3.2. Local Lattice Disorder in BaZrO3 Single Crystals
3.3. Lattice Instability and IR Spectra of BaZrO3 Crystals
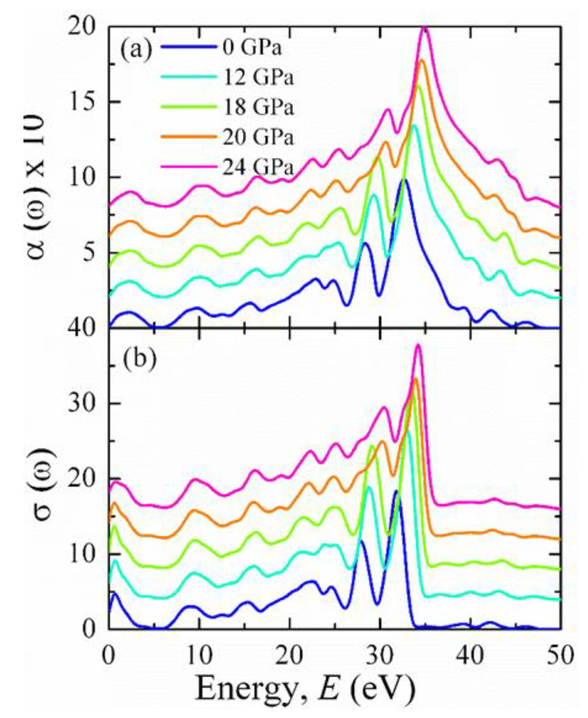
3.4. First-Principles Calculations of BaCuO3 Crystals
4. Summary
Author Contributions
Funding
Institutional Review Board Statement
Informed Consent Statement
Data Availability Statement
Acknowledgments
Conflicts of Interest
References
- Nagata, S.; Katsui, H.; Hoshi, K.; Tsuchiya, B.; Toh, K.; Zhao, M.; Shikama, T.; Hodgson, E. Recent research activities on functional ceramics for insulator, breeder and optical sensing systems in fusion reactors. J. Nucl. Mater. 2013, 442, S501–S507. [Google Scholar] [CrossRef]
- Seyfi, B.; Baghalha, M.; Kazemian, H. Modified LaCoO3 nano-perovskite catalysts for the environmental application of automotive CO oxidation. Chem. Eng. J. 2009, 148, 306–311. Available online: https://www.cheric.org/research/tech/periodicals/doi.php?art_seq=768853 (accessed on 15 May 2009). [CrossRef]
- Kreisel, J.; Glazer, A.; Jones, G.; Thomas, P.; Abello, L.; Lucazeau, G. An X-ray diffraction and Raman spectroscopy investigation of A-site substituted perovskites compounds: The (Na1-xKx)0.5Bi0.5TiO3 (0 x1) solid solution. J. Phys. Condens. Matter 2000, 12, 3267–3280. [Google Scholar] [CrossRef]
- Fu, P.; Shan, Q.; Shang, Y.; Song, J.; Zeng, H.; Ning, Z.; Gong, J. Perovskite nanocrystals: Synthesis, properties and applications. Sci. Bull. 2017, 62, 369–380. [Google Scholar] [CrossRef]
- Protesescu, L.; Yakunin, S.; Bodnarchuk, M.I.; Krieg, F.; Caputo, R.; Hendon, C.H.; Yang, R.X.; Walsh, A.; Kovalenko, M.V. Nanocrystals of cesium lead halide perovskites (CsPbX3, X = Cl, Br, and I): Novel optoelectronic materials showing bright emission with wide color gamut. Nano Lett. 2015, 15, 3692–3696. [Google Scholar] [CrossRef] [PubMed]
- Kawamura, Y.; Mashiyama, H.; Hasebe, K. Structural study on cubic–tetragonal transition of CH3NH3PbI3. J. Phys. Soc. Jpn. 2002, 71, 1694–1697. Available online: https://ui.adsabs.harvard.edu/link_gateway/2002JPSJ...71.1694K/doi:10.1143/JPSJ.71.1694 (accessed on 13 December 2001). [CrossRef]
- Xu, B.; Yin, K.; Lin, J.; Xia, Y.; Wan, X.; Yin, J.; Bai, X.; Du, J.; Liu, Z. Room temperature ferromagnetism and ferroelectricity in Fe-doped BaTiO3. Phys. Rev. B 2009, 79, 134109. [Google Scholar] [CrossRef]
- Vanderbilt, D. First-principles based modelling of ferroelectrics. Curr. Opin. Solid State Mater. Sci. 1997, 2, 701. [Google Scholar] [CrossRef]
- Kotecki, D.E.; Baniecki, J.D.; Shen, H.; Laibowitz, R.B.; Saenger, K.L.; Lian, J.J.; Shaw, T.M.; Athavale, S.D.; Cabral, C.; Duncombe, P.R.; et al. (Ba,Sr)TiO3 dielectrics for future stacked-capacitor DRAM. IBM J. Res. Dev. 1999, 43, 367. [Google Scholar] [CrossRef]
- Tinte, S.; Niguez, J.; Rabe, K.M.; Vanderbilt, D. Quantitative analysis of the first-principles effective Hamiltonian approach to ferroelectric perovskites. Phys. Rev. B 2003, 67, 064106. [Google Scholar] [CrossRef]
- Rao, F.; Kim, M.; Freeman, A.J. Structural and electronic properties of transition-metal/BaTiO3(001) interfaces. Phys. Rev. B 1997, 55, 13953. [Google Scholar] [CrossRef]
- Mitchell, R.H. Perovskite: Modern and Ancient. Acta Cryst. 2002, 58, 1075. [Google Scholar] [CrossRef]
- Helal, M.A.; Kojima, S. Structural instability and phase transition in BaZrO3 single crystals: Brillouin scattering and DFT study. Mater. Sci. Eng. B 2021, 271, 115314. [Google Scholar] [CrossRef]
- Cochran, W. Crystal stability and the theory of ferroelectricity. Adv. Phys. 1960, 9, 387. [Google Scholar] [CrossRef]
- Shirane, G.; Frazer, B.C.; Minkiewicz, V.J.; Leake, J.A.; Linz, A. Soft Optic Modes in Barium Titanate. Phys. Rev. Lett. 1967, 19, 234. [Google Scholar] [CrossRef]
- Kay, H.F.; Vousden, P. XCV. Symmetry changes in barium titanate at low temperatures and their relation to its ferroelectric properties. Philos. Mag. 1949, 40, 1019. [Google Scholar] [CrossRef]
- Rhodes, R.G. Structure of BaTiO3 at low temperatures. Acta Crystallogr. 1949, 2, 417–419. [Google Scholar] [CrossRef]
- Comes, R.; Lambert, M.; Guinier, A. The chain structure of BaTiO3 and KNbO3. Solid State Commun. 1968, 6, 715. [Google Scholar] [CrossRef]
- Comes, R.; Lambert, M.; Guinier, A. Désordre linéaire dans les cristaux (cas du silicium, du quartz, et des pérovskites ferroélectriques). Acta Crystallogr. Sect. 1970, A26, 244. [Google Scholar] [CrossRef]
- Burns, G.; Dacol, F.H. Glassy polarization behavior in ferroelectric compounds Pb(Mg1/3Nb2/3)O3 and Pb(Zn1/3Nb2/3)O3. Solid State Commun. 1983, 48, 853. [Google Scholar] [CrossRef]
- Li, L.-M.; Jiang, Y.-J.; Zeng, L.-Z. Temperature Dependence of Raman Spectra in BaTiO3. J. Raman Spectrosc. 1996, 27, 503. [Google Scholar] [CrossRef]
- Rusek, K.; Kruczek, J.; Szot, K.; Rytz, D.; Gorny, M.; Roleder, K. Non-Linear Properties of BaTiO3 above T C. Ferroelectrics 2008, 375, 165. [Google Scholar] [CrossRef]
- Ko, J.-H.; Kojima, S.; Koo, T.-Y.; Jung, J.H.; Won, C.J.; Hur, N.J. Elastic softening and central peaks in BaTiO3 single crystals above the cubic-tetragonal phase-transition temperature. Appl. Phys. Lett. 2008, 93, 102905. [Google Scholar] [CrossRef]
- Helal, M.A.; Kojima, S. Effect of electric field on elastic properties of BaTiO3 single crystals: A micro-Brillouin scattering study. Jpn. J. Appl. Phys. 2022, 61, SG1016. [Google Scholar] [CrossRef]
- Levin, I.; Amos, T.J.; Bell, S.M.; Farber, L.; Vanderah, T.A.; Roth, R.S.; Toby, B.H. Phase equilibria, crystal structures, and dielectric anomaly in the BaZrO3-CaZrO3 system. J. Solid State Chem. 2003, 175, 170. [Google Scholar] [CrossRef]
- Lebedev, A.I.; Sluchinskaya, I.A. Structural instability in BaZrO3 crystals: Calculations and experiment. Phys. Solid State 2013, 55, 1941. [Google Scholar] [CrossRef]
- Bennett, J.W.; Grinberg, I.; Rappe, A.M. Effect of symmetry lowering on the dielectric response of BaZrO3. Phys. Rev. B 2006, 73, 180102. [Google Scholar] [CrossRef]
- Helal, M.A.; Mori, T.; Kojima, S. Softening of infrared-active mode of perovskite BaZrO3 proved by terahertz time-domain spectroscopy. Appl. Phys. Lett. 2015, 106, 182904. [Google Scholar] [CrossRef]
- Helal, M.A.; Mori, T.; Kojima, S. Terahertz time-domain spectroscopy and Raman scattering studies of incipient ferroelectric BaZrO3. Ferroelectrics 2016, 499, 107. [Google Scholar] [CrossRef]
- Chemarin, C.; Rosman, N.; Pagnier, T.; Lucazeau, G. A High-Pressure Raman Study of Mixed Perovskites BaCexZr1−xO3 (0 ≤ x ≤ 1). J. Solid State Chem. 2000, 149, 298–307. [Google Scholar] [CrossRef]
- Giannici, F.; Shirpour, M.; Longo, A.; Martorana, A.; Merkle, R.; Maier, J. Long-Range and Short-Range Structure of Proton-Conducting Y:BaZrO3. Chem. Mater. 2011, 23, 2994. [Google Scholar] [CrossRef]
- Kim, D.Y.; Patrik, E.D.C.; Miyoshi, S.; Tsuchita, T.; Yamaguchi, S. Local Bond Structure of BaZrO3 Doped with Various Dopant Probed by Raman Spectroscopy. Meet. Abstr. 2012, MA2012-02, 2098. [Google Scholar] [CrossRef]
- Bednorz, J.B.; Müller, K.A. Possible highT c superconductivity in the Ba−La−Cu−O system. Z. Phys. B 1986, 64, 189–193. [Google Scholar] [CrossRef]
- Hor, P.H.; Meng, R.L.; Wang, Y.Q.; Gao, L.; Huang, Z.J.; Bechtold, J.; Forster, K.; Chu, C.W. High-pressure study of the new Y-Ba-Cu-O superconducting compound system. Phys. Rev. Lett. 1987, 58, 1891. [Google Scholar] [CrossRef]
- Maeda, H.; Tanaka, Y.; Fukutomi, M.; Asano, T. A New High-Tc Oxide Superconductor without a Rare Earth Element. Jpn. J. Appl. Phys. 1998, 27, L209. [Google Scholar] [CrossRef]
- Gao, L.; Xue, Y.Y.; Chen, F.; Xiong, Q.; Meng, R.L.; Ramirez, D.; Chu, C.W.; Eggert, J.H.; Mao, H.K. Superconductivity up to 164 K in HgBa2Cam−1CumO2m+2+δ (m = 1, 2, and 3) under quasihydrostatic pressures. Phys. Rev. B 1994, 50, 4260. [Google Scholar] [CrossRef] [PubMed]
- Seko, A.; Ishiwata, S. Prediction of perovskite-related structures in A CuO3-x(A = Ca, Sr, Ba, Sc, Y, La) using density functional theory and Bayesian optimization. Phys. Rev. B 2020, 101, 134101. [Google Scholar] [CrossRef]
- Helal, M.A.; Farid Ul-Islam, A.K.M.; Liton, M.N.H.; Kamruzzaman, M. Hydrostatic pressure dependent structural, elastic, vibrational, electronic, and optoelectronic properties of superconducting BaCuO3: A DFT insight. J. Phys. Chem. Solids 2022, 161, 110452. [Google Scholar] [CrossRef]
- Eros, S.; Reitz, J.R. Elastic Constants by the Ultrasonic Pulse Echo Method. J. Appl. Phys. 1958, 29, 683. [Google Scholar] [CrossRef]
- Sumino, Y.; Ohno, I.; Goto, T.; Kumazawa, M. Measurement of the elastic constant and internal frictions on single-crystal MgO by rectangular parallelepiped resonance. J. Phys. Earth 1976, 24, 263. [Google Scholar] [CrossRef][Green Version]
- Maczka, M.; Hanuza, J.; Ko, J.-H.; Kojima, S. High-resolution broadband Brillouin scattering study of antiferroelectric phase transition in CsBi(MoO4)2. Phys. Rev. B 2003, 68, 174101. [Google Scholar] [CrossRef]
- Grunberg, P. Brillouin scattering from spin waves in thin ferromagnetic films. J. Magn. Mater. 1980, 766, 15–18. [Google Scholar] [CrossRef]
- Courtens, E.; Pelous, J.; Phalippou, J.; Vacher, R.; Woignier, T. Brillouin-scattering measurements of phonon-fracton crossover in silica aerogels. Phys. Rev. Lett. 1987, 58, 128. [Google Scholar] [CrossRef]
- Kojima, S. 100th Anniversary of Brillouin Scattering: Impact on Materials Science. Materials 2022, 15, 3518. [Google Scholar] [CrossRef] [PubMed]
- Kojima, S. Gigahertz Acoustic Spectroscopy by Micro-Brillouin Scattering. Jpn. J. App. Phys. 2010, 49, 07HA01. [Google Scholar] [CrossRef]
- Kohn, W.; Sham, L.J. Self-consistent equations including exchange and correlation effects. Phys. Rev. 1965, 140, A1133. [Google Scholar] [CrossRef]
- Vanderbilt, D. Soft self-consistent pseudopotentials in a generalized eigenvalue formalism. Phys. Rev. B 1990, 41, 7892–7895. [Google Scholar] [CrossRef] [PubMed]
- Nikulin, N. Fundamentals of Electrical Materials; Mir Publishers: Moscow, Russia, 1988. [Google Scholar]
- Luspint, Y.; Servoin, J.L.; Gervais, F. Soft mode spectroscopy in barium titanate. J. Phys. C Solid St. Phys. 1980, 13, 3761. [Google Scholar] [CrossRef]
- Takahasi, H. A Note on the Theory of Barium Titanate. J. Phys. Soc. Jpn. 1961, 16, 1685. [Google Scholar] [CrossRef]
- Helal, M.A.; Aftabuzzaman, M.; Tsukada, S.; Koima, S. Role of polar nanoregions with weak random fields in Pb-based perovskite ferroelectrics. Sci. Rep. 2017, 7, 44448. [Google Scholar] [CrossRef] [PubMed]
- Liu, Y.; Withers, R.; Nguyen, B.; Elliott, K. Structurally frustrated polar nanoregions in BaTiO3-based relaxor ferroelectric systems. Appl. Phys. Lett. 2007, 91, 152907. [Google Scholar] [CrossRef]
- Tsuda, K.; Sano, R.; Tanaka, M. Nanoscale local structures of rhombohedral symmetry in the orthorhombic and tetragonal phases of BaTiO3 studied by convergent-beam electron diffraction. Phys. Rev. B 2012, 86, 214106. [Google Scholar] [CrossRef]
- Grinberg, I.; Rappe, A.M. Local structure and macroscopic properties in PMN-PT and PZN-PT solid solutions. Phys. Rev. B 2004, 70, 220101. [Google Scholar] [CrossRef]
- Xu, G.; Wen, J.; Stock, C.; Gehring, P.M. Phase instability induced by polar nanoregions in a relaxor ferroelectric system. Nat. Mater. 2008, 7, 562–566. [Google Scholar] [CrossRef]
- Ko, J.H.; Kim, T.H.; Roleder, K.; Rytz, D.; Kojima, S. Precursor dynamics in the ferroelectric phase transition of barium titanate single crystals studied by Brillouin light scattering. Phys. Rev. B 2011, 84, 094123. [Google Scholar] [CrossRef]
- Tsukada, S.; Kojima, S. Time-reversal operation of tunneling dynamics of Bose-Einstein condensates in optical lattices. Phys. Rev. B 2008, 78, 144106. [Google Scholar] [CrossRef]
- Dul’kin, E.; Petzelt, J.; Kamba, S.; Mojaev, E.; Roth, M. Relaxor-like behavior of BaTiO3 crystals from acoustic emission study. Appl. Phys. Lett. 2010, 97, 032903. [Google Scholar] [CrossRef]
- Sale, E.K.H.; Carpenter, M.A.; Nataf, G.F.; Picht, G.; Webber, K.; Weerasinghe, J.; Lisenkov, S.; Bellaiche, L. Elastic excitations in BaTiO3 single crystals and ceramics: Mobile domain boundaries and polar nanoregions observed by resonant ultrasonic spectroscopy. Phys. Rev. B 2013, 87, 014106. [Google Scholar] [CrossRef]
- Helal, M.A.; Kojima, S. Brillouin scattering and elastic constants of relaxor ferroelectric 0.44Pb(Mg1/3Nb2/3)O3-0.56PbTiO3 single crystals. Ferroelectrics 2017, 512, 36. [Google Scholar] [CrossRef]
- Richerson, D.W. Modern Ceramic Engineering: Properties, Processing, and Use in Design, 2nd ed.; Marcel Dekker, Inc.: New York, NY, USA, 1992. [Google Scholar]
- Cruz, M.P.; Chu, Y.H.; Zhang, J.X.; Yang, P.L.; Zavaliche, F.; He, Q.; Shafer, P.; Chen, L.Q.; Ramesh, R. Strain Control of Domain-Wall Stability in Epitaxial BiFeO3 (110) Films. Phys. Rev. Lett. 2007, 99, 217601. [Google Scholar] [CrossRef]
- Merz, W.J. Domain Formation and Domain Wall Motions in Ferroelectric BaTiO3 Single Crystals. Phys. Rev. 1954, 95, 690–698. [Google Scholar] [CrossRef]
- Rojac, T.; Kosec, M.; Damjanovic, D. Large Electric-Field Induced Strain in BiFeO3 Ceramics. J. Am. Ceram. Soc. 2011, 94, 4108–4111. [Google Scholar] [CrossRef]
- Jiang, B.; Bai, Y.; Chu, W.Y.; Su, Y.J.; Qiao, L.J. Direct observation of two 90° steps of 180° domain switching in BaTiO3 single crystal under an antiparallel electric field. Appl. Phys. Lett. 2008, 93, 152905. [Google Scholar] [CrossRef]
- Potnis, P.; Huber, J. In-situ observation of needle domain evolution in barium titanate single crystals. J. Eur. Ceram. Soc. 2013, 33, 327–333. [Google Scholar] [CrossRef]
- Nelson, C.T.; Gao, P.; Jokisaari, J.R.; Heikes, C.; Adamo, C.; Melville, A.; Baek, S.H.; Folkman, C.M.; Winchester, B.; Gu, Y.J.; et al. Domain Dynamics During Ferroelectric Switching. Science 2011, 334, 968–971. [Google Scholar] [CrossRef]
- Baek, S.H.; Jang, H.W.; Folkman, C.M.; Li, Y.L.; Winchester, B.; Zhang, J.X.; He, Q.; Chu, Y.H.; Nelson, C.T.; Rzchowski, M.S.; et al. Ferroelastic switching for nanoscale non-volatile magnetoelectric devices. Nature Mater. 2010, 9, 309–314. [Google Scholar] [CrossRef]
- Bilić, A.; Gale, J.D. Ground state structure of BaZrO3: A comparative first-principles study. Phys. Rev. B 2009, 79, 174107. [Google Scholar] [CrossRef]
- Li, Y.W.; Li, F.X. The effect of domain patterns on 180° domain switching in BaTiO3 crystals during antiparallel electric field loading. Appl. Phys. Lett. 2014, 104, 042908. [Google Scholar] [CrossRef]
- Kersch, A.; Fischer, D.J. Phase stability and dielectric constant of ABO3 perovskites from first principles. Appl. Phys. 2009, 106, 01405. [Google Scholar] [CrossRef]
- Vacher, R.; Boyer, L. Brillouin Scattering: A Tool for the Measurement of Elastic and Photoelastic Constants. Phys. Rev. B 1972, 6, 639. [Google Scholar] [CrossRef]
- Ko, J.-H.; Kim, D.H.; Kojima, S. Central peaks, acoustic modes, and the dynamics of polar nanoregions in Pb[(Zn1/3Nb2/3)xTi1-x]O3 single crystals studied by Brillouin spectroscopy. Phys. Rev. B 2008, 77, 104110. [Google Scholar] [CrossRef]
- Nuzhnyy, D.; Petzelt, J.; Savinov, M.; Ostapchuk, T.; Bovtun, V.; Kempa, M.; Hlinka, J.; Buscaglia, V.; Buscaglia, M.T.; Nanni, P. Broadband dielectric response of Ba(Zr,Ti)O3 ceramics: From incipient via relaxor and diffuse up to classical ferroelectric behavior. Phys. Rev. B 2012, 86, 014106. [Google Scholar] [CrossRef]
- Gim, D.-H.; Sur, Y.; Lee, Y.H.; Lee, J.H.; Moon, S.; Oh, Y.S.; Kim, K.H. Pressure-Dependent Structure of BaZrO3 Crystals as Determined by Raman Spectroscopy. Materials 2022, 15, 4286. [Google Scholar] [CrossRef] [PubMed]
- Evarestov, R.A. Hybrid density functional theory LCAO calculations on phonons in Ba(Ti,Zr,Hf)3. Phys. Rev. B 2011, 83, 014105. [Google Scholar] [CrossRef]
- Sundell, P.G.; Björketun, M.E.; Wahnström, G. Thermodynamics of doping and vacancy formation in BaZrO3 perovskite oxide from density functional calculations. Phys. Rev. B 2006, 73, 104112. [Google Scholar] [CrossRef]
- Akbarzadeh, A.R.; Kornev, I.; Malibert, C.; Bellaiche, L.; Kiat, J.M. Combined theoretical and experimental study of the low-temperature properties of BaZrO3. Phys. Rev. B 2005, 72, 205104. [Google Scholar] [CrossRef]
- Muller, K.A.; Burkard, H. SrTiO3: An intrinsic quantum paraelectric below 4 K. Phys. Rev. B 1979, 19, 3593. [Google Scholar] [CrossRef]
- Glazer, A.M. The classification of tilted octahedra in perovskites. Acta Cryst. B 1972, 28, 3384–3392. [Google Scholar] [CrossRef]
- Liton, M.N.H.; Roknuzzaman, M.; Helal, M.A.; Kamruzzaman, M.; Islam, A.K.M.F.U.; Ostrikov, K.; Khan, M.K.R. Electronic, mechanical, optical and photocatalytic properties of perovskite RbSr2Nb3O10 compound. J. Alloys Compd. 2021, 867, 159077. [Google Scholar] [CrossRef]
- Helal, M.A.; Islam, A.K.M.A. Elastic, electronic, and optical properties of hypothetical SnNNi3 and CuNNi3 in comparison with superconducting ZnNNi3. Phys. B 2011, 406, 4564–4568. [Google Scholar] [CrossRef]
- Li, W.M.; Zhao, J.F.; Cao, L.P.; Hu, Z.; Huang, Q.Z.; Wanga, X.C.; Liu, Y.; Zhao, G.Q.; Zhang, J.; Liu, Q.Q.; et al. Superconductivity in a unique type of copper oxide. Proc. Natl. Acad. Sci. USA 2019, 116, 12156–12160. [Google Scholar] [CrossRef] [PubMed]
- Allen, P.B.; Dynes, R.C. Transition temperature of strong-coupled superconductors reanalyzed. Phys. Rev. B 1975, 12, 905. [Google Scholar] [CrossRef]
- Casais, M.T.; Alonso, J.A.; Rasines, I.; Hidalgo, M.A. Preparation, neutron structural study and characterization of BaNbO3: A Pauli-like metallic perovskite. Mater. Res. Bull. 1995, 30, 201–208. [Google Scholar] [CrossRef]
- Gasparov, V.A.; Ermolov, S.N.; Khassanov, S.S. Superconducting, surface and anomalous electron transport properties of BaNbO3−x films. Phys. B 2000, 284, 1119–1120. [Google Scholar] [CrossRef]
















Publisher’s Note: MDPI stays neutral with regard to jurisdictional claims in published maps and institutional affiliations. |
© 2022 by the authors. Licensee MDPI, Basel, Switzerland. This article is an open access article distributed under the terms and conditions of the Creative Commons Attribution (CC BY) license (https://creativecommons.org/licenses/by/4.0/).
Share and Cite
Helal, M.A.; Kojima, S. Brillouin Scattering and First-Principles Studies of BaMO3 (M = Ti, Zr, and Cu) Perovskites. Materials 2022, 15, 6747. https://doi.org/10.3390/ma15196747
Helal MA, Kojima S. Brillouin Scattering and First-Principles Studies of BaMO3 (M = Ti, Zr, and Cu) Perovskites. Materials. 2022; 15(19):6747. https://doi.org/10.3390/ma15196747
Chicago/Turabian StyleHelal, Md Al, and Seiji Kojima. 2022. "Brillouin Scattering and First-Principles Studies of BaMO3 (M = Ti, Zr, and Cu) Perovskites" Materials 15, no. 19: 6747. https://doi.org/10.3390/ma15196747
APA StyleHelal, M. A., & Kojima, S. (2022). Brillouin Scattering and First-Principles Studies of BaMO3 (M = Ti, Zr, and Cu) Perovskites. Materials, 15(19), 6747. https://doi.org/10.3390/ma15196747

