Numerical Investigation of Prefabricated Utility Tunnels Composed of Composite Slabs with Spiral Stirrup-Constrained Connection Based on Damage Mechanics
Abstract
1. Introduction
2. Overview of the Experiment
3. Finite Element Modeling and Verification
3.1. Finite Element Modeling
3.2. Model Validation
4. Parametric Analysis
4.1. Seam Location
4.2. Haunch Height and Reinforcement
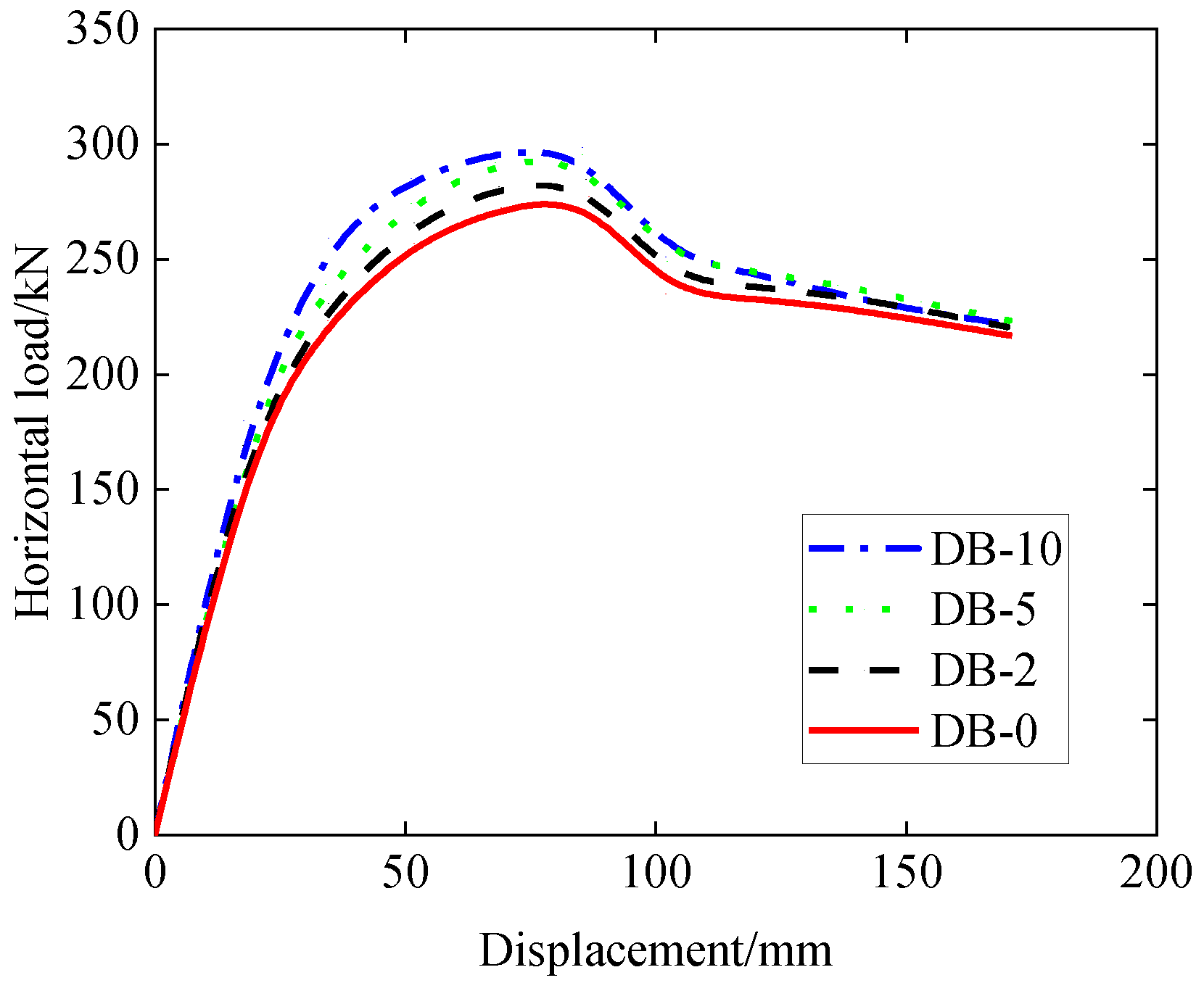
4.3. Embedment Depth
5. Seismic Performance Evaluation Considering Soil–Structure Interaction
- Input the initial value Dini (can be assumed to be a small trial value for the first attempt) of the racking deformation of the utility tunnel.
- Calculate the structural stiffness kst using the simplified elastic rigid-plastic model.
- Calculate the soil stiffness ks based on Equation (14).
- Calculate the interaction coefficient R by using one of Equations (11)–(13).
- Calculate the racking deformation Δs of the structure under earthquake action using Equation (8).
- If the difference between Δs in Step 5 and Dini in Step 2 is relatively large, meeting|D−Δs|/D ≥ 0.001, increase the initial displacement Dini and repeat steps 3 to 6 iteratively until the updated values of Δs and Dini meet |D−Δs|/D < 0.001.
- The racking deformation Δs can then be obtained from the final value of Δs in Step 6.
- The results of the seismic performance in terms of deformation coefficient indicate that Penzien’s and Wang’s methods (with a traditional value of 0.3 for Poisson’s ratio) are almost identical, giving a larger value of μs than that using Nishioka’s method for each sample. This is mainly because Nishioka’s method does not consider the influence of the changes in Poisson’s ratio, which is equivalent to the case where a fixed value of Poisson’s ratio of 0.5 is used in Penzien’s and Wang’s methods. It can be easily verified that from Equations (11) and (12), the interaction coefficient R decreases with the increase in Poisson’s ratio. Table 7 shows the interaction coefficient R using Wang’s, Penzien’s and Nishioka’s methods, which confirms the above discussion in relation to the effects of change in Poisson’s ratio, since μs is in positive proportion to R.
- The smallest deformation coefficient occurs for the haunch-free specimen HD-0-0 for each of the three methods (Penzien’s, Wang’s, and Nishioka’s), respectively. This is mainly due to the large yield displacement (63.96 mm) of this specimen, which is significantly larger than that of the other specimens ranging from 40.75 mm to 42.12 mm, as shown in Table 3, Table 4 and Table 5. It should be mentioned that specimen HD-0-0′s interaction coefficient R is the largest for each of the methods, respectively, due to the small structural stiffness. However, the variation of R across the whole specimen list is not much, as can be seen in Table 7. Therefore, the dominant factor affecting the deformation coefficient is the yield displacement for the cases under consideration.
- If the ductility obtained from the load–displacement curve without considering soil–structure interactions is treated as a limit of the deformation coefficient and applied to the seismic conditions (where soil–structure interactions are normally considered), we can compare the value of deformation coefficient under different scenarios. It can be seen from Figure 16 that the deformation coefficient of each specimen based on Nishioka’s method falls below that corresponding to the structural ductility histogram, while the deformation coefficient for each specimen using Penzien’s and Wang’s methods, lies above that corresponding to the structural ductility histogram, except the very special specimen HD-0-0. In terms of the limit value of the deformation coefficient (ductility), the comparison of the results for the specimen HD-0-0 indicates that a smaller loading capacity and lower ductility without considering soil–structure interactions may correspond to a lower value of deformation coefficient under seismic conditions with soil–structure interactions, and may therefore exhibit a better seismic performance in terms of ductility demand.
- It should also be mentioned that different methods for calculating R may lead to different conclusions in terms of an evaluation of the seismic performance, and further investigations should be made as regards which method provides realistic results.
6. Conclusions
- All the samples with varying seam locations share the same initial slope of the load–displacement curve before the yield load is reached. As with the increase in seam distance above haunch, a slight increase in both the yield and peak loads is observed, while the ductility does not vary much.
- The haunch-free sample has an obviously lower initial stiffness and lower yield and peak loads, and lower ductility in comparison with those for the samples with haunches. The increase in the reinforcement size can enhance both the yield and peak loads, but decrease the ductility.
- The increase in the embedment depth can enhance both the yield and peak loads while decreasing the ductility.
- The seismic performance in terms of deformation coefficient considering soil–structure interactions indicates that Penzien’s and Wang’s methods are almost identical, giving a larger deformation coefficient than that using Nishioka’s method.
- The smallest deformation coefficient occurs for the haunch-free specimen for each of the three methods (Penzien’s, Wang’s, and Nishioka’s), respectively. The dominant factor affecting the deformation coefficient is the yield displacement.
Author Contributions
Funding
Institutional Review Board Statement
Informed Consent Statement
Data Availability Statement
Acknowledgments
Conflicts of Interest
References
- Luo, Y.; Alaghbandrad, A.; Genger, T.; Hammad, A. History and recent development of multi-purpose utility tunnels. Tunn. Undergr. Space Technol. 2020, 103, 103511. [Google Scholar] [CrossRef]
- Canto-Perello, J.; Curiel-Esparza, J.; Calvo, V. Criticality and threat analysis on utility tunnels for planning security policies of utilities in urban underground space. Expert Syst. Appl. 2013, 40, 4707–4714. [Google Scholar] [CrossRef]
- Phillips, J. A quantitative evaluation of the sustainability or unsustainability of three tunnelling projects. Tunn. Undergr. Space Technol. 2016, 51, 387–404. [Google Scholar] [CrossRef]
- Wang, T.; Tan, L.; Xie, S.; Ma, B. Development and applications of common utility tunnels in China. Tunn. Undergr. Space Technol. 2018, 76, 92–106. [Google Scholar] [CrossRef]
- Yang, C.; Peng, F.-L. Discussion on the Development of Underground Utility Tunnels in China. Procedia Eng. 2016, 165, 540–548. [Google Scholar] [CrossRef]
- Sun, D.; Liu, C.; Wang, Y.; Xia, Q.; Liu, F. Static performance of a new type of corrugated steel-concrete composite shell under mid-span loading. Structures 2022, 37, 109–124. [Google Scholar] [CrossRef]
- Hao, J.L.; Chen, Z.; Zhang, Z.; Loehlein, G. Quantifying construction waste reduction through the application of prefabrication: A case study in Anhui, China. Environ. Sci. Pollut. Res. Int. 2021, 28, 24499–24510. [Google Scholar] [CrossRef]
- He, H.; Zheng, L.; Zhou, G. Linking users as private partners of utility tunnel public–private partnership projects. Tunn. Undergr. Space Technol. 2022, 119, 104249. [Google Scholar] [CrossRef]
- Wang, Q.; Gong, G.; Hao, J.L. Double-Cell Prefabricated Utility Tunnel Composed of Groove-Shaped Elements: An Extended Study of Stiffness Reduction Method. Appl. Sci. 2022, 12, 5982. [Google Scholar] [CrossRef]
- Wei, Q.; Wang, Y.; Wang, Y.; Pi, Z.; Liao, X.; Wang, S.; Zhang, H. Experiment study on seismic performance of joints in prefabricated sandwich structures of utility tunnels. J. Build. Struct. 2019, 40, 246–254. (In Chinese) [Google Scholar]
- Yang, Y.; Tian, X.; Liu, Q.; Zhi, J.; Wang, B. Anti-seismic behavior of composite precast utility tunnels based on pseudo-static tests. Earthq. Struct. 2019, 17, 233–244. [Google Scholar]
- Wang, Q. Experimental study of the structural performance of the top joints of precast concrete utility tunnel composed of composite slabs. In Proceedings of the fib Symposium (Concrete Structures: New Trends for Eco-Efficiency and Performance), Lisbon, Portugal, 14–16 June 2021. [Google Scholar]
- Adajar, J.C.; Imai, H. Behavior of spirally confined lap splice for precast concrete structural walls under tension. J. Struct. Constr. Eng. 1997, 62, 157–165. [Google Scholar] [CrossRef][Green Version]
- Jiang, H.; Zhang, H.; Liu, W.; Yan, H. Experimental study on plug-in filling hole for steel bar lapping of precast concrete structure. J. Harbin Inst. Technol. 2011, 43, 18–23. (In Chinese) [Google Scholar]
- DB23/T1813-2016; Technical Specification for Concrete Shear Wall Structure Assembled with Precast Components. China Building Materials Press: Beijing, China, 2016. (In Chinese)
- Tian, Z. Experimental Research on Force Performance of Precast Concrete Underground Comprehensive Municipal Tunnel; Harbin Institute of Technology Harbin: Harbin, China, 2016. (In Chinese) [Google Scholar]
- ACI. 318–19; Building Code Requirements for Structural Concrete and Commentary. American Concrete Institute: Farmington Hills, MI, USA, 2019. [Google Scholar]
- PCI Design Handbook. Precast and Prestressed Concrete, 8th ed.; Precast/Prestressed Concrete Institute: Chicago, IL, USA, 2017. [Google Scholar]
- EN-1992-1-1; Eurocode 2, Design of Concrete Structures–Part 1-1: General Rules and Rules for Buildings. CEN European Committee for Standardization: Brussels, Belgium, 2004.
- NZS3101; The design of concrete structures. Standards Association of New Zealand: Wellington, New Zealand, 2006.
- Japan Road Association. Design guidelines of Common Tunnel; Tokyo Press: Tokyo, Japan, 1991. [Google Scholar]
- GB50838-2015; Technical Code for Urban Utility Tunnel Engineering. China Planning Press: Beijing, China, 2015. (In Chinese)
- GB/T 50081-2019; Standard for Test Methods of Concrete Physical and Mechanical Properties. China Building Industry Press: Beijing, China, 2019. (In Chinese)
- GB/T 228.1-2010; Metallic Materials-Tensile Testing Part 1: Method of Test at Room Temperature. China Standards Press: Beijing, China, 2010. (In Chinese)
- JGJ/T101-2015; Specification for Seismic Test of Buildings. China Building Industry Press: Beijing, China, 2015. (In Chinese)
- Yan, H.; Xue, W.; Hu, X.; Liu, W. Seismic performance, key technologies of construction and prefabrication of precast concrete utility tunnel consisting of composite slabs-taking the YUHUI precast concrete utility tunnel as an example. Spec. Struct. 2021, 38, 85–90. (In Chinese) [Google Scholar]
- Hashash, Y.M.; Hook, J.J.; Schmidt, B.; John, I.; Yao, C. Seismic design and analysis of underground structures. Tunn. Undergr. Space Technol. 2001, 16, 247–293. [Google Scholar] [CrossRef]
- Takeda, T.; Ishikawa, H.; Adachi, M.; Honda, K.; Yamaya, A.; Iizuka, K. Study of performance evaluation around a strong earthquake of important reinforced concrete structure at a nuclear power plant. In Proceedings of the 7th International Conference on Nuclear Engineering, Tokyo, Japan, 19–23 April 1999. [Google Scholar]
- Zaghloul, M.M.Y.; Zaghloul, M.Y.M.; Zaghloul, M.M.Y. Experimental and modeling analysis of mechanical-electrical behaviors of polypropylene composites filled with graphite and MWCNT fillers. Polym. Test. 2017, 63, 467–474. [Google Scholar] [CrossRef]
- Fuseini, M.; Zaghloul, M.M.Y. Investigation of Electrophoretic Deposition of PANI Nano fibers as a Manufacturing Technology for corrosion protection. Prog. Org. Coat. 2022, 171, 107015. [Google Scholar] [CrossRef]
- Abbasand, I.A.; Abo-Dahab, S.M. On the numerical solution of thermal shock problem for generalized magneto-thermoelasticity for an infinitely long annular cylinder with variable thermal conductivity. J. Comput. Theor. Nanosci. 2014, 11, 607–618. [Google Scholar] [CrossRef]
- Mohamed, R.A.; Abbas, I.A.; Abo-Dahab, S.M. Finite element analysis of hydromagnetic flow and heat transfer of a heat generation fluid over a surface embedded in a non-Darcian porous medium in the presence of chemical reaction. Commun. Nonlinear Sci. Numer. Simul. 2009, 14, 1385–1395. [Google Scholar] [CrossRef]
- ABAQUS. ABAQUS User Subroutines Reference Manual; ABAQUS: Pawtucket, RI, USA, 2014. [Google Scholar]
- Liu, Y.; Zha, X.; Gong, G. Study on recycled-concrete-filled steel tube and recycled concrete based on damage mechanics. J. Constr. Steel Res. 2012, 71, 143–148. [Google Scholar] [CrossRef]
- GB50010-2010; Code for Design of Concrete Structures. China Architecture & Building Press: Beijing, China, 2015. (In Chinese)
- Park, R. Evaluation of ductility of structures and structural assemblages from laboratory testing. Bull. New Zealand Soc. Earthq. Eng. 1989, 22, 155–166. [Google Scholar] [CrossRef]
- Debiasi, E.; Gajo, A.; Zonta, D. On the seismic response of shallow-buried rectangular structures. Tunn. Undergr. Space Technol. 2013, 38, 99–113. [Google Scholar] [CrossRef]
- Tsinidis, G. Response characteristics of rectangular tunnels in soft soil subjected to transversal ground shaking. Tunn. Undergr. Space Technol. 2017, 62, 1–22. [Google Scholar] [CrossRef]
- Tsinidis, G.; Pitilakis, K. Improved RF relations for the transversal seismic analysis of rectangular tunnels. Soil Dyn. Earthq. Eng. 2018, 107, 48–65. [Google Scholar] [CrossRef]
- GB50909-2014; Code for Seismic Design of Urban Rail Transit Structures. China Planning Press: Beijing, China, 2014. (In Chinese)
- Wang, J.N. Seismic Design of Tunnels: A Simple State-Of-Art Design Approach; Parsons Brinckerhoff Quade & Douglas Inc.: New York, NY, USA, 1993. [Google Scholar]
- Penzien, J. Seismically induced racking of tunnel linings. Earthq. Eng. Struct. Dyn. 2000, 29, 683–691. [Google Scholar] [CrossRef]
- Nishioka, T.; Unjoh, S. A simplified evaluation method for the seismic performance of underground common utility boxes. In Proceedings of the Pacific Conference on Earthquake Engineering, Christchurch, New Zealand, 13–15 February 2003. [Google Scholar]
















| x | 0.4 | 0.6 | 0.8 | 1.0 | 1.2 | 1.4 | 1.6 | 1.8 | 2.0 | 2.2 | 2.4 | 2.6 | 2.8 | 3.0 | 5.0 | 8.0 | 10.0 |
| /με | 0 | 232 | 469 | 766 | 1115 | 1499 | 1892 | 2280 | 2661 | 3032 | 3395 | 3752 | 4103 | 4449 | 7778 | 12,622 | 15,826 |
| σc/MPa | 18.16 | 23.47 | 26.10 | 26.80 | 25.79 | 23.64 | 21.22 | 18.93 | 16.91 | 15.18 | 13.71 | 12.45 | 11.39 | 10.47 | 5.65 | 3.28 | 2.56 |
| dc | 0 | 0.130 | 0.206 | 0.280 | 0.355 | 0.428 | 0.494 | 0.549 | 0.596 | 0.635 | 0.668 | 0.696 | 0.720 | 0.740 | 0.852 | 0.911 | 0.930 |
| /με | — | — | — | 0 | 58 | 88 | 116 | 143 | 169 | 194 | 218 | 241 | 264 | 287 | 505 | 822 | 1032 |
| σt/ MPa | — | — | — | 2.39 | 2.18 | 1.88 | 1.63 | 1.42 | 1.26 | 1.14 | 1.03 | 0.95 | 0.88 | 0.82 | 0.50 | 0.34 | 0.28 |
| dt | — | — | — | 0 | 0.267 | 0.369 | 0.451 | 0.516 | 0.568 | 0.609 | 0.643 | 0.672 | 0.696 | 0.716 | 0.828 | 0.888 | 0.909 |
| Items | Experimental Value | FEM Value | (FEM Value Experimental Value)/Experimental Value |
|---|---|---|---|
| Positive peak load/kN | 281.84 | 277.22 | −1.64% |
| Negative peak load/kN | 263.56 | 277.22 | 5.18% |
| Ductility | 2.92 | 2.88 | −1.37% |
| Specimen | Seam Location | Py/kN | Pmax/kN | Δy/mm | Δu/mm | μ | Remark |
|---|---|---|---|---|---|---|---|
| SL-0 | 0 mm above haunch | 237.35 | 277.22 | 41.62 | 119.90 | 2.88 | Test conditions |
| SL-150 | 150 mm above haunch | 245.25 | 284.46 | 41.49 | 105.04 | 2.53 | |
| SL-300 | 300 mm above haunch | 247.65 | 289.44 | 41.27 | 105.96 | 2.57 | |
| SL-450 | 450 mm above haunch | 249.03 | 289.92 | 42.10 | 106.29 | 2.52 |
| Specimen | Haunch Height/mm | Haunch Reinforcement | Py/kN | Pmax/kN | Δy/mm | Δu/mm | μ | Remark |
|---|---|---|---|---|---|---|---|---|
| HD-0-0 | 0 | None | 161.77 | 195.26 | 63.96 | 153.26 | 2.40 | |
| HD-150-14 | 150 | D14@200 | 233.72 | 272.10 | 41.38 | 102.98 | 2.49 | |
| HD-200-12 | 200 | D12@200 | 232.36 | 271.33 | 40.75 | 120.57 | 2.96 | |
| HD-200-14 | 200 | D14@200 | 237.35 | 277.22 | 41.62 | 119.90 | 2.88 | Test conditions |
| HD-200-16 | 200 | D16@200 | 241.74 | 281.28 | 42.03 | 115.74 | 2.75 |
| Specimen | Embedment Depth/m | Py/kN | Pmax/kN | Δy/mm | Δu/mm | μ | Remark |
|---|---|---|---|---|---|---|---|
| DB-0 | 0 | 237.35 | 277.22 | 41.62 | 119.90 | 2.88 | Test conditions |
| DB-2 | 2 | 243.44 | 284.93 | 40.76 | 113.45 | 2.78 | |
| DB-5 | 5 | 254.39 | 295.49 | 41.53 | 106.84 | 2.57 | |
| DB-10 | 10 | 263.78 | 298.56 | 42.12 | 103.08 | 2.45 |
| Parameters | Umax/mm | ν | G/MPa | L/mm | B/mm | Embedment Depth/mm | H/m |
|---|---|---|---|---|---|---|---|
| Value | 490 | 0.3 | 100 | 3300 | 3800 | 3000 | 15 |
| Specimen ID | SL- 0 | SL- 150 | SL- 300 | SL- 450 | HD- 0-0 | HD- 150-14 | HD- 200-12 | HD- 200-14 | HD- 200-16 | DB- 0 | DB- 2 | DB- 5 | DB- 10 |
|---|---|---|---|---|---|---|---|---|---|---|---|---|---|
| Wang’s | 2.68 | 2.68 | 2.68 | 2.68 | 2.72 | 2.68 | 2.69 | 2.68 | 2.68 | 2.68 | 2.68 | 2.67 | 2.67 |
| Penzien’s | 2.67 | 2.66 | 2.66 | 2.66 | 2.71 | 2.67 | 2.67 | 2.67 | 2.67 | 2.67 | 2.67 | 2.66 | 2.65 |
| Nishioka’s | 1.93 | 1.92 | 1.92 | 1.92 | 1.95 | 1.93 | 1.93 | 1.93 | 1.93 | 1.93 | 1.92 | 1.92 | 1.92 |
Publisher’s Note: MDPI stays neutral with regard to jurisdictional claims in published maps and institutional affiliations. |
© 2022 by the authors. Licensee MDPI, Basel, Switzerland. This article is an open access article distributed under the terms and conditions of the Creative Commons Attribution (CC BY) license (https://creativecommons.org/licenses/by/4.0/).
Share and Cite
Wang, Q.; Gong, G.; Hao, J.; Bao, Y. Numerical Investigation of Prefabricated Utility Tunnels Composed of Composite Slabs with Spiral Stirrup-Constrained Connection Based on Damage Mechanics. Materials 2022, 15, 6320. https://doi.org/10.3390/ma15186320
Wang Q, Gong G, Hao J, Bao Y. Numerical Investigation of Prefabricated Utility Tunnels Composed of Composite Slabs with Spiral Stirrup-Constrained Connection Based on Damage Mechanics. Materials. 2022; 15(18):6320. https://doi.org/10.3390/ma15186320
Chicago/Turabian StyleWang, Qinghua, Guobin Gong, Jianli Hao, and Yuanfeng Bao. 2022. "Numerical Investigation of Prefabricated Utility Tunnels Composed of Composite Slabs with Spiral Stirrup-Constrained Connection Based on Damage Mechanics" Materials 15, no. 18: 6320. https://doi.org/10.3390/ma15186320
APA StyleWang, Q., Gong, G., Hao, J., & Bao, Y. (2022). Numerical Investigation of Prefabricated Utility Tunnels Composed of Composite Slabs with Spiral Stirrup-Constrained Connection Based on Damage Mechanics. Materials, 15(18), 6320. https://doi.org/10.3390/ma15186320

