Surface Modification-Dominated Space-Charge Behaviors of LDPE Films: A Role of Charge Injection Barriers
Abstract
:1. Introduction
2. Materials and Methods
3. Results and Discussion
3.1. Characterisation of Surface Oxidation
3.2. Characterisation of Charge Traps
3.3. Characterisation of Charge Injection Barrier
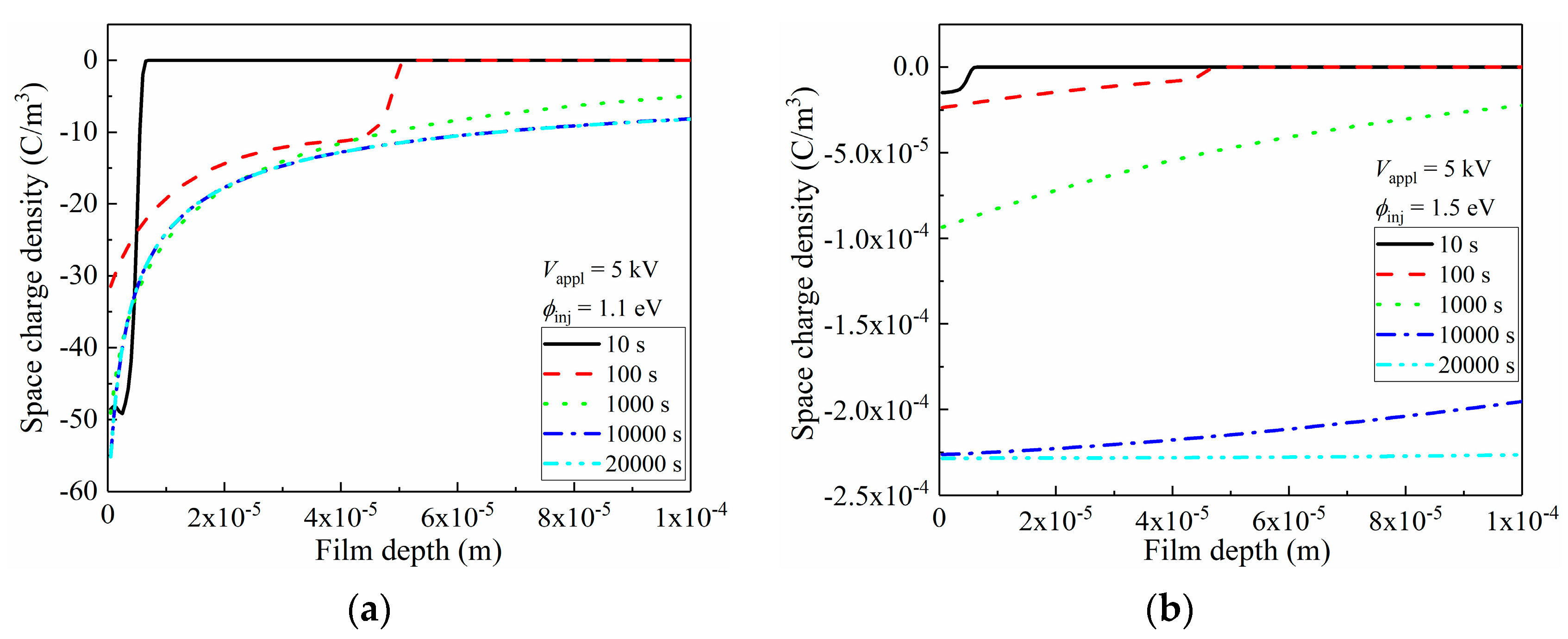
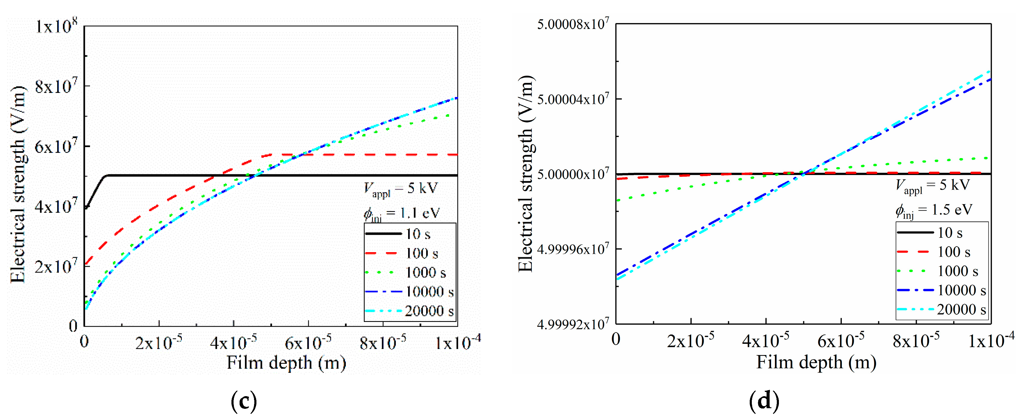
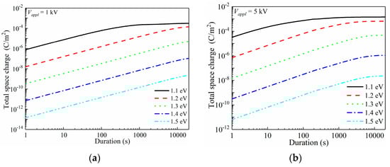
3.4. Space-Charge Distributions and Electric Field Distortion
4. Conclusions
Author Contributions
Funding
Institutional Review Board Statement
Informed Consent Statement
Data Availability Statement
Conflicts of Interest
References
- Kim, J.; Grzybowski, B.A. Controlling Reversible Dielectric Breakdown in Metal/Polymer Nanocomposites. Adv. Mater. 2012, 24, 1850–1855. [Google Scholar] [CrossRef] [PubMed]
- Montanari, G.C.; Laurent, C.; Teyssedre, G.; Campus, A.; Nilsson, U.H. From LDPE to XLPE: Investigating the Change of Electrical Properties. Part I: Space Charge, Conduction and Lifetime. IEEE Trans. Dielectr. Electr. Insul. 2005, 12, 438–446. [Google Scholar] [CrossRef]
- Pei, J.; Zha, J.; Zhou, W.; Wang, S.; Zhong, S.; Yin, L.; Zheng, M.; Cai, H.; Dang, Z. Enhancement of Breakdown Strength of Multilayer Polymer Film through Electric Field Redistribution and Defect Modification. Appl. Phys. Lett. 2019, 114, 103702. [Google Scholar] [CrossRef]
- Qu, G.; Cui, H.; Zhu, Y.; Yang, L.; Li, S. Substantial Improvement of the Dielectric Strength of Cellulose-Liquid Composites: Effects of Traps at the Nanoscale Interface. J. Phys. Chem. Lett. 2020, 11, 1881–1889. [Google Scholar] [CrossRef] [PubMed]
- Pourrahimi, A.M.; Pallon, L.K.; Liu, D.; Hoang, T.A.; Gubanski, S.; Hedenqvist, M.S.; Olsson, R.T.; Gedde, U.W. Polyethylene Nanocomposites for the Next Generation of Ultra-Low Transmission-Loss Hvdc Cables: Insulations Containing Moisture-Resistant MgO Nanoparticles. ACS Appl. Mater. Inter. 2016, 8, 14824. [Google Scholar] [CrossRef]
- Zhu, Y.; Fan, Y.; Li, S.; Wei, P.; Li, D.; Liu, B.; Cui, D.; Zhang, Z.; Li, G.; Nie, Y.; et al. Soluble Poly(4-Fluorostyrene): A High-Performance Dielectric Electret for Organic Transistors and Memories. Mater. Horiz. 2020, 7, 1861–1871. [Google Scholar] [CrossRef]
- Wang, S.; Zhang, C.; Fu, H.; Xiang, J.; Li, J.; Li, S.; Ouyang, B.; Liu, J. Effect of Air Gap On Electrical Tree in Epoxy Resin Under High Frequency Bipolar Square-Wave Voltage. Materials 2020, 13, 5722. [Google Scholar] [CrossRef]
- Zhang, P.; Zhang, Y.; Wang, X.; Yang, J.; Han, W. Effect of Acetylated SEBS/PP for Potential HVDC Cable Insulation. Materials 2021, 14, 1596. [Google Scholar] [CrossRef]
- Huang, D.; Shu, Y.; Ruan, J.; Hu, Y. Ultra High Voltage Transmission in China: Developments, Current Status and Future Prospects. Proc. IEEE 2009, 97, 555–583. [Google Scholar] [CrossRef]
- Xie, A.; Zheng, X.; Li, S.; Chen, G. The Conduction Characteristics of Electrical Trees in XLPE Cable Insulation. J. Appl. Polym. Sci. 2010, 114, 3325–3330. [Google Scholar] [CrossRef] [Green Version]
- Zha, J.W.; Yan, H.D.; Li, W.K.; Dang, Z.M. Morphology and Crystalline-Phase-Dependent Electrical Insulating Properties in Tailored Polypropylene for HVDC Cables. Appl. Phys. Lett. 2016, 109, 222902. [Google Scholar] [CrossRef]
- Qian, S.; Chen, H.; Xu, Y.; Su, L. High Sensitivity Detection of Partial Discharge Acoustic Emission within Power Transformer by Sagnac Fiber Optic Sensor. IEEE Trans. Dielectr. Electr. Insul. 2018, 25, 2313–2320. [Google Scholar] [CrossRef]
- Zhang, X.; Shi, M.; Cai, J.; Li, J. A Novel Partial Discharge Detection Method for Power Transformers on Site Adopting its Component as Ultra-High Frequency Sensor. IEEE Trans. Power Deliv. 2019, 34, 2269–2271. [Google Scholar] [CrossRef]
- Chen, G.; Zhao, J.; Li, S.; Zhong, L. Origin of Thickness Dependent DC Electrical Breakdown in Dielectrics. Appl. Phys. Lett. 2012, 100, 2135. [Google Scholar] [CrossRef]
- Li, S.; Zhu, Y.; Min, D.; Chen, G. Space Charge Modulated Electrical Breakdown. Sci. Rep. 2016, 6, 32588. [Google Scholar] [CrossRef]
- Zheng, F.; Dong, J.; Zhang, Y.; An, Z.; Lei, Q. Reduction of Space Charge Breakdown in E-Beam Irradiated Nano/Polymethyl Methacrylate Composites. Appl. Phys. Lett. 2013, 102, 012901. [Google Scholar] [CrossRef]
- Zhu, Y.; Li, S.; Min, D.; Li, S.; Cui, H.; Chen, G. Space Charge Modulated Electrical Breakdown of Oil Impregnated Paper Subjected to AC-DC Combined Voltages. Energies 2018, 11, 1547. [Google Scholar] [CrossRef]
- Hao, J.; Li, Y.; Liao, R.; Liu, G.; Liao, Q.; Tang, C. Fabrication of Al2O3 Nano-Structure Functional Film On a Cellulose Insulation Polymer Surface and its Space Charge Suppression Effect. Polymers 2017, 9, 502. [Google Scholar] [CrossRef]
- Hao, M.; Zhou, Y.; Chen, G.; Wilson, G.; Jarman, P. Space Charge Behavior in Thick Oil-Impregnated Pressboard Under HVDC Stresses. IEEE Trans. Dielectr. Electr. Insul. 2015, 22, 72–80. [Google Scholar] [CrossRef]
- Zhu, Y.; Cui, H.; Qu, G.; Wu, K.; Lu, G.; Li, S. Origin of Superb Electrical Insulating Capability of Cellulose-Liquid Biphasic Dielectrics by Interfacial Charge Behaviors. Appl. Phys. Lett. 2020, 117, 042906. [Google Scholar] [CrossRef]
- Min, D.; Li, Y.; Yan, C.; Xie, D.; Li, S.; Wu, Q.; Xing, Z. Thickness-Dependent DC Electrical Breakdown of Polyimide Modulated by Charge Transport and Molecular Displacement. Polymers 2018, 10, 1012. [Google Scholar] [CrossRef] [PubMed]
- Kato, K.; Kato, H.; Ishida, T.; Okubo, H.; Tsuchiya, K. Influence of Surface Charges On Impulse Flashover Characteristics of Alumina Dielectrics in Vacuum. IEEE Trans. Dielectr. Electr. Insul. 2009, 16, 1710–1716. [Google Scholar] [CrossRef]
- Hosono, T.; Kato, K. Surface Charges on Alumina in Vacuum with Varying Surface Roughness and Electric Field Distribution. IEEE Trans. Dielectr. Electr. Insul. 2007, 14, 627–633. [Google Scholar] [CrossRef]
- Shao, T.; Yang, W.; Zhang, C.; Niu, Z.; Yan, P.; Schamiloglu, E. Enhanced Surface Flashover Strength in Vacuum of Polymethylmethacrylate by Surface Modification Using Atmospheric-Pressure Dielectric Barrier Discharge. Appl. Phys. Lett. 2014, 105, 071607. [Google Scholar]
- Huang, Y.; Min, D.; Li, S.; Li, Z.; Xie, D.; Wang, X.; Lin, S. Surface Flashover Performance of Epoxy Resin Microcomposites Improved by Electron Beam Irradiation. Appl. Surf. Sci. 2017, 406, 39–45. [Google Scholar] [CrossRef]
- Li, S.; Nie, Y.; Wang, W.; Yang, L.; Min, D. Surface Flashover Performance of Phenolphthalein Modified Ldpe in Vacuum. IEEE Trans. Dielectr. Electr. Insul. 2016, 23, 3215–3223. [Google Scholar] [CrossRef]
- Li, C.R.; Ding, L.J.; Lv, J.Z.; Tu, Y.P.; Cheng, Y.C. The Relation of Trap Distribution of Alumina with Surface Flashover Performance in Vacuum. IEEE Trans. Dielectr. Electr. Insul. 2006, 13, 79–84. [Google Scholar]
- Liu, Y.; An, Z.; Yin, Q.; Zheng, F.; Lei, Q.; Zhang, Y. Characteristics and Electrical Properties of Epoxy Resin Surface Layers Fluorinated at Different Temperatures. IEEE Trans. Dielectr. Electr. Insul. 2013, 20, 1859–1868. [Google Scholar] [CrossRef]
- Du, B.X.; Liu, Z.X.; Guo, Y.G. Effect of Direct Fluorination on Surface Charge of Polyimide Films Using Repetitive Pulsed Power. IEEE Trans. Dielectr. Electr. Insul. 2015, 22, 1777–1784. [Google Scholar] [CrossRef]
- Mizutani, T.; Tsukahara, T.; Ieda, M. The Effects of Oxidation on the Electrical-Conduction of Polyethylene. J. Phys. D Appl. Phys. 1980, 13, 1673–1679. [Google Scholar] [CrossRef]
- An, Z.; Yang, Q.; Xie, C.; Jiang, Y.; Zheng, F.; Zhang, Y. Suppression Effect of Surface Fluorination On Charge Injection Into Linear Low Density Polyethylene. J. Appl. Phys. 2009, 105, 0641026. [Google Scholar] [CrossRef]
- Jiang, Y.; An, Z.; Liu, C.; Zheng, F.; Zhang, Y. Influence of Oxyfluorination Time On Space Charge Behavior in Polyethylene. IEEE Trans. Dielectr. Electr. Insul. 2010, 17, 1814–1823. [Google Scholar] [CrossRef]
- Cheng, Y.; Yu, G.; Yu, B.; Zhang, X. The Research of Conductivity and Dielectric Properties of Zno/Ldpe Composites with Different Particles Size. Materials 2020, 13, 4136. [Google Scholar] [CrossRef]
- Milliere, L.; Makasheva, K.; Laurent, C.; Despax, B.; Teyssedre, G. Efficient Barrier for Charge Injection in Polyethylene by Silver Nanoparticles/Plasma Polymer Stack. Appl. Phys. Lett. 2014, 105, 122908. [Google Scholar] [CrossRef]
- Zhu, Y.; Li, S.; Min, D. Origin of Dielectric Process in Aged Oil Impregnated Paper. IEEE Trans. Dielectr. Electr. Insul. 2017, 24, 1625–1635. [Google Scholar] [CrossRef]
- Lei, Q.; Wang, X.; Fan, Y. A New Method of Auto-Separating Thermally Stimulated Current. J. Appl. Phys. 1992, 72, 4254–4257. [Google Scholar] [CrossRef]
- Stewart, J. Mopac: A Semiempirical Molecular Orbital Program. J. Comput. Aid. Mol. Des. 1990, 4, 1–105. [Google Scholar] [CrossRef]
- Grimme, S.; Antony, J.; Ehrlich, S.; Krieg, H. A Consistent and Accurate Ab Initio Parametrization of Density Functional Dispersion Correction (Dft-D) for the 94 Elements H-Pu. J. Chem. Phys. 2010, 132, 154104. [Google Scholar] [CrossRef]
- Neese, F. The Orca Program System. Wires. Comput. Mol. Sci. 2012, 2, 73–78. [Google Scholar] [CrossRef]
- Min, D.; Wang, W.; Li, S. Numerical Analysis of Space Charge Accumulation and Conduction Properties in Ldpe Nanodielectrics. IEEE Trans. Dielectr. Electr. Insul. 2015, 22, 1483–1491. [Google Scholar] [CrossRef]
- Min, D.; Li, S.; Ohki, Y. Numerical Simulation on Molecular Displacement and Dc Breakdown of Ldpe. IEEE Trans. Dielectr. Electr. Insul. 2016, 23, 507–516. [Google Scholar] [CrossRef]
- Min, D.; Li, S. A Comparison of Numerical Methods for Charge Transport Simulation in Insulating Materials. IEEE Trans. Dielectr. Electr. Insul. 2013, 20, 955–964. [Google Scholar]
- Wang, W.; Li, S. Improvement of Dielectric Breakdown Performance by Surface Modification in Polyethylene/TiO2 Nanocomposites. Materials 2019, 12, 3346. [Google Scholar] [CrossRef] [PubMed] [Green Version]
- Nie, Y.; Yang, L.; Zhao, N.; Min, D.; Li, S. Effect of Surface State On Dc Breakdown of LDPE Films. IEEE Trans. Dielectr. Electr. Insul. 2017, 24, 2522–2530. [Google Scholar] [CrossRef]
- Takada, T.; Kikuchi, H.; Miyake, H.; Tanaka, Y.; Yoshida, M.; Hayase, Y. Determination of Charge-Trapping Sites in Saturated and Aromatic Polymers by Quantum Chemical Calculation. IEEE Trans. Dielectr. Electr. Insul. 2015, 22, 1240–1249. [Google Scholar] [CrossRef]
- Liu, N.; Zhou, C.; Chen, G.; Xu, Y.; Cao, J.; Wang, H. Model to Estimate the Trapping Parameters of Cross-Linked Polyethylene Cable Peelings of Different Service Years and their Relationships with Dc Breakdown Strengths. High Volt. 2016, 1, 95–105. [Google Scholar] [CrossRef]
- Tian, J.; Zhou, Y.; Wang, Y. Simulation of Space Charge Dynamics in Low-Density Polyethylene Under External Electric Field and Injection Barrier Heights Using Discontinuous Galerkin Method. IEEE Trans. Dielectr. Electr. Insul. 2011, 18, 1374–1382. [Google Scholar] [CrossRef]
- Min, D.; Cho, M.; Li, S.; Khan, A.R. Charge Transport Properties of Insulators Revealed by Surface Potential Decay Experiment and Bipolar Charge Transport Model with Genetic Algorithm. IEEE Trans. Dielectr. Electr. Insul. 2012, 19, 2206–2215. [Google Scholar] [CrossRef]











| Film | Trap Level/eV | Trap Amount/nC |
|---|---|---|
| LDPE | 0.66 | 1.44 |
| Oxidized by 1 h | 0.76 | 2.82 |
| Oxidized by 2 h | 0.71 | 6.64 |
| Oxidized by 4 h | 0.69 | 8.32 |
| Oxidized by 6 h | 0.63 | 9.00 |
Publisher’s Note: MDPI stays neutral with regard to jurisdictional claims in published maps and institutional affiliations. |
© 2022 by the authors. Licensee MDPI, Basel, Switzerland. This article is an open access article distributed under the terms and conditions of the Creative Commons Attribution (CC BY) license (https://creativecommons.org/licenses/by/4.0/).
Share and Cite
Zhu, Y.; Chen, H.; Chen, Y.; Qu, G.; Lu, G.; Min, D.; Nie, Y.; Li, S. Surface Modification-Dominated Space-Charge Behaviors of LDPE Films: A Role of Charge Injection Barriers. Materials 2022, 15, 6095. https://doi.org/10.3390/ma15176095
Zhu Y, Chen H, Chen Y, Qu G, Lu G, Min D, Nie Y, Li S. Surface Modification-Dominated Space-Charge Behaviors of LDPE Films: A Role of Charge Injection Barriers. Materials. 2022; 15(17):6095. https://doi.org/10.3390/ma15176095
Chicago/Turabian StyleZhu, Yuanwei, Haopeng Chen, Yu Chen, Guanghao Qu, Guanghao Lu, Daomin Min, Yongjie Nie, and Shengtao Li. 2022. "Surface Modification-Dominated Space-Charge Behaviors of LDPE Films: A Role of Charge Injection Barriers" Materials 15, no. 17: 6095. https://doi.org/10.3390/ma15176095
APA StyleZhu, Y., Chen, H., Chen, Y., Qu, G., Lu, G., Min, D., Nie, Y., & Li, S. (2022). Surface Modification-Dominated Space-Charge Behaviors of LDPE Films: A Role of Charge Injection Barriers. Materials, 15(17), 6095. https://doi.org/10.3390/ma15176095

