Next Article in Journal
Crash Performance of Strength Gradient Tube Induced by Selective Laser Patterning
Previous Article in Journal
Structural Formation of Alkali-Activated Materials Based on Thermally Treated Marl and Na2SiO3
Previous Article in Special Issue
Tunable Compact Metamaterial-Based Double-Negative/Near-Zero Index Resonator for 6G Terahertz Wireless Applications
 
 
Font Type:
Arial Georgia Verdana
Font Size:
Aa Aa Aa
Line Spacing:
Column Width:
Background:
Article

A Novel Terahertz Detector Based on Asymmetrical FET Array in 55-nm Standard CMOS Process

1
School of Microelectronics, Tianjin University, Tianjin 300072, China
2
School of Electronic and Information Engineering, Beijing Jiaotong University, Beijing 100044, China
3
Beijing Microelectronics Technology Institute, Beijing 100076, China
*
Author to whom correspondence should be addressed.
Materials 2022, 15(19), 6578; https://doi.org/10.3390/ma15196578
Submission received: 18 August 2022 / Revised: 8 September 2022 / Accepted: 16 September 2022 / Published: 22 September 2022

Abstract

This paper reports a novel, one-dimensional dense array of asymmetrical metal-oxide-semiconductor field-effect-transistor (MOSFET) THz detector, which has been fabricated in GlobalFoundries 55-nm CMOS technology. Compared with other technologies, the Si-based complementary metal-oxide-semiconductor (CMOS) dominates in industrial applications, owing to its easier integration and lower cost. However, as the frequency increases, the return loss between the antenna and detector will increase. The proposed THz detector has a short-period grating structure formed by MOSFET fingers in the array, which can serve as an effective antenna to couple incident THz radiation into the FET channels. It not only solved the problem of return loss effectively, but also greatly reduced the detector area. Meanwhile, since the THz signal is rectified at both the source and drain electrodes to generate two current signals with equal amplitude but opposite directions, the source drain voltage is not provided to reduce the power consumption. This leads to a poor performance of the THz detector. Therefore, by using an asymmetric structure for the gate fingers position to replace the source drain voltage, the performance of the detector in the case of zero power consumption can be effectively improved. Compared with the symmetrical MOSFET THz detector, Rv is increased by 183.3% and NEP is decreased by 67.7%.

1. Introduction

THz radiation (0.1–10 THz), which lies in the electromagnetic spectrum between microwave and infrared, shows various potential applications for imaging, security, spectroscopy technology and many others owing to its unique properties [1]. Since the theoretical consideration of plasma waves in a two-dimensional (2D) electron channel was proposed in [2], THz detectors based on the plasma theory have been extensively developed [3,4,5]. In order to achieve high-performance THz detectors, some applications have already been implemented using dedicated semiconductor technologies such as SiGe, GaAs, InP and InGaAs [6,7,8,9] or new materials such as photoelectric crystals [10] and two-dimensional (2D) materials [11]. Compared with the above technologies, the Si-based complementary metal-oxide-semiconductor (CMOS) technology dominates in industrial applications [12,13,14,15] due to its excellent advantages of low cost, low power consumption and large-scale integration of circuits by using readout electronics and on-chip signal processors.
Among the published THz detectors, bolometers [16], Schottky barrier diodes (SBD) [8] and antenna-coupled metal-oxide-semiconductor field-effect-transistor (MOSFET) detectors [17], are used commonly. However, bolometer detectors exhibit a slow response speed. SBD detectors are difficult to integrate. Antenna-coupled MOSFET detectors show poor performance at high frequencies, since the return loss between the antenna and the detector will increase as frequency increases, due to the existence of antenna. In order to solve the above problems, the impedance matching structures have been used to reduce the return loss [18,19], hence the new antenna structures [20,21] or asymmetric MOSFET structures [22,23] have been used to improve the performance of the THz detector. Although these approaches can solve some problems, the impedance matching is very difficult to realize in high-frequency, and the new structure antennas are likely to further increase the detector area.
To solve the above problems, a room temperature 2.58 THz detector is proposed and demonstrated in GlobalFoundries 55-nm CMOS technology for the first time in this paper. It is composed of a short-channel asymmetrical MOSFET array, and the mechanism is plasma detection. The fingers in a separate short-channel FET array form a grating structure, serving as an effective antenna to couple the THz radiation into the FET channels [24]. This not only solves the high-frequency impedance matching problem, but also greatly reduces the area of the THz detector, since the fingers function as the antenna. In addition, the asymmetrical position of the gate fingers in the FETs can also break the shielding by changing the electrical balance in the channel [25]. The experimental results have shown that the performance of asymmetric detector is much better than symmetric detector. Hence, the short-channel asymmetric MOSFET array THz detector demonstrated a high Rv, low noise equivalent power (NEP) and high response speed.

2. Materials and Methods

The diagram of the MOSFET array THz detector is shown in Figure 1a. Individual MOSFETs are densely arranged in the array to form a grating structure by using the fingers. The grating structure that acts as an effective matched antenna can couple the external THz radiation into MOSFET channels to excite plasmons, which can induce the response current in the channel. Therefore, the detector operating at a non-resonant mode can detect the THz radiation power by measuring the voltage at the drain or source terminal. Although MOSFET is not a two-dimensional device, the electric field provided by the gate accumulates a very thin layer of carriers (channel) below the gate oxygen layer because of the 0 V source-drain voltage. Due to the limitation of the electric field in the vertical direction (gate voltage), the movement of carriers in the channel can only move on the surface of the active region. Therefore, when analyzing the plasma in the MOSFET channel, it can be simplified into a two-dimensional model. Based on the two-dimensional electron channel, the plasma formula can be described with the two-dimensional electron flow [26].
v ( x , t ) t + v ( x , t ) v ( x , t ) x + v ( x , t ) τ + e m * E ( x , t ) = 0
e t n ( x , t ) x j ( x , t ) = 0
where E(x,t) is the in-plane electric field depending on the time t and coordinate x in the 2D electron system, τ is the electron momentum relaxation time, e and m* are the electron charge and the electron effective mass, respectively, j(x,t) = −ev(x,t)n(x,t) is the density of the induced electric current, n(x,t) and j(x,t) are the hydrodynamic electron density and velocity in the 2D electron channel.
As shown in Figure 1b, each MOSFET is coupled electromagnetically in the array, but they are uncoupled electronically since the MOSFETs are isolated with each other. Therefore, the response current I generated by each MOSFET is independent in the array. The THz radiation is uniform and the radiation area is large enough to ensure that each MOSFET in the array can receive the same amount of THz radiation. Meanwhile, each MOSFET in the array has the same gate bias and the common source and drain. The response currents generated by every MOSFET added together to produce the total output current Itotal. In principle, the response current I generated by each MOSFET is identical.
The generated I in each MOSFET channel is given by the Fourier transform [27]:
δ j 0 = 2 σ 0 e γ m * q q E q 2 ( ω 0 q v 0 ) [ ( ω 0 q v 0 ) 2 + γ 2 ]
where σ0 = e2N0τ/m* is the conducting property of the plasmons in the channel, γ = 1/τ, Eq is the Fourier harmonic of the total self-consistent in-plane electric field of frequency ω0 with wave vector q = 2πn/l, n = 0, ±1, ±2, …, and l is the grating period.
Except for the shielding by gate bias, THz radiation rectified at the drain or source electrodes are crucially dependent on how the THz signal is fed to the channel. The two possibilities feature an opposite sign of the rectified current. This competition will reduce the performance of the detector [28]. So, the THz detector demands a design for which only one of the two mechanisms is dominant. This can be achieved by an asymmetrical structure or biasing conditions.
According to Equation (3), a symmetrical unit cell without DC electron drift in the 2D electron channel causes |Eq| and |E−q| to be equal. The Fourier-harmonics of the electric field, which have the wave vectors qth of opposite signs, have equal amplitudes and hence the total output current is zero. Therefore, the strong asymmetrical position of the gate fingers can lead to different |Eq| and |Eq| to improve Rv of the THz detector. Rv also can be further improved by changing the drain-source bias (Vds) because the difference between |Eq| and |Eq| also depends on the local electron velocity v0, which is equal to −eτVds/m*. Meanwhile, the gate bias (Vgs) can increase the local electron density N0 to improve the Rv.
In addition to Rv, noise is another key performance indicator for the THz detector. The MOSFET channel material is resistive, so the major noise comes from the thermal noise. The theoretical estimation of the room temperature Johnson-Nyquist voltage noise floor is expressed as (4kBTRtotal)1/2, where kB is the Boltzmann constant, T is the temperature, and Rtotal is the measured resistance [29]. At the same temperature, the noise is only dependent on the resistance between the source and drain. The resistance of the channel is related to the gate width (W) and length (L). The higher value of W/L is the lower value which the channel resistance presents. As the same W, the short channel MOSFET shows better noise characteristics than long channel MOSFET. Compared with the HEMT technology, the CMOS process has smaller L. The detector employing parallel MOSFETs to realize the grating structure can achieve smaller L compared with grating-gate detector. Thus, the short-channel asymmetrical MOSFET array THz detector also exhibits lower noise.
In order to further verify the absorption performance of the grating structure, Figure 2 shows that the absorption rates of the grating structure are controlled by changing the length and width of the fingers. The absorption rates were simulated by the high frequency structure simulator (HFSS). It can be seen from Figure 2 that changing the length and width of the grating structure will affect its absorption capacity. The absorptivities of grating structures with five different sizes was simulated (size parameters are shown in the Figure 2). After comparing the simulation results, the optimized values for the length and width fingers were L = 2 µm and W = 25 µm, respectively. It can be obtained from the simulation results that the grating structure has a stronger absorption capacity at 2.58 THz.
The schematic diagram for the proposed detector is shown in Figure 1a, which was fabricated on top of Si wafer just using n-/p-well. The active regions of MOSFETs are formed on silicon by doping. The polysilicon gates with a thickness of 94 nm and active regions are separated by the gate oxygen layer. The active regions on both sides of the gates are connected with the upper metal (thickness of 220 nm) through vias with a thickness of 216 nm, forming the source and drain electrodes. Finally, multiple MOSFETs are connected in parallel to the top pad.
Figure 3a,b shows the die micrograph of the symmetrical and asymmetrical MOSFET arrays that are fabricated in 55-nm CMOS technology, where the finger length Lg of each MOSFET is 2 µm. This small size can effectively reduce the noise of the detector. Meanwhile, in order to improve the response current, six MOSFETs were used in the array. For the symmetrical detector, the slits L for the gate-source and gate-drain are 500 nm. The size of this detector is used for performance comparison with the asymmetrical detector. For the asymmetrical detector, the gate finger is placed in a position L1 = 300 nm from the source finger and L2 = 700 nm from the drain finger, which provides the necessary asymmetry to further improve Rv.

3. Results and Discussion

The measurement setup is shown in Figure 4. The THz radiation is generated by a quantum cascade laser (QCL) operating at 2.58 THz with a maximum power of 1.8 mW. The focused beam with a diameter of ~100 µm was collimated and focused by two parabolic optical mirrors. The THz source and the lock-in amplifier were simultaneously modulated by a signal generator for synchronization. The THz detectors were mounted on an x–y–z stage and positioned at the focus point of the THz beam. The received THz power was measured by a terahertz probe (Ophir 3A-P-THz, Jerusalem, Israel). The output voltage was measured through a lock-in amplifier, and the voltage is supplied by a power supply.
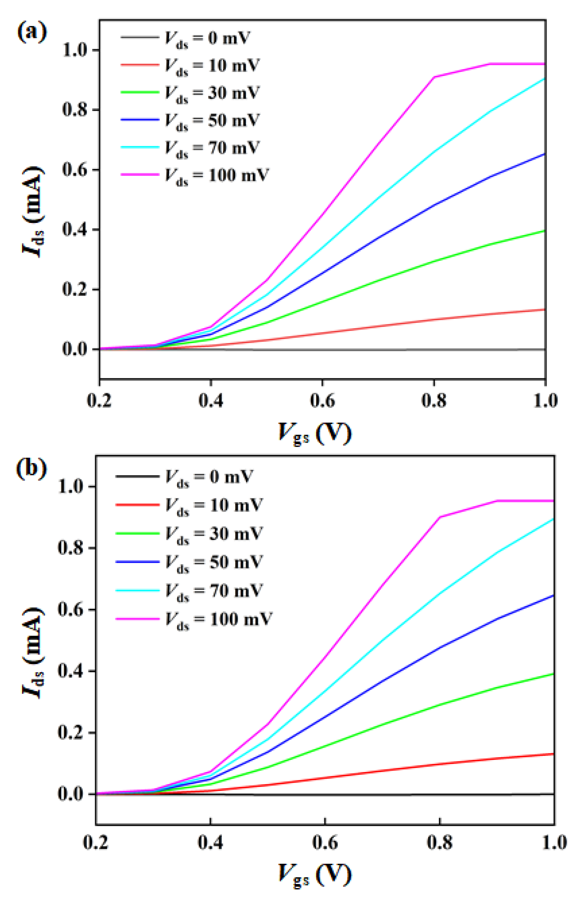
The electrical transfer curves of the symmetrical and asymmetrical detectors are shown in Figure 5. According to the results, it can be seen that the asymmetrical structure will not degrade the basic switch characteristics of standard MOSFET. This is mainly because both the gate electrode length/width and the distance between the source and drain electrodes have not been changed, the output characteristics of MOSFET show insignificant change and can be ignored. When the gate voltage (Vgs) of the asymmetrical MOSFET is greater than the threshold voltage, there is a maximum value of slope (transconductance, gm) at about Vgs = 0.45 V. Since the performance of the detectors is mainly affected by Vgs, a larger source drain voltage (Vds) cannot significantly improve the performance. In addition, excessive Vds will increase the power consumption of the detector. Therefore, a smaller Vds was adopted in the output characteristics (<100 mV), so that the MOSFET operated in a linear region. As shown in Figure 5, a linear relationship between the source drain current (Ids) and the Vds is obtained, indicating that the MOSFETs have good performance.
The output voltage (ΔU) for the asymmetry detector under the illumination of THz radiation with various actual power (Pactual) (13.38, 53.50, 101.66, 148.47, 189.94 and 224.71 µW) is shown in Figure 6a. The performance of the symmetrical detector is not shown in Figure 6a, due to its response being too low, and there is no response when the actual power is lower than 224.71 W. The ΔU for the symmetry detector is 1.53 µV with the Pactual = 224.71 W. Much less than the ΔU for the asymmetric detector (4.18 µV). With the increase in incident THz radiation power, ΔU of the THz detector changes linearly, which meets the requirements of a THz power detector. The dotted fitting line in the figure also implies excellent linearity between ΔU and the incident power.
Then, the voltage Rv was measured and calculated by the following formula [20]:
R v = Δ U × S r a d i a t i o n P t o t a l × S d e t e c t o r
where ΔU is the amplitude of the response voltage, Ptotal is the total power of the THz source, Sradiation is the radiation beam spot area and Sdetector is the area of the detector.
Here, the actual area of the detector is 1050 µm2, the area of the radiation beam spot is 7850 µm2, and the actual maximum received THz power on the detector is calculated as Preceive = 224.71 µW. Figure 6b illustrates the Vgs-dependence Rv at 2.58 THz for symmetrical and asymmetrical detectors under Vds = 0 V and Preceive = 224.71 µW. With the increase in Vgs, Rv of asymmetry and symmetry detectors increase firstly and then decrease, where the maximum values are obtained at Vgs = 0.25 V and Vgs = 0.45 V, respectively. This is consistent with the highest Rv when the transconductance is at a maximum. As the maximum transconductance, it indicates that the same gate voltage change will lead to the largest source drain current. As shown in Figure 1b, the grating structure acts to an antenna to couple THz radiation to the MOSFET gates, which is equivalent to adding Ua to the gates. Therefore, when the transconductance is maximum, the Rv is maximum. It is also found that Rv of the asymmetrical detector is obviously higher than that of the symmetrical detector (2.83 times). These characteristics are in good agreement with the detection theory described above.
Figure 7 shows the relationship between the output voltage of the asymmetry detector and the modulation frequency of the THz source. The responsivities at different modulation frequencies implies the bandwidth and response speed of the detector. The results show that when the modulation frequency is within 1 kHz, the output voltage of the asymmetry detector is stable. When the modulation frequency is greater than 1 kHz, the output voltage drops significantly. Meanwhile, the 3 dB bandwidth (output voltage drops by 50%) is about 3 kHz. This indicates that the detector shows stable output and good performance within 3 kHz bandwidth. As the modulation frequency increases to 10 kHz, the asymmetry detector still has a good signal-to-noise ratio. This shows that the detector is able to achieve a relative high response speed of 0.1 ms.
Further, the NEP is evaluated from the experimental data of Rv and the noise spectral density Sv, which is expressed as
N E P = S v R v
where Sv is the detected noise voltage of the detector measured by a dynamic signals analyzer (Stanford Research Systems SR780, Stanford, CA, USA). The noise spectral density of the asymmetry detector is shown in Figure 8a. The corner frequency of 1/f noise is about 2 kHz. Figure 8b shows the asymmetry detector Vgs-dependence of NEP at a modulation frequency of 1 kHz. When Vgs = 0.45 V, NEP has a minimum value of 2.55 nW/Hz0.5. However, due to the influence of 1/f noise, the noise is large at 1 kHz. While, at 10 kHz modulation frequency, although Rv is low, the minimum NEP is about 1.29 nW/Hz0.5, since the 1/f noise is avoided.

4. Conclusions

In this paper, a novel asymmetrical MOSFET array plasma detector have been demonstrated and shown to have a high Rv and an excellent NEP at 2.58 THz. The grating structure formed by fingers in MOSFET array can be considered as an effective THz antenna. This structure avoids the use of an antenna, thus solving the impedance matching problem between the antenna and the detector at high frequencies. Moreover, this structure also reduces the area of the detector. With the increase in frequency, the performance of plasma THz detectors gradually deteriorate. The asymmetrical position of the gate fingers can break the shielding by changing the electrical balance in the channel. This enables the improvement in Rv of the THz detector on the premise of zero power consumption. The experimental results show that at 2.58 THz, the maximum Rv and minimum NEP for the symmetrical MOSFET THz array detector are 6.78 mV/W and 7.88 nW/Hz0.5, respectively, while, for the asymmetrical detector, these two values are 18.9 mV/W and 2.55 nW/Hz0.5, where Rv is increased by 183.3% and NEP is decreased by 67.7%. When compared with the existing HEMT grating-gate detectors, the proposed MOSFET array detector employed a shorter channel and parallel structure. The short channel MOSFET could reduce the channel resistance, thereby reducing the thermal noise, and effectively optimizing the NEP of the detector. The use of parallel structure would increase the output voltage of the detector, which is believed to increase the application range of the detector. The detector was fabricated using standard Si-based CMOS technology, which makes it easier to integrate with other processing circuitry, including transimpedance amplifiers, voltage limiters, clock and data recovery circuits. In sum, the detector proposed in this paper exhibit good performance and low cost in design and fabrication, showing broad application prospects.

Author Contributions

Conceptualization, Y.L.; methodology, Y.L.; validation, Y.L. and X.Z.; formal analysis, Y.L.; investigation, Y.L. and L.T.; resources, T.D.; data curation, Y.L. and X.Z.; writing—original draft preparation, Y.L.; writing—review and editing, Y.L., J.S. and L.K.; visualization, Y.L.; supervision, J.S. and T.D.; project administration, J.S. and T.D.; funding acquisition, T.D. All authors have read and agreed to the published version of the manuscript.

Funding

This research was funded by the Fundamental Research Funds for the Central Universities (No. 2020JBM003), the National Natural Science Foundation of China (No. 61604009), and the National Natural Science Foundation of China (Grant No. 61901028).

Institutional Review Board Statement

Not applicable.

Informed Consent Statement

Not applicable.

Data Availability Statement

Not applicable.

Conflicts of Interest

The authors declare no conflict of interest.

References

  1. Ryu, M.W.; Kim, K.S.; Lee, J.S.; Park, K.; Yang, J.; Han, S.; Kim, K.R. Performance Enhancement of Plasmonic Sub-Terahertz Detector Based on Antenna Integrated Low-Impedance Silicon MOSFET. IEEE Electron Device Lett. 2015, 36, 220–222. [Google Scholar] [CrossRef]
  2. Dyakonov, M.; Shur, M. Detection, mixing, and frequency multiplication of terahertz radiation by two-dimensional electronic fluid. IEEE Trans. Electron Devices 1996, 43, 380–387. [Google Scholar] [CrossRef]
  3. Ryu, M.W.; Lee, J.S.; Kim, K.S.; Park, K.; Yang, J.; Han, S.; Kim, K.R. High-Performance Plasmonic THz Detector Based on Asymmetric FET With Vertically Integrated Antenna in CMOS Technology. IEEE Trans. Electron Devices 2016, 63, 1742–1748. [Google Scholar] [CrossRef]
  4. Yermolayev, D.M.; Marem’yanin, K.M.; Fateev, D.V.; Morozov, S.V.; Maleev, N.A.; Zemlyakov, V.E.; Gavrilenko, V.I.; Shapoval, S.Y.; Sizov, F.F.; Popov, V.V. Terahertz detection in a slit-grating-gate field-effect-transistor structure. Solid State Electron. 2013, 86, 64–67. [Google Scholar] [CrossRef]
  5. Watanabe, T.; Tombet, S.B.; Tanimoto, Y.; Wang, Y.; Minamide, H.; Ito, H.; Fateev, D.; Popov, V.; Coquillat, D.; Knap, W.; et al. Ultrahigh sensitive plasmonic terahertz detector based on an asymmetric dual-grating gate HEMT structure. Solid State Electron. 2012, 78, 109–114. [Google Scholar] [CrossRef]
  6. Bauer, M.; Rämer, A.; Chevtchenko, S.A.; Osipov, K.Y.; Cibiraite, D.; Pralgauskaite, S.; Ikamas, K.; Lisauskas, A.; Heinrich, W.; Krozer, V.; et al. A High-Sensitivity AlGaN/GaN HEMT Terahertz Detector With Integrated Broadband Bow-Tie Antenna. IEEE Trans. Terahertz. Sci. Technol. 2019, 9, 430–444. [Google Scholar] [CrossRef]
  7. Grzyb, J.; Andree, M.; Jain, R.; Heinemann, B.; Pfeiffer, U.R. A Lens-Coupled On-Chip Antenna for Dual-Polarization SiGe HBT THz Direct Detector. IEEE Antennas Wirel. Propag. Lett. 2019, 18, 2404–2408. [Google Scholar] [CrossRef]
  8. Hajo, A.S.; Preu, S.; Kochkurov, L.; Kusserow, T.; Yilmazoglu, O. Fully Integrated THz Schottky Detectors Using Metallic Nanowires as Bridge Contacts. IEEE Access 2021, 9, 144046–144053. [Google Scholar] [CrossRef]
  9. Ito1, H.; Shibata, N.; Nagatsuma, T.; Ishibashi, T. Terahertz-wave detector on silicon carbide platform. Appl. Phys. Express 2022, 15, 026501. [Google Scholar] [CrossRef]
  10. Jakhar, A.; Arya, D.S.; Ghosh, S.; Das, S. Zero-Biased and Broadband (0.1–1.5 THz) Terahertz Detector Using Dirac Semimetal-Platinum Telluride (PtTe2). IEEE Sens. Lett. 2022, 6, 3501604. [Google Scholar] [CrossRef]
  11. Li, J.; Ma, W.; Jiang, L.; Yao, N.; Deng, J.; Qiu, Q.; Shi, Y.; Zhou, W.; Huang, Z. High Performance of Room-Temperature NbSe2 Terahertz Photoelectric Detector. ACS Appl. Mater. Interfaces 2022, 14, 14331–14341. [Google Scholar] [CrossRef] [PubMed]
  12. Yang, D.; Zhang, C.; Li, X.; Lan, C. InSb-Enhanced Thermally Tunable Terahertz Silicon Metasurfaces. IEEE Access 2019, 7, 95087–95093. [Google Scholar] [CrossRef]
  13. Li, C.; Chiu, T. Single Flip-Chip Packaged Dielectric Resonator Antenna for CMOS Terahertz Antenna Array Gain Enhancement. IEEE Access 2019, 7, 7737–7746. [Google Scholar] [CrossRef]
  14. Chudpooti, N.; Duangrit, N.; Akkaraekthalin, P.; Robertson, I.D.; Somjit, N. Electronics-Based Free-Space Terahertz Measurement Using Hemispherical Lens Antennas. IEEE Access 2019, 7, 95536–95546. [Google Scholar] [CrossRef]
  15. Boppel, S.; Lisauskas, A.; Mundt, M.; Seliuta, D.; Minkevicius, L.; Kasalynas, I.; Valusis, G.; Mittendorff, M.; Winnerl, S.; Krozer, V.; et al. CMOS Integrated Antenna-Coupled Field-Effect Transistors for the Detection of Radiation From 0.2 to 4.3 THz. IEEE Trans. Microw. Theory Techn. 2012, 60, 3834–3843. [Google Scholar] [CrossRef]
  16. Wang, X. Uncooled CMOS Integrated Triple-Band Terahertz Thermal Detector Comprising of Metamaterial Absorber and PTAT Sensor. IEEE Access 2020, 8, 114501–114508. [Google Scholar] [CrossRef]
  17. Khatib, M.; Perenzoni, M. Response Optimization of Antenna-Coupled FET Detectors for 0.85-to-1-THz Imaging; Broadband Sensing Around 1 THz Via a Novel Biquad-Antenna-Coupled Low-NEP Detector in CMOS. IEEE Microw. Wirel. Compon. Lett. 2018, 28, 903–905. [Google Scholar] [CrossRef]
  18. Zhang, Y.; Zhang, S. Novel CMOS-based multi-band terahertz detector for passive imaging. Semicond. Sci. Technol. 2022, 37, 055014. [Google Scholar] [CrossRef]
  19. Fu, H.; Mu, Y.; Zhang, X. High spectral resolution terahertz detectors with a filter on-chip antenna. IEICE Electron. Express 2022, 19, 20220241. [Google Scholar] [CrossRef]
  20. Ikamas, K.; Cibiraite, D.; Lisauskas, A.; Bauer, M.; Krozer, V.; Roskos, H.G. Broadband Terahertz Power Detectors Based on 90-nm Silicon CMOS Transistors With Flat Responsivity Up to 2.2 THz. IEEE Electron Device Lett. 2018, 39, 1413–1416. [Google Scholar] [CrossRef]
  21. Xu, L.; Xie, Z.; Bai, X.; Li, Q.; Wang, B.; Yin, P. Design of THz Monolithic Source and Detector in 40-nm CMOS. J. Infrared Millim. Terahertz Waves 2021, 42, 1040–1060. [Google Scholar] [CrossRef]
  22. Shabanov, A.; Moskotin, M.; Belosevich, V.; Matyushkin, Y.; Rybin, M.; Fedorov, G.; Svintsov, D. Optimal asymmetry of transistor-based terahertz detectors. Appl. Phys. Lett. 2021, 119, 163505. [Google Scholar] [CrossRef]
  23. Wu, H.; Fu, H.; Meng, F.; Ma, K. Responsivity enhancement techniques for CMOS source-driven terahertz detectors. Microw. Opt. Technol. Lett. 2022, 64, 1036–1041. [Google Scholar] [CrossRef]
  24. Kaalynas, I.; Adam, A.J.L.; Klaassen, T.O.; Hovenier, J.N.; Pandraud, G.; Iordanov, V.P.; Sarro, P.M. Design and Performance of a Room-Temperature Terahertz Detection Array for Real-Time Imaging. IEEE J. Sel. Top. Quant. 2008, 14, 363–369. [Google Scholar] [CrossRef]
  25. Aizin, G.R.; Popov, V.V.; Polischuk, O.V. Plasmon enhanced electron drag and terahertz photoconductance in a grating-gated field-effect transistor with two-dimensional electron channel. Appl. Phys. Lett. 2006, 89, 143512. [Google Scholar] [CrossRef]
  26. Popov, V.V.; Ermolaev, D.M.; Maremyanin, K.V.; Maleev, N.A.; Zemlyakov, V.E.; Gavrilenko, V.I.; Shapoval, S.Y. High-responsivity terahertz detection by on-chip InGaAs/GaAs field-effect-transistor array. Appl. Phys. Lett. 2011, 95, 153504. [Google Scholar] [CrossRef]
  27. Popov, V.V.; Polischuk, O.V.; Shur, M.S. Resonant excitation of plasma oscillations in a partially gated two-dimensional electron layer. J. Appl. Phys. 2005, 98, 033510. [Google Scholar] [CrossRef]
  28. Regensburger, S.; Mittendorff, M.; Winnerl, S.; Lu, H.; Gossard, A.C.; Preu, S. Symmetry effects in broadband, room-temperature field effect transistor THz detectors. In Proceedings of the 2015 40th International Conference on Infrared, Millimeter, and Terahertz Waves (IRMMW-THz), Hong Kong, China, 23–28 August 2015; pp. 1–2. [Google Scholar] [CrossRef]
  29. Deng, T.; Zhang, Z.; Liu, Y.; Wang, Y.; Su, F.; Li, S.; Zhang, Y.; Li, H.; Chen, H.; Zhao, Z.; et al. Three-dimensional graphene field-effect transistors as high-performance photodetectors. Nano Lett. 2019, 19, 1494–1503. [Google Scholar] [CrossRef]
Figure 1. MOSFET array terahertz detector: (a) schematic diagram and (b) equivalent circuit model.
Figure 1. MOSFET array terahertz detector: (a) schematic diagram and (b) equivalent circuit model.
Materials 15 06578 g001
Figure 2. Simulated return loss of grating structure.
Figure 2. Simulated return loss of grating structure.
Materials 15 06578 g002
Figure 3. (a) Die micrograph and cross-section of the symmetrical detector; (b) die micrograph and cross-section of the asymmetrical detector.
Figure 3. (a) Die micrograph and cross-section of the symmetrical detector; (b) die micrograph and cross-section of the asymmetrical detector.
Materials 15 06578 g003
Figure 4. The THz measurement setup.
Figure 4. The THz measurement setup.
Materials 15 06578 g004
Figure 5. Output characteristic curves as a functions of the Vgs for various Vds: (a) symmetrical detector and (b) asymmetrical detector.
Figure 5. Output characteristic curves as a functions of the Vgs for various Vds: (a) symmetrical detector and (b) asymmetrical detector.
Materials 15 06578 g005
Figure 6. (a) The output voltage with different incident terahertz power under Vgs = 0.43 V and Vds = 0 V conditions; (b) the asymmetry/symmetry detectors Vgs-dependence responsivity at Vds = 0 V.
Figure 6. (a) The output voltage with different incident terahertz power under Vgs = 0.43 V and Vds = 0 V conditions; (b) the asymmetry/symmetry detectors Vgs-dependence responsivity at Vds = 0 V.
Materials 15 06578 g006
Figure 7. Output voltage of the asymmetry detector versus modulation frequency.
Figure 7. Output voltage of the asymmetry detector versus modulation frequency.
Materials 15 06578 g007
Figure 8. (a) Noise spectral density of the asymmetry detector at Vgs = 0.43 V and Vds = 0 V; (b) the asymmetry detector Vgs-dependence NEP at a modulation frequency of 1 kHz.
Figure 8. (a) Noise spectral density of the asymmetry detector at Vgs = 0.43 V and Vds = 0 V; (b) the asymmetry detector Vgs-dependence NEP at a modulation frequency of 1 kHz.
Materials 15 06578 g008
Publisher’s Note: MDPI stays neutral with regard to jurisdictional claims in published maps and institutional affiliations.

Share and Cite

MDPI and ACS Style

Liu, Y.; Zhang, X.; Sun, J.; Tong, L.; Kong, L.; Deng, T. A Novel Terahertz Detector Based on Asymmetrical FET Array in 55-nm Standard CMOS Process. Materials 2022, 15, 6578. https://doi.org/10.3390/ma15196578

AMA Style

Liu Y, Zhang X, Sun J, Tong L, Kong L, Deng T. A Novel Terahertz Detector Based on Asymmetrical FET Array in 55-nm Standard CMOS Process. Materials. 2022; 15(19):6578. https://doi.org/10.3390/ma15196578

Chicago/Turabian Style

Liu, Yaxuan, Xin Zhang, Jingye Sun, Ling Tong, Lingbing Kong, and Tao Deng. 2022. "A Novel Terahertz Detector Based on Asymmetrical FET Array in 55-nm Standard CMOS Process" Materials 15, no. 19: 6578. https://doi.org/10.3390/ma15196578

APA Style

Liu, Y., Zhang, X., Sun, J., Tong, L., Kong, L., & Deng, T. (2022). A Novel Terahertz Detector Based on Asymmetrical FET Array in 55-nm Standard CMOS Process. Materials, 15(19), 6578. https://doi.org/10.3390/ma15196578

Note that from the first issue of 2016, this journal uses article numbers instead of page numbers. See further details here.

Article Metrics

Back to TopTop