Enhanced Nitrate Ions Remediation Using Fe0 Nanoparticles from Underground Water: Synthesis, Characterizations, and Performance under Optimizing Conditions
Abstract
:1. Introduction
2. Materials and Methods
2.1. Materials
2.2. Synthesis of nZVI
2.3. nZVI Characterization
2.4. Nitrates Removal by ZVI Nanoparticles
3. Results and Discussion
3.1. ZVI Nanoparticles Characterization
3.2. Effect of Reaction Conditions
3.2.1. Effect of ZVI Nanoparticles Dosage
3.2.2. Effect of Initial NO3 Concentration
3.2.3. Effect of Reaction Contact Time
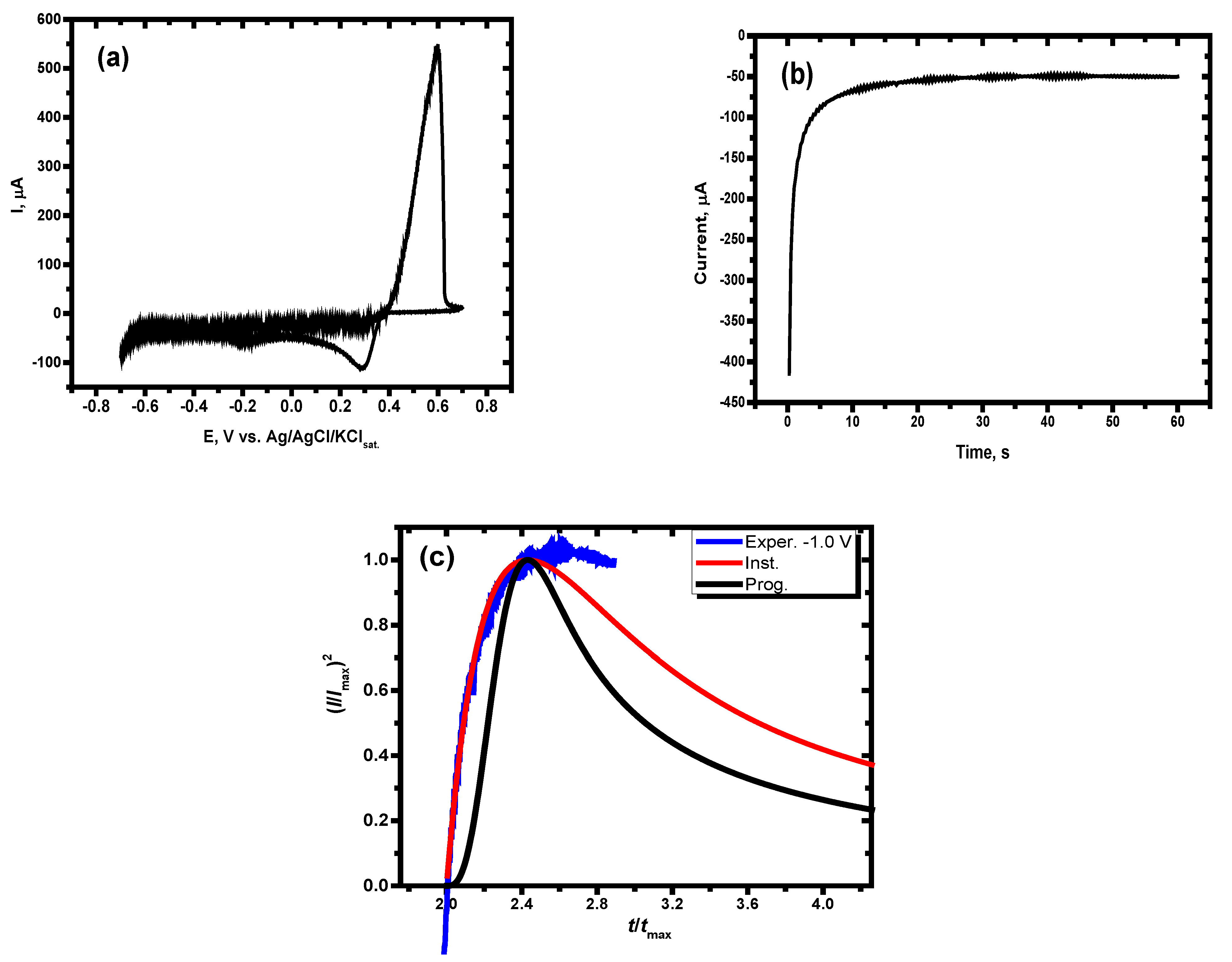
3.3. Electrochemical Synthesis of AgPtCo onto GCE for Sensing of Nitrate in Natural Water
3.4. Comparative Studies with the Previous Approaches
4. Conclusions
Author Contributions
Funding
Institutional Review Board Statement
Informed Consent Statement
Data Availability Statement
Acknowledgments
Conflicts of Interest
References
- Huang, C.P.; Wang, H.W.; Chiu, P.C. Nitrate reduction by metallic iron. Water Res. 1998, 32, 2257–2264. [Google Scholar] [CrossRef]
- Gabel, B.; Kozicki, R.; Lahl, U.; Podbielski, A.; Stachel, B.; Struss, S. Pollution of drinking water with nitrate. Chemosphere 1982, 11, 1147–1154. [Google Scholar]
- Seunghee, C.; Howard, M.L.; Jeehyeong, K. Nitrate reduction by zero-valent iron under different pH regimes. Appl. Geochem. 2004, 19, 335–342. [Google Scholar]
- World Health Organization. Nitrate and Nitrite in Drinking-Water, Background Document for Development of WHO Guidelines for Drinking-Water Quality; World Health Organization: Geneva, Switzerland, 2011. [Google Scholar]
- Shelir, E. Nitrate Removal from Drinking Water Using Combined Ion Exchange/Resin Bio-Regeneration; The University of British Columbia: Okanagan, BC, Canada, 2015. [Google Scholar]
- Alahi, M.E.E.; Mukhopadhyay, S.C. Detection methods of nitrate in water: A Review. Sens. Actuators 2018, 280, 210–221. [Google Scholar] [CrossRef]
- Archna; Sharma, S.K.; Sobti, R.C. Nitrate Removal from Ground Water: A Review. E-J. Chem. 2012, 9, 1667–1675. [Google Scholar] [CrossRef]
- Kurniawan, T.A.; Sillanpaa, M.E.T.; Sillanpaa, M. Nano-adsorbents for Remediation of Aquatic Environment: Local and Practical Solutions for Global Water Pollution Problems. Crit. Rev. Environ. Sci. Technol. 2012, 42, 1233–1295. [Google Scholar] [CrossRef]
- Filip, J.; Zboril, R.; Schneeweiss, O.; Zeman, J.; Cernik, M.; Kvapil, P.; Otyepka, M. Environmental Applications of Chemically Pure Natural Ferrihydrite. Environ. Sci. Technol. 2007, 41, 4367–4374. [Google Scholar] [CrossRef]
- Marsalek, B.; Jancula, D.; Marsalkova, E.; Mashlan, M.; Safarova, K.; Tucek, J.; Zboril, R. Multimodal Action and Selective Toxicity of Zerovalent Iron Nanoparticles against Cyanobacteria. Environ. Sci. Technol. 2012, 46, 2316–2323. [Google Scholar] [CrossRef]
- Klimkova, S.; Cernik, M.; Lacinova, L.; Filip, J.; Jancik, D.; Zboril, R. Zero-Valent Iron Nanoparticles in Treatment of Acid Mine Water from In Situ Uranium Leaching. Chemosphere 2011, 82, 1178–1184. [Google Scholar] [CrossRef]
- Petala, E.; Dimos, K.; Douvalis, A.; Bakas, T.; Tucek, J.; Zboril, R.; Karakassides, M.A. Nanoscale Zero-Valent Iron Supported on Mesoporous Silica: Characterization and Reactivity for Cr(VI) Removal from Aqueous Solution. J. Hazard. Mater. 2013, 261, 295–306. [Google Scholar] [CrossRef]
- Sasaki, K.; Nakano, H.; Wilopo, W.; Miura, Y.; Hirajima, T. Sorption and Speciation of Arsenic by Zero-Valent Iron. Colloids Surf. 2009, 347, 8–17. [Google Scholar] [CrossRef]
- Tuček, J.; Prucek, R.; Kolařík, J.; Zoppellaro, G.; Petr, M.; Filip, J.; Zbořil, R. Zero-Valent Iron Nanoparticles Reduce Arsenites and Arsenates to As(0) Firmly Embedded in Core–Shell Superstructure: Challenging Strategy of Arsenic Treatment under Anoxic Conditions. ACS Sustain. Chem. Eng. 2017, 5, 3027–3038. [Google Scholar] [CrossRef]
- Yong, L.; Jianlong, W. Reduction of nitrate by zero valent iron (ZVI)-based materials: A review. Sci. Total Environ. 2019, 671, 388–403. [Google Scholar]
- Prabu, D.; Parthiban, R. Synthesis and Characterization of Nanoscale Zero Valent Iron (NZVI) Nanoparticles for Environmental Remediation. Asian J. Pharm. Technol. 2013, 3, 181–184. [Google Scholar]
- Siciliano, A. Use of Nanoscale Zero-Valent Iron (NZVI) Particles for Chemical Denitrification under Different Operating Conditions. Metals 2015, 5, 1507–1519. [Google Scholar] [CrossRef] [Green Version]
- Felipe, S.S.; Fernanda, R.L.; Lídia, Y.F.; Valéria, F. Synthesis and characterization of zero-valent iron nanoparticles supported on SBA-15. J. Mater. Res. Technol. 2017, 6, 178–183. [Google Scholar]
- Wilson, S.; Greenlee, L.F. Post-Synthesis Separation and Storage of Zero-Valent Iron Nanoparticles. J. Nanosci. Nanotechnol. 2017, 17, 2413–2422. [Google Scholar] [CrossRef] [PubMed]
- Sun, Y.-P.; Li, X.; Cao, J.; Zhang, W.-X.; Wang, P. Characterization of zero-valent iron nanoparticles. Adv. Colloid Interface Sci. 2006, 120, 47–56. [Google Scholar] [CrossRef] [PubMed]
- Yuvakkumar, R.; Elango, V.; Rajendran, V.; Kannan, N. Preparation and Characterization of zero valent iron nanoparticles. Digest J. Nanomater. Biostruct. 2011, 6, 1771–1776. [Google Scholar]
- Abd El-Lateef, H.M.; Ali, M.M.K.; Saleh, M.M. Adsorption and removal of cationic and anionic surfactants using zero-valent iron nanoparticles. J. Mol. Liq. 2018, 268, 497–505. [Google Scholar] [CrossRef]
- Fan, M.; Yuan, P.; Chen, T.; He, H.; Yuan, A.; Chen, K.; Zhu, J.; Liu, D. Synthesis, characterization and size control of zero-valent iron nanoparticles anchored on montmorillonite. Chin. Sci. Bull. 2010, 55, 1092–1099. [Google Scholar] [CrossRef]
- Dutta, S.; Ghosh, A.; Satpathi, S.; Saha, R. Modified synthesis of nanoscale zero-valent iron and its ultrasound-assisted reactivity study on a reactive dye and textile industry effluents. Desalin. Water Treat. 2016, 57, 19321–19332. [Google Scholar] [CrossRef]
- Hwang, Y.-H.; Kim, D.-G.; Shin, H.-S. Effects of synthesis conditions on the characteristics and reactivity of nano scale zero valent iron. Appl. Catal. B 2011, 105, 144–150. [Google Scholar] [CrossRef]
- Ibrahim, H.M.; Mohammed, A.; Al-Farraj, A.S.; Al-Turki, A.M. Stability and Dynamic Aggregation of Bare and Stabilized Zero-Valent Iron Nanoparticles under Variable Solution Chemistry. Nanomaterials 2020, 10, 192. [Google Scholar] [CrossRef] [Green Version]
- Nayak, D.; Ashe, S.; Rauta, P.R.; Kumari, M.; Nayak, B. Bark extract mediated green synthesis of silver nanoparticles: Evaluation of antimicrobial activity and antiproliferative response against osteosarcoma. Mater. Sci. Eng. C 2016, 58, 44–52. [Google Scholar] [CrossRef] [PubMed]
- Rodríguez-Sánchez, L.; Blanco, M.C.; López-Quintela, M.A. Electrochemical Synthesis of Silver Nanoparticles. J. Phys. Chem. B 2000, 104, 9683–9688. [Google Scholar] [CrossRef]
- Mansour, S.; Abd El-Lateef, H.M.; Mohran, H.S.; Elrouby, M. A promising star-like PtNi and coral reefs-like PtCo nano-structured materials for direct methanol fuel cell application. Electrochim. Acta 2021, 399, 139370. [Google Scholar]
- Grujicic, D.; Pesic, B. Electrodeposition of copper: The nucleation mechanisms. Electrochim. Acta 2002, 47, 2901–2912. [Google Scholar] [CrossRef]
- Chen, X.; Yang, L.; Chen, F.; Song, Q.; Feng, C.; Liu, X.; Li, M. High efficient bio-denitrification of nitrate contaminated water with low ammonium and sulfate production by a sulfur/pyrite-based bioreactor. Bioresour. Technol. 2022, 346, 126669. [Google Scholar] [CrossRef]
- Lingsheng, W.; Fu, W.; Zhuge, Y.; Wang, J.; Yao, F.; Zhong, W.; Ge, X. Synthesis of polyoxometalates (POM)/TiO2/Cu and removal of nitrate nitrogen in water by photocatalysis. Chemosphere 2021, 278, 130298. [Google Scholar]
- Rao, X.; Shao, X.; Xu, J.; Yi, J.; Qiao, J.; Li, Q.; Wang, H.; Chien, M.; Inoue, C.; Liu, Y.; et al. Efficient nitrate removal from water using selected cathodes and Ti/PbO2 anode: Experimental study and mechanism verification. Sep. Purif. Technol. 2019, 216, 158–165. [Google Scholar] [CrossRef]
- Arya, V.; Kiyanoush, J.; Ashkan, A.; Yusuf, C. Removal of nitrate and phosphate from simulated agricultural runoff water by Chlorella vulgaris. Sci. Total Environ. 2022, 802, 149988. [Google Scholar]
- Mohammed, A.; Brahim, L.; El Mostafa, M.; Jamal, E. Nitrate removal from groundwater in Casablanca region (Morocco) by electrocoagulation. Groundw. Sustain. Dev. 2020, 11, 100452. [Google Scholar]
- Anna, B.; David, H.; Raphael, S.; Hilla, S. Removal of nitrate in semi and fully continuous-flow Donnan dialysis systems. Sep. Purif. Technol. 2020, 250, 117249. [Google Scholar]
- Reza, F.; Soosan, R.; Foad, M. Synergistically enhanced nitrate removal by capacitive deionization with activated carbon/PVDF/polyaniline/ZrO2 composite electrode. Sep. Purif. Technol. 2021, 274, 119108. [Google Scholar]
- Huang, X.; Jiang, D.; Ni, J.; Xie, D.; Li, Z. Removal of ammonium and nitrate by the hypothermia bacterium Pseudomonas putida Y-9 mainly through assimilation. Environ. Technol. Innovation 2021, 22, 101458. [Google Scholar] [CrossRef]
- Zhang, H.; Ma, B.; Huang, T.; Shi, Y. Nitrate reduction by the aerobic denitrifying actinomycete Streptomyces sp. XD-11-6-2: Performance, metabolic activity, and micro-polluted water treatment. Bioresour. Technol. 2021, 326, 124779. [Google Scholar] [CrossRef]









| d | 2θ | I fix | h | k | l |
|---|---|---|---|---|---|
| 2.02700 | 44.670 | 999 | −1 | −1 | 0 |
| 1.43330 | 65.018 | 130 | −2 | 0 | 0 |
| 1.17030 | 82.327 | 220 | −2 | −1 | −1 |
| 1.01350 | 98.935 | 67 | −2 | −2 | 0 |
| No. | Method | NO3 Initial Conc. | NO3 Removal Efficiency | Time | Refs. |
|---|---|---|---|---|---|
| 1 | zero-valent iron nanoparticles | 100 mg/L | 94.77% | 30 min | This work |
| 2 | sulfur/pyrite-based bioreactor | 50 mg/L | 99.20% | --- | [31] |
| 3 | polyoxometalates (POM)/TiO2/Cu | 30 mg/L | 76.53% | 6 h | [32] |
| 4 | Ti/PbO2 anode | 50 mg/L | 47.70% | 120 min | [33] |
| 5 | Chlorella vulgaris | 2322 mg/L | 85.60% | 17.2 h daily photoperiod in a 13-day culture | [34] |
| 6 | electrocoagulation | ----- | 88.48–94.1% | 120 min | [35] |
| 7 | semi and fully continuous-flow Donnan dialysis systems | ----- | 80% | 4 h | [36] |
| 8 | capacitive deionization with activated carbon/PVDF/polyaniline/ZrO2 composite electrode | 70 mg/L | 60.01% | 62 min | [37] |
| 9 | hypothermia bacterium Pseudomonas putida Y-9 | less than 100 mg/L | 82.00% | ------ | [38] |
| 10 | aerobic denitrifying actinomycete Streptomyces sp. XD-11-6-2 | ----- | 72.29% | ------ | [39] |
Publisher’s Note: MDPI stays neutral with regard to jurisdictional claims in published maps and institutional affiliations. |
© 2022 by the authors. Licensee MDPI, Basel, Switzerland. This article is an open access article distributed under the terms and conditions of the Creative Commons Attribution (CC BY) license (https://creativecommons.org/licenses/by/4.0/).
Share and Cite
Abdel-Lateef, H.M.; Khalaf, M.M.; Al-Fengary, A.E.-D.; Elrouby, M. Enhanced Nitrate Ions Remediation Using Fe0 Nanoparticles from Underground Water: Synthesis, Characterizations, and Performance under Optimizing Conditions. Materials 2022, 15, 5040. https://doi.org/10.3390/ma15145040
Abdel-Lateef HM, Khalaf MM, Al-Fengary AE-D, Elrouby M. Enhanced Nitrate Ions Remediation Using Fe0 Nanoparticles from Underground Water: Synthesis, Characterizations, and Performance under Optimizing Conditions. Materials. 2022; 15(14):5040. https://doi.org/10.3390/ma15145040
Chicago/Turabian StyleAbdel-Lateef, Hany M., Mai M. Khalaf, Alaa El-Dien Al-Fengary, and Mahmoud Elrouby. 2022. "Enhanced Nitrate Ions Remediation Using Fe0 Nanoparticles from Underground Water: Synthesis, Characterizations, and Performance under Optimizing Conditions" Materials 15, no. 14: 5040. https://doi.org/10.3390/ma15145040
APA StyleAbdel-Lateef, H. M., Khalaf, M. M., Al-Fengary, A. E.-D., & Elrouby, M. (2022). Enhanced Nitrate Ions Remediation Using Fe0 Nanoparticles from Underground Water: Synthesis, Characterizations, and Performance under Optimizing Conditions. Materials, 15(14), 5040. https://doi.org/10.3390/ma15145040

