An in-House System for the Precise Measurement of Electrical Potentials and Mechanical Properties of Soft Tissues: Design and Validation Using Adult Mammalian Tendon Fascicle Bundles
Abstract
:1. Introduction
2. Development of a System for the Measurement of Electrical Potentials and Mechanical Properties of Tendon Fascicle Bundles
2.1. Stand for Mechanical Testing: Design of the System
2.2. Device for Precise Measurement of Potential Difference during Tissue Deformation
- Differential measurement range: from ±400 mV to ±3.25 V
- Measurement resolution: 1 V
- Measurement accuracy: 1 V for ± 400 mV range, 1.5 V for ± 3.25 V range
- Sampling frequency: 50 Hz
- Network noise suppression: minimum 120 dB
2.3. Validation Procedure of Our Developed System Using Mammalian Tendon Fascicle Bundles
2.4. Calculations and Statistics
3. Results and Discussion
- Porcine: 11.223 mm, 11.079 mm (std: 2.609)
- Bovine: 16.851 mm, 16.782 mm (std: 6.302)
- Deer: 17.013 mm, 22.846 mm (std: 10.386)
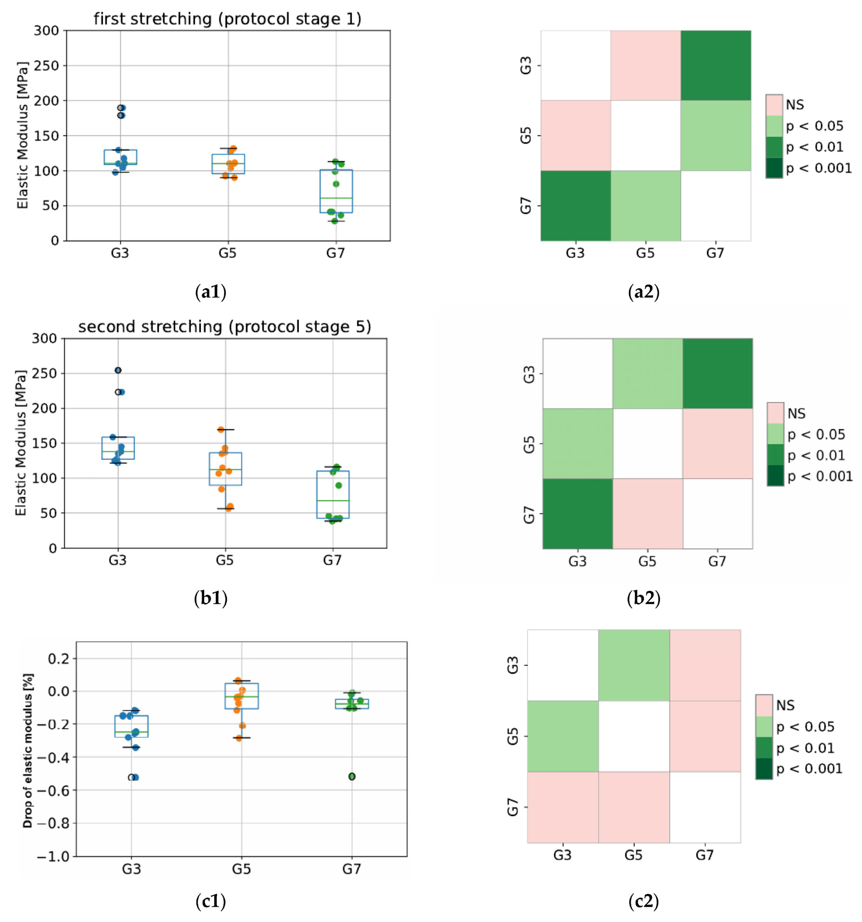
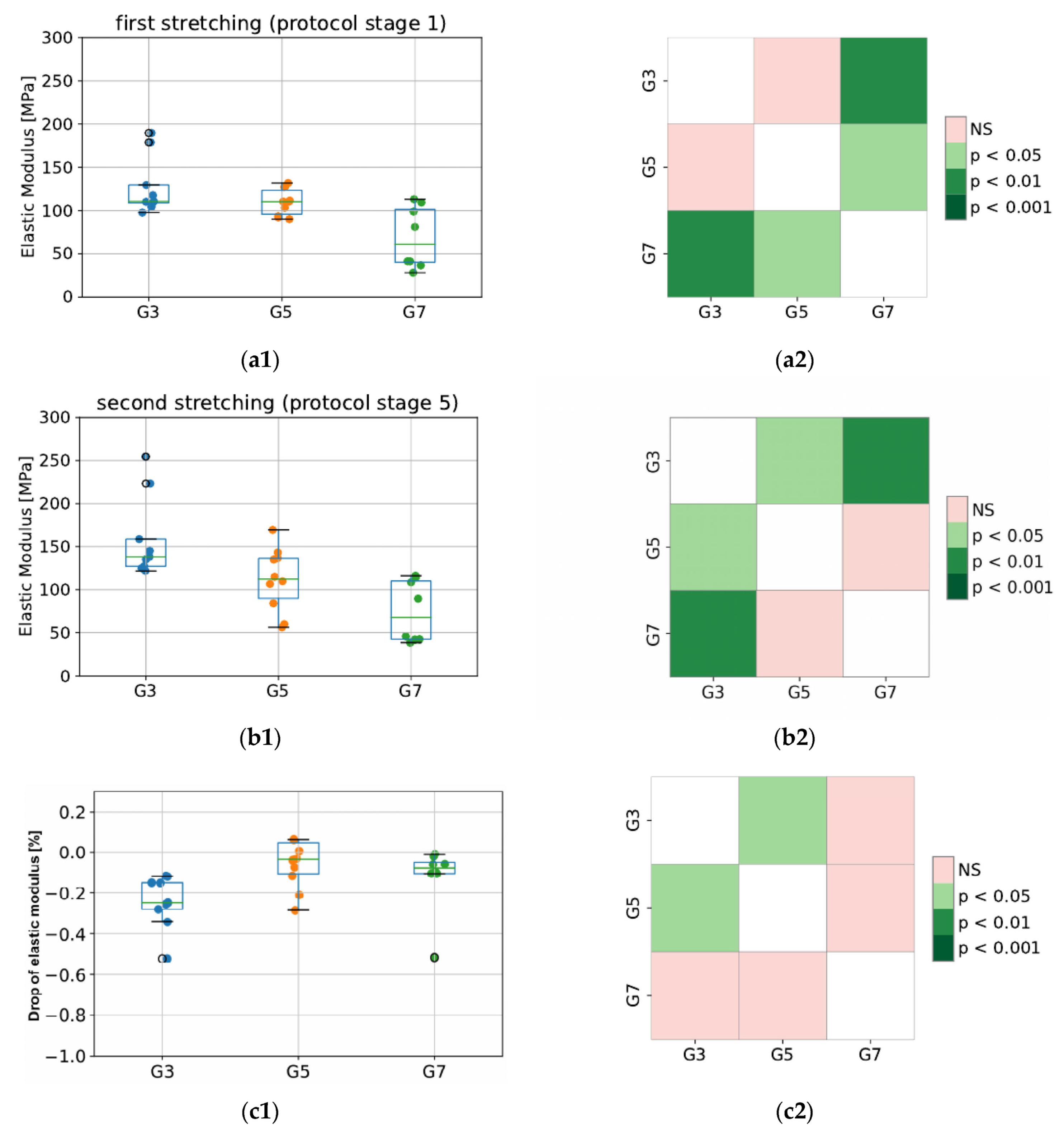
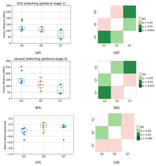
3.1. Evaluation of Elastic Properties of Tendon Fascicle Bundles
3.2. Evaluation of Viscoelastic Properties of Tendon Fascicle Bundles
3.3. Evaluation of Changes in Electrical Potential of the Tissue
4. Conclusions
- How does the size of sample CSA affect the values of generated electric potential?
- Does the change in electric potential of the tendon depend on the strain rate or the duration of sample unloading and relaxation?
- What phenomena or internal sample conditions cause the unusual voltage waveforms over time?
- How does the type of deformation and the stress value affect the generation of electric potential in tendons Figure 9?
Author Contributions
Funding
Institutional Review Board Statement
Data Availability Statement
Acknowledgments
Conflicts of Interest
Abbreviations
| SMT | Stand for Mechanical Testing |
| DPMPD | Device for Precise Measurement Potential Difference |
| SDFT | Superficial Digital Flexor Tendon |
| CDET | Common Digital Extensor Tendon |
| CSA | Cross-Section Area |
References
- Tang, J.B. Tendon injuries across the world: Treatment. Injury 2006, 37, 1036–1042. [Google Scholar] [CrossRef] [PubMed]
- Böhm, S.; Strauß, C.; Stoiber, S.; Kasper, C.; Charwat, V. Impact of source and manufacturing of collagen matrices on fibroblast cell growth and platelet aggregation. Materials 2017, 10, 1086. [Google Scholar] [CrossRef] [PubMed] [Green Version]
- Ribeiro, C.; Sencadas, V.; Correia, D.M.; Lanceros-Méndez, S. Piezoelectric polymers as biomaterials for tissue engineering applications. Colloids Surf. B Biointerfaces 2015, 136, 46–55. [Google Scholar] [CrossRef] [PubMed] [Green Version]
- Williams, W.S.; Breger, L. Piezoelectricity in tendon and bone. J. Biomech. 1975, 8, 407–413. [Google Scholar] [CrossRef]
- Marino, A.A.; Becker, R.O. Piezoelectricity in hydrated frozen bone and tendon. Nature 1975, 253, 627–628. [Google Scholar] [CrossRef] [PubMed]
- Nguyen, T.D.; Hu, A.C.; Protsenko, D.E.; Wong, B.J. Effects of electromechanical reshaping on mechanical behavior of exvivo bovine tendon. Clin. Biomech. 2020, 73, 92–100. [Google Scholar] [CrossRef]
- Manuel, C.T.; Foulad, A.; Protsenko, D.E.; Sepehr, A.; Wong, B.J. Needle electrode-based electromechanical reshaping of cartilage. Ann. Biomed. Eng. 2010, 38, 3389–3397. [Google Scholar] [CrossRef] [Green Version]
- Manuel, C.T.; Tjoa, T.; Nguyen, T.; Su, E.; Wong, B.J. Optimal electromechanical reshaping of the auricular ear and long-term outcomes in an in vivo rabbit model. JAMA Facial Plast. Surg. 2016, 18, 277–284. [Google Scholar] [CrossRef] [Green Version]
- Moy, W.J.; Su, E.; Chen, J.J.; Oh, C.; Jing, J.C.; Qu, Y.; He, Y.; Chen, Z.; Wong, B.J. Association of electrochemical therapy with optical, mechanical, and acoustic impedance properties of porcine skin. JAMA Facial Plast. Surg. 2017, 19, 502–509. [Google Scholar] [CrossRef] [Green Version]
- Hussain, S.; Manuel, C.T.; Protsenko, D.E.; Wong, B.J. Electromechanical reshaping of ex vivo porcine trachea. Laryngoscope 2015, 125, 1628–1632. [Google Scholar] [CrossRef] [Green Version]
- Hunter, B.M.; Kallick, J.; Kissel, J.; Herzig, M.; Manuel, C.; Protsenko, D.; Wong, B.J.; Hill, M.G. Controlled-Potential Electromechanical Reshaping of Cartilage. Angew. Chem. Int. Ed. 2016, 55, 5497–5500. [Google Scholar] [CrossRef] [PubMed]
- Liu, J.; Gu, H.; Liu, Q.; Ren, L.; Li, G. An intelligent material for tissue reconstruction: The piezoelectric property of polycaprolactone/barium titanate composites. Mater. Lett. 2019, 236, 686–689. [Google Scholar] [CrossRef]
- Du, L.; Li, T.; Jin, F.; Wang, Y.; Li, R.; Zheng, J.; Wang, T.; Feng, Z.Q. Design of high conductive and piezoelectric poly (3,4-ethylenedioxythiophene)/chitosan nanofibers for enhancing cellular electrical stimulation. J. Colloid Interface Sci. 2020, 559, 65–75. [Google Scholar] [CrossRef] [PubMed]
- Dabrowska, S.; Ekiert, M.; Wojcik, K.; Kalemba, M.; Mlyniec, A. A 3D scanning system for inverse analysis of moist biological samples: Design and validation using tendon fascicle bundles. Sensors 2020, 20, 3847. [Google Scholar] [CrossRef]
- Watson, T. The role of electrotherapy in contemporary physiotherapy practice. Man. Ther. 2000, 5, 132–141. [Google Scholar] [CrossRef]
- Muench, J.R.; Thelen, D.G.; Henak, C.R. Interfibrillar shear behavior is altered in aging tendon fascicles. Biomech. Model. Mechanobiol. 2020, 19, 841–849. [Google Scholar] [CrossRef]
- Meng, L.; Liu, Q.; Xue, G.; Xie, T.; Fan, D.; Gou, X. Development of an electromechanical testing and loading system for cell-biomaterial interaction study. In Proceedings of the IEEE/ASME International Conference on Advanced Intelligent Mechatronics AIM, Hong Kong, China, 8–12 July 2019; pp. 1635–1640. [Google Scholar] [CrossRef]
- Nesbitt, S.; Scott, W.; Macione, J.; Kotha, S. Collagen fibrils in skin orient in the direction of applied uniaxial load in proportion to stress while exhibiting differential strains around hair follicles. Materials 2015, 8, 1841–1857. [Google Scholar] [CrossRef] [Green Version]
- Legerlotz, K.; Riley, G.P.; Screen, H.R. Specimen dimensions influence the measurement of material properties in tendon fascicles. J. Biomech. 2010, 43, 2274–2280. [Google Scholar] [CrossRef] [Green Version]
- Ekiert, M.; Karbowniczek, J.; Stachewicz, U.; Mlyniec, A. The effect of multiple freeze-thaw cycles on the viscoelastic properties and microstructure of bovine superficial digital flexor tendon. J. Mech. Behav. Biomed. Mater. 2021, 120, 104582. [Google Scholar] [CrossRef]
- Ekiert, M.; Tomaszewski, K.A.; Mlyniec, A. The differences in viscoelastic properties of subtendons result from the anatomical tripartite structure of human Achilles tendon - ex vivo experimental study and modeling. Acta Biomater. 2021, 125, 138–153. [Google Scholar] [CrossRef]
- Stauber, T.; Blache, U.; Snedeker, J.G. Tendon tissue microdamage and the limits of intrinsic repair. Matrix Biol. 2020, 85-86, 68–79. [Google Scholar] [CrossRef] [PubMed]
- Abdelhamid, T.; Chen, R.; Alam, M.M. Nonlinear conjugate gradient method for identifying Young’s modulus of the elasticity imaging inverse problem. Inverse Probl. Sci. Eng. 2021, 29, 2165–2185. [Google Scholar] [CrossRef]
- Cuevas, A.; Febrero, M.; Fraiman, R. An anova test for functional data. Comput. Stat. Data Anal. 2004, 47, 111–122. [Google Scholar] [CrossRef]
- Kim, T.K. T test as a parametric statistic. Korean J. Anesthesiol. 2015, 68, 540. [Google Scholar] [CrossRef] [PubMed] [Green Version]
- Weisstein, E.W. Bonferroni Correction. 2004. Available online: https://mathworld.wolfram.com/BonferroniCorrection.html (accessed on 19 June 2022).
- Batson, E.L.; Paramour, R.J.; Smith, T.J.; Birch, H.L.; Patterson-Kane, J.C.; Goodship, A.E. Are the material properties and matrix composition of equine flexor and extensor tendons determined by their functions? Equine Vet. J. 2003, 35, 314–318. [Google Scholar] [CrossRef]
- Herod, T.W.; Chambers, N.C.; Veres, S.P. Collagen fibrils in functionally distinct tendons have differing structural responses to tendon rupture and fatigue loading. Acta Biomater. 2016, 42, 296–307. [Google Scholar] [CrossRef] [PubMed]
- Mlyniec, A.; Dabrowska, S.; Heljak, M.; Weglarz, W.P.; Wojcik, K.; Ekiert-Radecka, M.; Obuchowicz, R.; Swieszkowski, W. The dispersion of viscoelastic properties of fascicle bundles within the tendon results from the presence of interfascicular matrix and flow of body fluids. Mater. Sci. Eng. C 2021, 130, 112435. [Google Scholar] [CrossRef]
- Kubo, K.; Kawakami, Y.; Kanehisa, H.; Fukunaga, T. Measurement of viscoelastic properties of tendon structures in vivo. Scand. J. Med. Sci. Sport. 2002, 12, 3–8. [Google Scholar] [CrossRef]
- Kumar, C.; Gaur, A.; Tiwari, S.; Biswas, A.; Rai, S.K.; Maiti, P. Bio-waste polymer hybrid as induced piezoelectric material with high energy harvesting efficiency. Compos. Commun. 2019, 11, 56–61. [Google Scholar] [CrossRef]
- Safwat, T.; Ounaies, Z.; Rahn, C.D. Modeling and design of electromagnetic and piezoelectric chest strain energy harvesters including soft tissue effects. In Active and Passive Smart Structures and Integrated Systems XII; SPIE: Bellingham, WA, USA, 2018; p. 67. [Google Scholar] [CrossRef]









Publisher’s Note: MDPI stays neutral with regard to jurisdictional claims in published maps and institutional affiliations. |
© 2022 by the authors. Licensee MDPI, Basel, Switzerland. This article is an open access article distributed under the terms and conditions of the Creative Commons Attribution (CC BY) license (https://creativecommons.org/licenses/by/4.0/).
Share and Cite
Kalemba, M.; Ekiert-Radecka, M.; Wajdzik, M.; Mlyniec, A. An in-House System for the Precise Measurement of Electrical Potentials and Mechanical Properties of Soft Tissues: Design and Validation Using Adult Mammalian Tendon Fascicle Bundles. Materials 2022, 15, 4444. https://doi.org/10.3390/ma15134444
Kalemba M, Ekiert-Radecka M, Wajdzik M, Mlyniec A. An in-House System for the Precise Measurement of Electrical Potentials and Mechanical Properties of Soft Tissues: Design and Validation Using Adult Mammalian Tendon Fascicle Bundles. Materials. 2022; 15(13):4444. https://doi.org/10.3390/ma15134444
Chicago/Turabian StyleKalemba, Marek, Martyna Ekiert-Radecka, Marek Wajdzik, and Andrzej Mlyniec. 2022. "An in-House System for the Precise Measurement of Electrical Potentials and Mechanical Properties of Soft Tissues: Design and Validation Using Adult Mammalian Tendon Fascicle Bundles" Materials 15, no. 13: 4444. https://doi.org/10.3390/ma15134444
APA StyleKalemba, M., Ekiert-Radecka, M., Wajdzik, M., & Mlyniec, A. (2022). An in-House System for the Precise Measurement of Electrical Potentials and Mechanical Properties of Soft Tissues: Design and Validation Using Adult Mammalian Tendon Fascicle Bundles. Materials, 15(13), 4444. https://doi.org/10.3390/ma15134444

