Numerical Analysis of Transient Pressure Damping in Viscoelastic Pipes at Different Water Temperatures
Abstract
1. Introduction
2. Establishment of Mathematical Models
2.1. Governing Equations
2.1.1. Numerical Discretization of the Wall Shear Stress
2.1.2. Numerical Discretization of the Retarded Strain
2.2. Numerical Scheme
3. Simulation Results and Accuracy Evaluation
3.1. Simulation Results for the Pressure Head
3.2. Simulation Results for the Strain
3.3. Accuracy of the Numerical Results
3.3.1. Mean Absolute Percentage Error
3.3.2. Dimensionless Difference Value
4. Analysis and Discussion
4.1. Energy Analysis of the Numerical Results
4.1.1. Analysis of Viscoelasticity and Friction
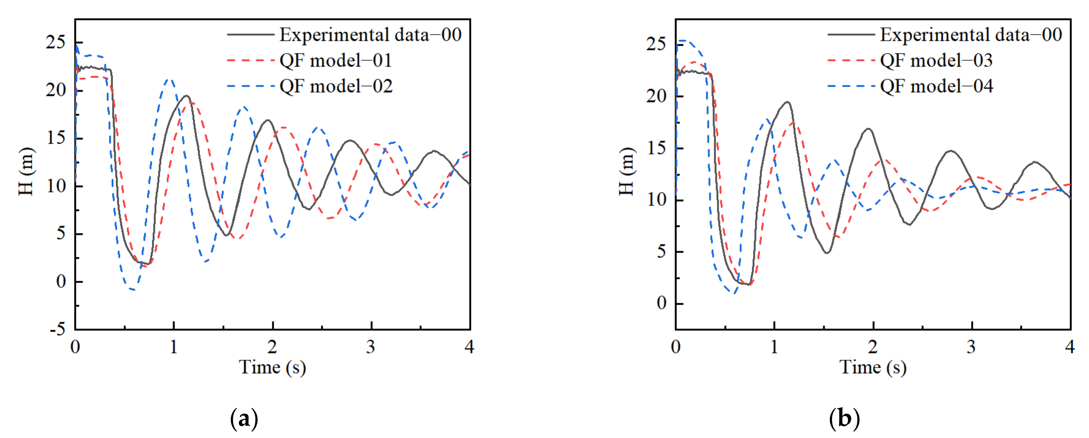
4.1.2. Analysis of the QF and UF Models
4.2. Discussion of the Contribution of the Viscoelastic Component at Different Water Temperatures
5. Conclusions
- (1)
- The MAPE and dimensionless difference values of the UF model at 13.8 °C are smaller than those of the QF model. However, there is a slight discrepancy in the simulation results between the QF and UF models at 25, 31, and 38.5 °C.
- (2)
- Higher temperatures result in a greater delay in the work performed by the viscoelasticity and a decrease in the frequency of work performed by the viscoelasticity. The positive and negative variation trends in the work performed by the viscoelasticity are consistent with the increasing and decreasing trends in the pressure. At a given water temperature (25, 31, or 38.5 °C), the effect of the viscoelasticity on the peak pressure damping is dominant relative to the friction.
- (3)
- The maximum value and variability of the work performed by the QF and UF models at different temperatures exhibit slight differences. The work performed by the QF and UF models decreases dramatically as the dimensionless time increases.
- (4)
- At higher temperatures, the VE component plays a more important role than the frictional component in the transient model for peak pressure damping. There is no significant difference in the contributions obtained by the QF and UF components in the model (the difference in the contribution rates is approximately 0.05%, and at 13.8 °C the difference in the contribution rates is approximately 0.3%).
Author Contributions
Funding
Institutional Review Board Statement
Informed Consent Statement
Data Availability Statement
Conflicts of Interest
References
- Duan, H.F.; Pan, B.; Wang, M.L.; Chen, L. State-of-the-art review on the transient flow modeling and utilization for urban water supply system (UWSS) management. J. Water Supply Res. Technol. 2020, 69, 858–893. [Google Scholar] [CrossRef]
- Urbanowicz, K.; Duan, H.F.; Bergant, A. Transient liquid flow in plastic pipes. J. Mech. Eng. 2020, 66, 77–90. [Google Scholar] [CrossRef]
- Tan, W.C.; Hin, T.T.; Aik, L.K.; Aik, L.E. Investigation of water hammer effect through pipeline system. Int. J. Adv. Sci. Eng. Inf. Technol. 2012, 2, 48–53. [Google Scholar]
- Ghidaoui, M.S.; Zhao, M.; Mclnnis, D.A.; Axworthy, D.H. A review of water hammer theory and practice. Appl. Mech. Rev. 2005, 58, 49–76. [Google Scholar] [CrossRef]
- Tseng, H.C.; Wu, J.S.; Chang, R.Y. Linear viscoelasticity and thermorheological simplicity of n-hexadecane fluids under oscillatory shear via non-equilibrium molecular dynamics simulations. Phys. Chem. Chem. Phys. 2010, 12, 4051–4065. [Google Scholar] [CrossRef] [PubMed]
- Achouyab, E.H.; Bahrar, B. Modeling of transient flow in plastic pipes. Contemp. Eng. Sci. 2013, 6, 35–47. [Google Scholar] [CrossRef][Green Version]
- Covas, I.S.; Ramos, H.; Graham, N.; Maksimović, C.; Butler, D. Water hammer in pressurized polyethylene pipes: Conceptual model and experimental analysis. Urban Water J. 2004, 1, 177–197. [Google Scholar] [CrossRef]
- Cao, Z.; Wang, Z.; Deng, J.; Guo, X.; Lu, L. Unsteady friction model modified with compression-expansion effects in transient pipe flow. AQUA-Water Infrastruct. Ecosyst. Soc. 2022, 71, 330–344. [Google Scholar]
- Urbanowicz, K. Fast and accurate modelling of frictional transient pipe flow. Z. Angew. Math. Mech. 2018, 98, 802–823. [Google Scholar] [CrossRef]
- Pezzinga, G. Unsteady flow in hydraulic networks with polymeric additional pipe. J. Hydraul. Eng. 2002, 128, 238–244. [Google Scholar] [CrossRef]
- Abdeldayem, O.M.; Ferràs, D.; van der Zwan, S.; Kennedy, M. Analysis of Unsteady Friction Models Used in Engineering Software for Water Hammer Analysis: Implementation Case in WANDA. Water 2021, 13, 495. [Google Scholar] [CrossRef]
- Pezzinga, G. Evaluation of time evolution of mechanical parameters of polymeric pipes by unsteady flow runs. J. Hydraul. Eng. 2014, 140, 04014057. [Google Scholar] [CrossRef]
- Wahba, E.M. On the two-dimensional characteristics of laminar fluid transients in viscoelastic pipes. J. Fluids Struct. 2017, 68, 113–124. [Google Scholar] [CrossRef]
- Ghidaoui, M.S.; Mansour, S.; Zhao, M. Applicability of quasi-steady and axisymmetric turbulence models in water hammer. J. Hydraul. Eng. 2002, 128, 917–924. [Google Scholar] [CrossRef]
- Pezzinga, G. Evaluation of unsteady flow resistances by quasi-2D or 1D models. Technical note. J. Hydraul. Eng. 2000, 126, 778–785. [Google Scholar] [CrossRef]
- Covas, I.S.; Ramos, H.; Graham, N.; Maksimović, C. The dynamic effect of pipe-wall viscoelasticity in hydraulic transients. Part I—Experimental analysis and creep characterization. J. Hydraul. Res. 2004, 42, 517–532. [Google Scholar] [CrossRef]
- Duan, H.F.; Soares, A.K.; Covas, D.I.C.; Reis, L.F.R. Discussion of ‘analysis of PVC pipe-wall viscoelasticity during water hammer’. J. Hydraul. Eng. 2010, 136, 547–548. [Google Scholar] [CrossRef]
- Duan, H.F.; Meniconi, S.; Lee, P.J.; Brunone, B.; Ghidaoui, M.S. Local and integral energy-based evaluation for the unsteady friction relevance in transient pipe flows. J. Hydraul. Eng. 2017, 143, 04017015. [Google Scholar] [CrossRef]
- Duan, H.F.; Ghidaoui, M.S.; Lee, P.J.; Tung, Y.K. Relevance of unsteady friction to pipe size and length in pipe fluid transients. J. Hydraul. Eng. 2012, 136, 154–166. [Google Scholar] [CrossRef]
- Seck, A. Numerical solutions of hyperbolic systems of conservation laws combining unsteady friction and viscoelastic pipes. J. Hydroinformatics 2020, 6, 103–116. [Google Scholar] [CrossRef]
- Neuhaus, T.; Dudlik, A.; Tijsseling, A.S. Experiments and comparing calculations on thermohydraulic pressure surges in pipes. Kerntechnik 2006, 71, 87–94. [Google Scholar] [CrossRef]
- Saidani, A.; Fourar, A.; Massouh, F. Influence of temperature on transient flow with cavitation in copper pipe-rig. Model. Earth Sys. Environ. 2022, 8, 2449–2459. [Google Scholar] [CrossRef]
- Mousavifard, M. Turbulence parameters during transient cavitation flow in viscoelastic pipe. J. Hydraul. Eng. 2022, 148, 04022004. [Google Scholar] [CrossRef]
- Pezzinga, G. Quasi-2D model for unsteady flow in pipe networks. J. Hydraul. Eng. 1999, 125, 676–685. [Google Scholar] [CrossRef]
- Vitkovsky, J.; Lambert, M.; Simpson, A.; Bergant, A. Advances in Unsteady Friction Modelling in Transient Pipe Flow. In Proceedings of the International Conference on Pressure Surges, Hague, The Netherlands, 12–14 April 2000. [Google Scholar]
- Vítkovský, J.P.; Bergant, A.; Simpson, A.R.; Lambert, M.F. Systematic evaluation of one-dimensional unsteady friction models in simple pipelines. J. Hydraul. Eng. 2008, 132, 696–708. [Google Scholar] [CrossRef]
- Vardy, A.E.; Brown, J.M.B. Transient turbulent friction in smooth pipe flows. J. Sound Vib. 2003, 259, 1011–1036. [Google Scholar] [CrossRef]
- Nixon, W.; Ghidaoui, M.S. Numerical sensitivity study of unsteady friction in simple systems with external flows. J. Hydraul. Eng. 2007, 133, 736–749. [Google Scholar] [CrossRef]
- Urbanowicz, K.; Firkowski, M. Modeling Water Hammer with Quasi-Steady and Unsteady Friction in Viscoelastic Pipelines. In Recent Developments in Mathematical Modelling of Dynamical Systems, Proceedings of the 14th International Conference on Dynamical Systems—Theory and Applications (DSTA), Lodz, Poland, 11–14 December 2017; Springer: Cham, Switzerland, 2018; Volume 249, pp. 385–399. [Google Scholar]
- Vardy, A.E.; Hwang, K.L.A. Weighting function model of transient turbulent pipe friction. J. Hydraul. Res. 1993, 31, 533–548. [Google Scholar] [CrossRef]
- Covas, D.; Stoianov, I.; Mano, J.F.; Ramos, H.; Graham, N.; Maksimovic, C. The dynamic effect of pipe-wall viscoelasticity in hydraulic transients. Part II: Model development, calibration and verification. J. Hydraul. Res. 2005, 43, 56–70. [Google Scholar] [CrossRef]
- Keramat, A.; Tijsseling, A.S.; Hou, Q. Fluid–structure interaction with pipe-wall viscoelasticity during water hammer. J. Fluids Structur. 2012, 28, 434–455. [Google Scholar] [CrossRef]
- Gally, M.; Güney, M.; Rieutord, E. An investigation of pressure transients in viscoelastic pipes. J. Fluids Eng. 1979, 101, 498. [Google Scholar] [CrossRef]
- Duan, H.F.; Ghidaoui, M.; Lee, P.J.; Tung, Y.K. Unsteady friction and viscoelasticity in pipe fluid transients. J. Hydraul. Res. 2010, 48, 354–362. [Google Scholar] [CrossRef]
- Urbanowicz, K.; Firkowski, M. Effect of creep compliance derivative in modeling water hammer in viscoelastic pipes. BHR Press. Surges 2018, 13, 305–324. [Google Scholar]
- Firkowski, M.; Urbanowicz, K.; Duan, H.F. Simulation of unsteady flow in viscoelastic pipes. SN Appl. Sci. 2019, 1, 159. [Google Scholar] [CrossRef]
- Cao, H.; Nistor, I.; Mohareb, M.E. Effect of boundary on water hammer wave attenuation and shape. J. Hydraul. Eng. 2020, 146, 04020001. [Google Scholar] [CrossRef]
- Urbanowicz, K. Analytical expressions for effective weighting functions used during simulations of water hammer. J. Theor. Appl. Mech. 2017, 55, 1029–1040. [Google Scholar] [CrossRef][Green Version]













| Test | Temperature (°C) | Reservoir Pressure (×105 Pa) | Initial Velocity (m/s) | Pressure Wave Speeds (m/s) | Water Kinematic Viscosity (×10−6 m2/s) | Reynolds Number | Water Bulk Modulus (×109 Pa) | Water Density (kg/m3) | Darcy–Weisbach Friction Factor |
|---|---|---|---|---|---|---|---|---|---|
| Case 1 | 13.8 | 1.0593 | 0.49 | 379.4 | 1.17 | 17,422 | 2.14 | 999.3 | 0.0268 |
| Case 2 | 25 | 1.0661 | 0.55 | 369.4 | 0.892 | 25,650 | 2.24 | 997.1 | 0.0244 |
| Case 3 | 31 | 1.0670 | 0.57 | 381.2 | 0.784 | 30,245 | 2.27 | 995.3 | 0.0234 |
| Case 4 | 38.5 | 1.0649 | 0.56 | 470.9 | 0.675 | 34,513 | 2.295 | 992.6 | 0.0227 |
| Test | T(℃) | J0 10−9 Pa−1 | J1 10−9 Pa−1 | J2 10−9 Pa−1 | J3 10−9 Pa−1 | τk1 10−4 s | τk2(s) | τk3(s) |
|---|---|---|---|---|---|---|---|---|
| Case 1 | 13.8 | 1.414 | 0.516 | 0.637 | 0.871 | 0.56 | 0.0166 | 1.747 |
| Case 2 | 25 | 1.542 | 0.754 | 1.046 | 1.237 | 0.89 | 0.0222 | 1.864 |
| Case 3 | 31 | 1.791 | 1.009 | 1.397 | 1.628 | 1.15 | 0.0221 | 1.822 |
| Case 4 | 38.5 | 2.239 | 1.479 | 2.097 | 3.57 | 1.24 | 0.0347 | 3.077 |
| Case | J0 10−9 Pa−1 | J1 10−9 Pa−1 | J2 10−9 Pa−1 | J3 10−9 Pa−1 | τk1 10−4 s | τk2(s) | τk3(s) |
|---|---|---|---|---|---|---|---|
| 00 | 1.542 | 0.754 | 1.046 | 1.237 | 0.89 | 0.0222 | 1.864 |
| 01 | 1.542 | 0.9802 | 1.3598 | 1.6081 | 0.89 | 0.0222 | 1.864 |
| 02 | 1.542 | 0.5278 | 0.7322 | 0.8659 | 0.89 | 0.0222 | 1.864 |
| 03 | 1.542 | 0.754 | 1.046 | 1.237 | 0.089 | 0.00222 | 0.1864 |
| 04 | 1.542 | 0.754 | 1.046 | 1.237 | 8.9 | 0.222 | 18.64 |
Publisher’s Note: MDPI stays neutral with regard to jurisdictional claims in published maps and institutional affiliations. |
© 2022 by the authors. Licensee MDPI, Basel, Switzerland. This article is an open access article distributed under the terms and conditions of the Creative Commons Attribution (CC BY) license (https://creativecommons.org/licenses/by/4.0/).
Share and Cite
Sun, Q.; Zhang, Z.; Wu, Y.; Xu, Y.; Liang, H. Numerical Analysis of Transient Pressure Damping in Viscoelastic Pipes at Different Water Temperatures. Materials 2022, 15, 4904. https://doi.org/10.3390/ma15144904
Sun Q, Zhang Z, Wu Y, Xu Y, Liang H. Numerical Analysis of Transient Pressure Damping in Viscoelastic Pipes at Different Water Temperatures. Materials. 2022; 15(14):4904. https://doi.org/10.3390/ma15144904
Chicago/Turabian StyleSun, Qiang, Zhilin Zhang, Yuebin Wu, Ying Xu, and Huan Liang. 2022. "Numerical Analysis of Transient Pressure Damping in Viscoelastic Pipes at Different Water Temperatures" Materials 15, no. 14: 4904. https://doi.org/10.3390/ma15144904
APA StyleSun, Q., Zhang, Z., Wu, Y., Xu, Y., & Liang, H. (2022). Numerical Analysis of Transient Pressure Damping in Viscoelastic Pipes at Different Water Temperatures. Materials, 15(14), 4904. https://doi.org/10.3390/ma15144904
