Inverse Estimation of Moisture Diffusion Model for Concrete Using Artificial Neural Network
Abstract
:1. Introduction
2. Moisture Diffusion Analysis of Concrete
2.1. Moisture Diffusion Equation
2.2. Finite Element Formulation
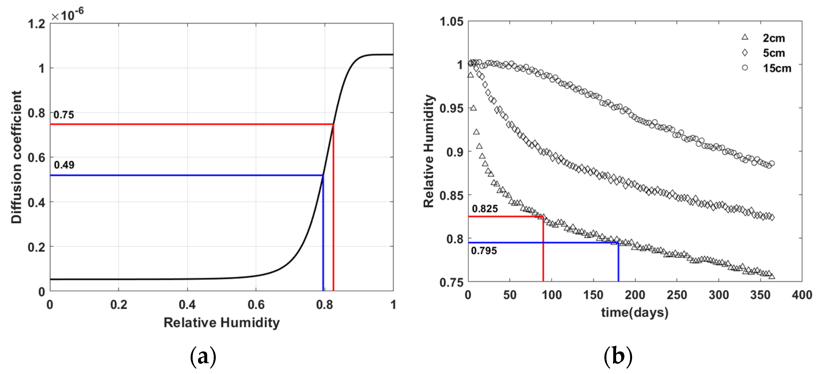
3. Virtual Experiment of Moisture Diffusion of Concrete
4. Inverse Estimation of Moisture Diffusion Model
4.1. Artificial Neural Network
4.2. Optimization for the Inverse Estimation of Moisture Diffusion Model
5. Result and Discussion
5.1. Result
5.2. Discussion
6. Conclusions
- -
- A simple architecture of ANN has sufficient complexity to learn the moisture diffusion behavior of concrete defined by CEB-FIP(’90) model.
- -
- An ANN with a simpler architecture gives a better result in the inverse estimation of moisture diffusion behavior since it is less likely to stay at local minimum in the optimization process.
- -
- Moisture distribution data should cover enough range of relative humidity for the inverse estimation of an ANN moisture diffusion model.
- -
- A longer observation period gives a better result in the inverse estimation of an ANN moisture diffusion model since it provides a wider range of relative humidity information.
- -
- A long-term moisture distribution in concrete can be predicted using an ANN moisture diffusion model inversely estimated using short-term global response.
Author Contributions
Funding
Institutional Review Board Statement
Informed Consent Statement
Data Availability Statement
Acknowledgments
Conflicts of Interest
References
- Grübl, P.; Weigler, H.; Karl, S. Beton, Arten—Herstellung und Eigenschaften, 2nd ed.; Verlag Ernst & Sohn: Berlin, Germany, 2001. [Google Scholar]
- Lim, S.; Jeong, J.-H.; Zollinger, D.G. Moisture profiles and shrinkage in early-age concrete pavements. Int. J. Pavement Eng. 2009, 10, 29–38. [Google Scholar] [CrossRef]
- Yuan, Y.; Wan, Z. Prediction of cracking within early-age concrete due to thermal, drying and creep behavior. Cem. Concr. Res. 2002, 32, 1053–1059. [Google Scholar] [CrossRef]
- Sorelli, L.; Frech-Baronet, J.; Charron, J.-P. Creep behavior of cement paste, mortar, and concrete: The role of relative humidity and interface porosity. In Proceedings of the 10th International Conference on Mechanics and Physics of Creep, Shrinkage, and Durability of Concrete and Concrete Structures, Vienna, Austria, 21–23 September 2015. [Google Scholar] [CrossRef]
- Gilbert, R. The Serviceability Limit States in Reinforced Concrete Design. Procedia Eng. 2011, 14, 385–395. [Google Scholar] [CrossRef]
- Wei, Y.; Huang, J.; Liang, S. Measurement and modeling concrete creep considering relative humidity effect. Mech. Time-Depend. Mater. 2020, 24, 161–177. [Google Scholar] [CrossRef]
- Parrott, L.J. Factors influencing relative humidity in concrete. Mag. Concr. Res. 1991, 43, 45–52. [Google Scholar] [CrossRef]
- Mehta, P.K. Durability—Critical issues for the future. Concr. Int. 1997, 19, 27–33. [Google Scholar]
- Bažant, Z.; Najjar, L. Drying of concrete as a nonlinear diffusion problem. Cem. Concr. Res. 1971, 1, 461–473. [Google Scholar] [CrossRef]
- Mihashi, H.; Numao, T. Influence of curing condition on diffusion process of concrete at elevated temperatures. Proc. Jpn. Concr. Inst. 1989, 11, 229–234. [Google Scholar]
- Kang, S.T. Experimental Study of Moisture Diffusion in Concrete. Master’s Thesis, Department of Civil and Environment Engineering, Korea Advanced Institute of Science & Technology (KAIST), Daejeon, Korea, 2002. [Google Scholar]
- Sakata, K. A study on moisture diffusion in drying and drying shrinkage of concrete. Cem. Concr. Res. 1983, 13, 216–224. [Google Scholar] [CrossRef]
- Ghaboussi, J. Soft Computing in Engineering; CRC Press: Boca Raton, FL, USA, 2018. [Google Scholar] [CrossRef]
- Feng, W.; Wang, Y.; Sun, J.; Tang, Y.; Wu, D.; Jiang, Z.; Wang, J.; Wang, X. Prediction of thermo-mechanical properties of rubber-modified recycled aggregate concrete. Constr. Build. Mater. 2022, 318, 125970. [Google Scholar] [CrossRef]
- Sun, J.; Tang, Y.; Wang, J.; Wang, X.; Wang, J.; Yu, Z.; Cheng, Q.; Wang, Y. A multi-objective optimisation approach for activity excitation of waste glass mortar. J. Mater. Res. Technol. 2022, 17, 2280–2304. [Google Scholar] [CrossRef]
- Ghaboussi, J.; Pecknold, D.A.; Zhang, M.; Haj-Ali, R.M. Autoprogressive training of neural network constitutive models. Int. J. Numer. Methods Eng. 1998, 42, 105–126. [Google Scholar] [CrossRef]
- Jung, S.; Ghaboussi, J. Characterizing rate-dependent material behaviors in self-learning simulation. Comput. Methods Appl. Mech. Eng. 2006, 196, 608–619. [Google Scholar] [CrossRef]
- Jung, S.; Ghaboussi, J.; Marulanda, C. Field calibration of time-dependent behavior in segmental bridges using self-learning simulation. Eng. Struct. 2007, 29, 2692–2700. [Google Scholar] [CrossRef]
- Aquino, W.; Brigham, J.C. Self-learning finite elements for inverse estimation of thermal constitutive models. Int. J. Heat Mass Transf. 2006, 49, 2466–2478. [Google Scholar] [CrossRef]
- Crank, J. The Mathematics of Diffusion; Oxford University Press: Cambridge, MA, USA, 1979. [Google Scholar]
- MathWorks, Inc. MATLAB: The Language of Technical Computing: Desktop Tools and Development Environment, Version 7; MathWorks: Natick, MA, USA, 2005; Volume 9. [Google Scholar]
- Comité Euro-International du Béton. CEB-FIP Model Code 1990: Design Code; Thomas Telford Publishing: London, UK, 1993. [Google Scholar]
- Bažant, Z.P. Constitutive equation for concrete creep and shrinkage based on thermodynamics of multiphase systems. Mater. Struct. 1970, 3, 3–36. [Google Scholar] [CrossRef]
- Sondwale, P.P. Overview of predictive and descriptive data mining techniques. Int. J. Adv. Res. Comput. Sci. Softw. Eng. 2015, 5, 262–265. [Google Scholar]
- Riedmiller, M.; Braun, H. A direct adaptive method for faster backpropagation learning: The RPROP algo-rithm. In Proceedings of the IEEE International Conference on Neural Networks, Nagoya, Japan, 28 March–1 April 1993; pp. 586–591. [Google Scholar]
- Waltz, R.; Morales, J.; Nocedal, J.; Orban, D. An interior algorithm for nonlinear optimization that combines line search and trust region steps. Math. Program. 2006, 107, 391–408. [Google Scholar] [CrossRef]
- Lesaja, G. Introducing Interior-Point Methods for Introductory Operations Research Courses and/or Linear Programming Courses. Open Oper. Res. J. 2009, 3, 1–12. [Google Scholar] [CrossRef] [Green Version]
















| Material | ||||||
|---|---|---|---|---|---|---|
| M1 | 3.6 × 10−6 | 10 | 34 | 0.05 | 0.80 | 6 |
| M2 | 16 | |||||
| Label | Neural Network Architecture | Material | Observation Period |
|---|---|---|---|
| N1M1D90 | N1 | M1 | 90 days |
| N1M1D180 | N1 | M1 | 180 days |
| N1M2D90 | N1 | M2 | 90 days |
| N1M2D180 | N1 | M2 | 180 days |
| N2M1D90 | N2 | M1 | 90 days |
| N2M1D180 | N2 | M1 | 180 days |
| N2M2D90 | N2 | M2 | 90 days |
| N2M2D180 | N2 | M2 | 180 days |
| N1 | N2 | |||
|---|---|---|---|---|
| M1 | M2 | M1 | M2 | |
| 90 days | 0.0049 | 0.0119 | 0.0221 | 0.0289 |
| 180 days | 0.0029 | 0.0035 | 0.003 | 0.0039 |
Publisher’s Note: MDPI stays neutral with regard to jurisdictional claims in published maps and institutional affiliations. |
© 2022 by the authors. Licensee MDPI, Basel, Switzerland. This article is an open access article distributed under the terms and conditions of the Creative Commons Attribution (CC BY) license (https://creativecommons.org/licenses/by/4.0/).
Share and Cite
Lee, J.M.; Lee, C.J. Inverse Estimation of Moisture Diffusion Model for Concrete Using Artificial Neural Network. Materials 2022, 15, 5945. https://doi.org/10.3390/ma15175945
Lee JM, Lee CJ. Inverse Estimation of Moisture Diffusion Model for Concrete Using Artificial Neural Network. Materials. 2022; 15(17):5945. https://doi.org/10.3390/ma15175945
Chicago/Turabian StyleLee, Jae Min, and Chang Joon Lee. 2022. "Inverse Estimation of Moisture Diffusion Model for Concrete Using Artificial Neural Network" Materials 15, no. 17: 5945. https://doi.org/10.3390/ma15175945
APA StyleLee, J. M., & Lee, C. J. (2022). Inverse Estimation of Moisture Diffusion Model for Concrete Using Artificial Neural Network. Materials, 15(17), 5945. https://doi.org/10.3390/ma15175945
