Experimental Study on Effects of Aging Time on Dry Shrinkage Cracking of Lime Soils
Abstract
:1. Introduction
2. Materials and Methods
2.1. Materials
2.2. Methods
- Limit moisture content test: This test used the combined liquid and plastic limit tester to determine the liquid limit and plastic limit of silty clay in Henan Province, calculate the plasticity index, and judge the range of plastic state of silty clay. In this test, 300 g of air-dried soil samples with the optimum moisture content of 27.3% were taken. The moisture content of the prepared soil samples was the plastic limit, the middle value of liquid plasticity, and the liquid limit of the soil, so that the cone penetration depth was controlled at 3~5, 7~9, and 15~17 mm, respectively. They were placed into double-layer, fresh-keeping bags and left for 24 h. The liquid plastic limit was retested. If the penetration depth is not within the specified range, the test shall be reperformed. If the penetration depth is within 3 specified ranges, the test is deemed to be successful, and the liquid limit and plastic limit can be obtained. When the test results met the requirements, the soil samples were placed under the three conditions into the 105 °C oven, and their moisture content was measured to calculate the limit moisture content of silty clay;
- Aging of soil sample: The soil sample was dried, then the powder was extracted and passed through 2 mm sieve. A total of 3500 g of soil samples was evenly mixed with 700 g of lime, and 840 mL of distilled water was added for uniform mixing. A total of seven groups of samples were prepared. The prepared lime soil sample was placed into the standard oxidation tank (temperature: 20 °C, humidity: 95%), and aged for 6, 12, 24, 48, 72, 120, and 168 h. During the aging process, 30 g samples (3 parallel samples) were taken every 6 h to dry and measure the average moisture content, and water was added to maintain the initial moisture content of 20%;
- Triaxial compression test: The aged soil samples were proportioned according to the moisture content of 20% and dry density of 1.28 g/cm3 to prepare the triaxial samples of diameter 39.1 mm and height 80 mm. The unconsolidated, undrained triaxial shear test was carried out according to the standard for geotechnical test methods (GB/T50123-2019), and the shear rate used was 0.5 mm/min to measure the stress–strain relationship of the sample under confining pressures of 50, 100, and 150 kPa. To reduce the test errors, three parallel tests were conducted in each set of tests with four samples each time, of which three samples were used for triaxial shear under different confining pressures. Since the triaxial test was conducted by computer and acquisition system, the computer automatically recorded the stress value at the corresponding strain, and automatically generated the stress–strain curve and Mohr’s circle after the test started; then the internal friction angle and cohesion of the excavated sample were calculated.
- Dry–wet cycle test: The dry shrinkage deterioration test was carried out after sample preparation. A total of 2000 g of the aged bulk sample was placed in a mold of size of 25 cm × 25 cm, following which static compaction was performed in a 2 cm steel mold. The moisture content of the sample was 20% and the dry density was 1.28 g/cm3, and the static compaction treatment carried out. The lime soil sample was dried in a temperature control oven set at 40 °C for 36 h; after drying, water was sprayed evenly onto the surface of the sample with a spray bottle of 800 mL, which was recorded as a dry–wet cycle (Figure 2a); a total of 5 dry–wet cycles were carried out. During the whole drying process, the sample was weighed by an electronic scale and photographed by a high-definition camera to record the crack development process;
- Expansion and contraction rate test: A vernier caliper with an accuracy of 0.02 mm was used to measure the height of lime soil samples at 9 different positions, and the average value of the expansion and contraction deformation height of the samples was taken (Figure 2b);
- Screening test: the aged sample was dried in an oven at 105 °C to constant weight. A total of 200 g dried samples (3 parallel samples) was taken, and a screening test was conducted on the samples with sieve hole diameters of 2, 1, 0.5, 0.25, 0.1, and 0.075 mm. The particle size information of aged lime soil samples was obtained;
- pH value test: The aged sample was dried, and 100 mL of distilled water was added to 20 g of the dried sample (3 parallel samples), and a pH818 precision pH meter was used to test the pH value of the supernatant after standing;
- Electron microscope test: The test instrument was a S570 scanning electron microscope. The aged samples were dried for electron microscope test, and the scanning electron microscope multiples were 500 times and 2000 times. The chemical reaction products and microstructure changes in the samples were observed;
- X–ray diffraction test: An X-ray diffraction test was conducted after the sample was dried. The test instrument was an X-ray diffractometer with model d8-advance, and the scanning incidence angle was 10–70°. The changes in chemical products in the sample were explored.

3. Results and Discussion
3.1. Effect of Aging Time on Mechanical Properties of Samples
3.1.1. Stress–Strain Curve
3.1.2. Strength Index Impact Analysis
3.2. Effects of Aging Time on Sample Volume Crack Rate
3.3. Effects of Aging Time on Expansion and Shrinkage of Samples
3.4. Effects of Aging Time on pH
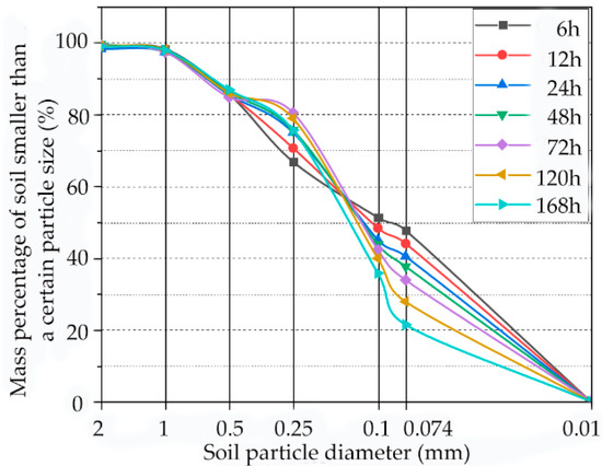
3.5. Effects of Aging Time on Particle Size
3.6. Effects of pH on Dry Shrinkage Cracking of Samples
3.6.1. Effects of pH on Volume Crack Rate of Sample
3.6.2. Effects of pH on Sample Expansion
3.6.3. Effects of pH on Sample Shrinkage
- (1)
- Figure 15 shows the XRD analysis results of soil samples with different aging times. The changes in material composition of soil samples with different aging times can be obtained by XRD. The peak points of the chemical substances of the soil samples at different aging times change. With the increase in aging time, the peak intensity of CaO decreases, but the peak intensity of Ca(OH)2 increases first, and then decreases. The CaO hydration reaction generates Ca(OH)2, which leads to the increase in the peak intensity of Ca(OH)2. Affected by carbonization reaction, Ca(OH)2 reacts with CO2 in the air, so that the peak intensity of Ca(OH)2 decreases, and the peak intensity of CaCO3 gradually increases. However, the diffraction peak intensity of the CaCO3 crystals is low, the content of CO2 in natural air is low, the carbonization reaction is slow, and the final carbonization products are limited [37,38];
- (2)
- In the aging process, the content of CaO decreases with the increase in aging time. When the aging time is 6 h, a large amount of the CaO reacts with water quickly to form Ca(OH)2, and the content of CaO decreases to 5.2%. When the aging time is extended to 72 h, the content of CaO decreases to 0.8%. If the aging time is extended further, the overall decreasing trend is not obvious, and the content changes remain within 0.05–0.73%;
- (3)
- The content of Ca(OH)2 increases first, and then decreases with the extension of the aging time, and a peak value is obtained at 24 h. The change in the Ca(OH)2 content tends to remain stable at 72 h of aging, and even after the aging time is prolonged. The overall decrease trend is not obvious, and the change in Ca(OH)2 content is about 1.4–1.8%. The change trend of the pH value is consistent with that of Ca(OH)2.
3.7. Effects of Particle Size on Dry Shrinkage Cracking of Samples
4. Conclusions
- (1)
- The increase in aging time is at the expense of soil strength. With the increase in aging time, carbonization and agglomeration reactions occur on the soil surface. However, it is difficult for the agglomerates and particles to form cementation, which leads to the obvious deterioration in the micro mechanical properties and shear strength of the soil sample, including the obvious softening of the stress–strain curve, the serious loss of shear strength, and the attenuation of cohesion;
- (2)
- When the aging time is 6 h, the expansion rate and shrinkage rate at the center of the soil sample are the maximum. With the increase in aging time, the change in expansion and contraction rates at different positions gradually tends to be the same. The volume crack and expansion shrinkage rates first decrease, and then tend to stabilize with the increase in aging time. Compared with a sample aged for 6 h, the volume crack rate of the sample aged for 72 h decreases by 53%, the expansion rate decreases by 14.5%, and the shrinkage rate decreases by 10.5%. With the extension of aging time, the change rates of these three characteristic parameters are about 0–1% each;
- (3)
- The decrease in volume crack rate and expansion shrinkage rate with aging time is positively correlated with the change rate of the pH value, and pH is the internal reason affecting soil cracking. The pH increases first, and then decreases with the increase in aging time. When the sample reaches the reasonable aging time, the pH of the sample shows an obvious decreasing trend. At this time, the changes in Ca(OH)2 and CaCO3 tend to be stable, the hydration reaction is completed, and the cracking potential is reduced. If the aging time is prolonged, the carbonization reaction causes the shear strength of the soil to decrease, and affects the durability of the soil;
- (4)
- A reasonable aging time improves the particle agglomeration of lime soil. With an increase in aging time, the soil particles undergo obvious agglomeration, the proportion of particles of a size less than 0.1 mm decreases, and the proportion of particles of size 0.1–0.5 mm increases. After an aging time of 72 h, the particle size distribution remains almost unchanged.
Author Contributions
Funding
Institutional Review Board Statement
Informed Consent Statement
Data Availability Statement
Conflicts of Interest
References
- Naeimi, M.; Haddad, A. Environmental impacts of chemical and microbial grouting. Environ. Sci. Pollut. R. 2020, 27, 2264–2272. [Google Scholar] [CrossRef] [PubMed]
- Akula, P.; Naik, S.R.; Little, D.N. Evaluating the Durability of Lime-Stabilized Soil Mixtures using Soil Mineralogy and Computational Geochemistry. Transp. Res. Rec. J. Transp. Res. Board 2021, 2675, 1469–1481. [Google Scholar] [CrossRef]
- Yue, J.W.; Li, W.H.; Zhu, X.; Kong, Q.M.; Huang, X.J.; Yang, X.; Han, Z.G. Experimental Study on Restoration Materials of Newly Earthen Ruins under Different Slaking Times. Materials 2022, 15, 4356. [Google Scholar] [CrossRef]
- Kong, D.; Chen, J.; Wan, R.; Liu, H.L. Study on restoration materials for historical silty earthen Sites based on lime and starch ether. Adv. Mater. Sci. Eng. 2020, 2020, 2850780. [Google Scholar] [CrossRef]
- Cui, Y.J.; Tang, A.M.; Xu, M.N. Effects of the maximum soil aggregates size and cyclic wetting–drying on the stiffness of a lime-treated clayey soil. Géotechnique 2011, 61, 421–429. [Google Scholar] [CrossRef]
- Branco, F.C.; Belgas, M.D.; Mendes, C.; Pereira, L.; Ortega, J.M. Mechanical Performance of Lime Mortar Coatings for Rehabilitation of Masonry Elements in Old and Historical Buildings. Sustainability 2021, 13, 3281. [Google Scholar] [CrossRef]
- Yue, J.W.; Su, H.C.; Song, X.; Xu, X.C.; Zhao, L.M.; Zhao, G.; Li, P.; Chen, Y. Experimental Study on the Cracking and Mechanical Properties of Lime Soil with Different Slaking Conditions of Newly Repaired Earthen City Walls. Materials 2022, 15, 4151. [Google Scholar] [CrossRef]
- Consoli, N.C.; Rosa, A.D.; Saldanha, R.B. Parameters Controlling Strength of Industrial Waste-Lime Amended Soil. Soils Found 2011, 51, 265–273. [Google Scholar] [CrossRef] [Green Version]
- Zukri, A. Pekan Soft Clay Treated with Hydrated Lime as a Method of Soil Stabilizer. Procedia Eng. 2013, 53, 37–41. [Google Scholar] [CrossRef] [Green Version]
- Olinic, T.; Olinic, E. The Effect of Quicklime Stabilization on Soil Properties. Agric. Agric. Sci. Procedia 2016, 10, 444–451. [Google Scholar] [CrossRef] [Green Version]
- Poncelet, N.; Herrier, G.; Franois, B. An effective stress constitutive framework for the prediction of desiccation crack in lime-treated soil: Experimental characterization and constitutive prediction. Geomech. Energy Environ. 2021, 29, 100265. [Google Scholar] [CrossRef]
- Stoltz, G.; Cuisinier, O.; Masrouri, F. Multi-scale analysis of the swelling and shrinkage of a lime-treated expansive clayey soil. Appl. Clay Sci. 2012, 61, 44–51. [Google Scholar] [CrossRef]
- Zhang, S.B.; Xie, J.B.; Jiang, S.; Shi, L.; Wang, S.; Wu, Y.C. Research on the development law of dry shrinkage cracks in lime improved expansive soil. Contrib. Technol. 2018, 47, 1247–1249. [Google Scholar]
- Elert, K.; Rodriguez, N.C.; Pardo, E.S. Lime mortars for the conservation of historic buildings. Stud. Conserv. 2002, 47, 62–75. [Google Scholar]
- Grilo, J.; Santos, S.A.; Faria, P. Mechanical and mineralogical properties of natural hydraulic lime metakaolin mortars in different curing conditions. Constr. Build. Mater. 2014, 51, 287–294. [Google Scholar] [CrossRef]
- Gu, L.; Liu, R.J.; Guo, Z.W. Effect of lime digestion conditions on calcium hydroxide activity. China Powder Sci. Technol. 2012, 18, 62–69. [Google Scholar] [CrossRef]
- Mascolo, G.; Mascolo, M.C.; Vitale, A.; Marino, O. Microstructure evolution of lime putty upon aging. J. Cryst. Growth 2010, 312, 2363–2368. [Google Scholar] [CrossRef]
- Wei, G.F.; Zhang, B.J.; Fang, S.Q. Aging Mechanism of Quicklime and Application Study of Aged Lime in Conservation of Cultural Relics. J. Bulid. Mater. 2012, 15, 96–102. [Google Scholar] [CrossRef]
- Khattab, S.A.A.; Hussein, Y.A. On the Durability of fine Grained Soils Stabilized With Lime. Al-Rafadain Eng. J. 2012, 20, 85–92. [Google Scholar] [CrossRef]
- Hengique, H.M.; Santos, L.C.; Parreira, P.M. Production of milk of lime for sugar cane industry: Study of factors influencing lime slaking. Mater. Sci. Forum 2010, 660–661, 437–442. [Google Scholar] [CrossRef]
- Sweeney, D.A.; Wong, D.K.H.; Fredlund, D.G. Effect of lime on highly plastic clay with special emphasis on aging. Transp. Res. Rec. 1998, 1190, 13–23. [Google Scholar]
- Tan, Y.Z.; Yu, B.; Zheng, A.; Fu, W.; Zhang, H.; Wan, Z. Long-term carbonated effect on strength of lime stabilized laterite soils. J. Bulid. Mater. 2013, 34, 73–79. [Google Scholar] [CrossRef]
- Cui, K.; Feng, F.; Chen, W.W.; Wang, X.H.; Cheng, F.Q. Study on the mechanical compatibility of fissure grouting slurry with quick lime and grouting technology optimization in earthen sites. Rock Soil Mech. 2019, 40, 4627–4636. [Google Scholar] [CrossRef]
- Maafi, N.; Akchiche, M.; Sara, R. Wetting and Drying Compacted Soil-Lime Mixtures. In Proceedings of the International Congress and Exhibition “Sustainable Civil Infrastructures: Innovative Infrastructure Geotechnology”, Sharm El Sheikh, Egypt, 15–19 July 2017; pp. 49–62. [Google Scholar]
- Ouhadi, V. Microstructural Assessment of Lime Consumption Rate and Pozzolanic Reaction Progress of a Lime-Stabilized Dispersive Soil. Modares Civ. Eng. J. 2016, 16, 11–22. [Google Scholar]
- Yue, J.; Chen, Y.; Zhao, L.; Wang, S.; Su, H.; Yang, X.; Gao, H.; Zhang, Y.; Li, W. Effects of Aging on the Dry Shrinkage Cracking of Lime Soils with Different Proportions. Appl. Sci. 2021, 12, 145. [Google Scholar] [CrossRef]
- Feng, H.P.; Ma, D.L.; Liu, Q.Y.; Ye, C.L. Method for calculating three dimensional apparent porosity of soils based on SEM images. J. Bulid. Mater. 2013, 41, 574–580. [Google Scholar] [CrossRef]
- Guidobaldi, G.; Cambi, C.; Cecconi, M.; Deneele, D.; Paris, M.; Russo, G.; Vitale, E. Multi-scale analysis of the mechanical improvement induced by lime addition on a pyroclastic soil. Eng. Geol. 2017, 221, 193–201. [Google Scholar] [CrossRef]
- Pakbaz, M.S.; Farzi, M. Comparison of the effect of mixing methods (dry vs. wet) on mechanical and hydraulic properties of treated soil with cement or lime. Appl. Clay Sci. 2014, 105–106, 156–169. [Google Scholar] [CrossRef]
- Li, X.M.; Lu, G.Y.; Zhang, H.Y.; Yi, S.; Ren, K.B. Strength characteristics and micro-mechanism of lime-Metakaolin Modified silty Soil. J. Bulid. Mater. 2021, 20, 1–14. [Google Scholar] [CrossRef]
- Bhuvaneshwari, S.; Robinson, R.G.; Gandhi, S.R. Behaviour of Lime Treated Cured Expansive Soil Composites. Indian Geotech. J. 2014, 44, 278–293. [Google Scholar] [CrossRef]
- Yang, Y.; Zhang, N.; Zhang, L.; Rong, H.; Wei, C.J. Influence of Modified Materials on Hygrothermal properties of Raw Soil Blocks. J. Bulid. Mater. 2021, 24, 313–317,361. [Google Scholar] [CrossRef]
- Arizzi, A.; Viles, H.; Cultrone, G. Experimental testing of the durability of lime based mortars used for rendering historic buildings. Constr. Build. Mater. 2012, 28, 807–818. [Google Scholar] [CrossRef]
- Wang, D.X.; He, F.J.; Zhu, J.Y. Performance and mechanism of CO2 carbonated slag-CaO-MgO-solidified soils. Acta Geotech. 2019, 41, 2197–2206. [Google Scholar] [CrossRef]
- Wang, Y.; Cui, Y.J.; Tang, A.M.; Tang, C.S.; Benahmed, N. Effects of aggregate size on water retention capacity and microstructure of lime-treated silty soil. Géotech. Lett. 2015, 5, 269–274. [Google Scholar] [CrossRef]
- Margalha, M.G.; Silva, A.S.; Maria, D.R.V.; Jorge, D.B.; James, B.R.; Charles, A.G. Microstructural Changes of Lime Putty during Aging. J. Mater. Civ. Eng. 2013, 25, 1524–1532. [Google Scholar] [CrossRef]
- Muzahim, A.M.; Khattb, S.; Alcover, J.F. Microstructure and geotechnical properties of lime-treated expansive clayey soil. Eng. Geol. 2012, 139–140, 17–27. [Google Scholar] [CrossRef]
- Mateos, M. Soil Lime Research at Iowa State University. Gypsum. Lime 2015, 1968, 56–63. [Google Scholar] [CrossRef]



















| SiO2 | Al2O3 | CaO | Fe2O3 | MgO | K2O | Na2O | TiO2 | P2P5 | MnO | SO3 | SrO | ZnO |
|---|---|---|---|---|---|---|---|---|---|---|---|---|
| 27.02 | 8.49 | 7.52 | 4.31 | 1.89 | 1.13 | 1.11 | 0.49 | 0.32 | 0.09 | 0.09 | 0.02 | 0.02 |
| CaO | MgO | SO4 | Fe | Pb | NO3 | Cl | Unsolvable in Acetic Acid |
|---|---|---|---|---|---|---|---|
| 98.64 | 0.50 | 0.10 | 0.015 | 0.005 | 0.004 | 0.003 | 0.05 |
Publisher’s Note: MDPI stays neutral with regard to jurisdictional claims in published maps and institutional affiliations. |
© 2022 by the authors. Licensee MDPI, Basel, Switzerland. This article is an open access article distributed under the terms and conditions of the Creative Commons Attribution (CC BY) license (https://creativecommons.org/licenses/by/4.0/).
Share and Cite
Yue, J.; Chen, Y.; Luo, Z.; Wang, S.; Su, H.; Gao, H.; Li, Y.; Li, P.; Ma, C. Experimental Study on Effects of Aging Time on Dry Shrinkage Cracking of Lime Soils. Materials 2022, 15, 5785. https://doi.org/10.3390/ma15165785
Yue J, Chen Y, Luo Z, Wang S, Su H, Gao H, Li Y, Li P, Ma C. Experimental Study on Effects of Aging Time on Dry Shrinkage Cracking of Lime Soils. Materials. 2022; 15(16):5785. https://doi.org/10.3390/ma15165785
Chicago/Turabian StyleYue, Jianwei, Ying Chen, Zhenxian Luo, Siyuan Wang, Huicong Su, Huijie Gao, Yuan Li, Peng Li, and Can Ma. 2022. "Experimental Study on Effects of Aging Time on Dry Shrinkage Cracking of Lime Soils" Materials 15, no. 16: 5785. https://doi.org/10.3390/ma15165785
APA StyleYue, J., Chen, Y., Luo, Z., Wang, S., Su, H., Gao, H., Li, Y., Li, P., & Ma, C. (2022). Experimental Study on Effects of Aging Time on Dry Shrinkage Cracking of Lime Soils. Materials, 15(16), 5785. https://doi.org/10.3390/ma15165785

