Investigation of Surface Micro-Mechanical Properties of Various Asphalt Binders Using AFM
Abstract
:1. Introduction
2. Materials
3. Methodology
3.1. Testing Method
3.1.1. Asphalt Binder Preparation in Different States
- (1)
- Aging. The asphalt binder was aged at 163 °C for 85 min using a rotating film oven, and then taken out for sample preparation.
- (2)
- Immersion in water. Put the prepared asphalt sample into a vessel filled with water, and the water level submerges the asphalt sample, soak it for 24 h, take it out, and let it dry for testing.
- (3)
- Anti-stripping agent. The asphalt was heated to 165 °C, an anti-stripping agent of 0.5% of the asphalt mass was added, and the samples were prepared after stirring uniformly.
3.1.2. Sample Preparation
- Step 1:
- Place the rectangular mica sheet (18 mm × 13 mm × 0.1 mm) on the slide and place the ring mold (10 mm outer diameter, 8 mm inner diameter) on the rectangular mica sheet.
- Step 2:
- Heat the asphalt binder 150–160 °C, naturally drop the liquid asphalt to the ring mold, and then put it into the 150–160 °C oven for 20 min to smooth the sample surface.
- Step 3:
- Remove the asphalt binder sample into airtight plastic trays for airtight storage.
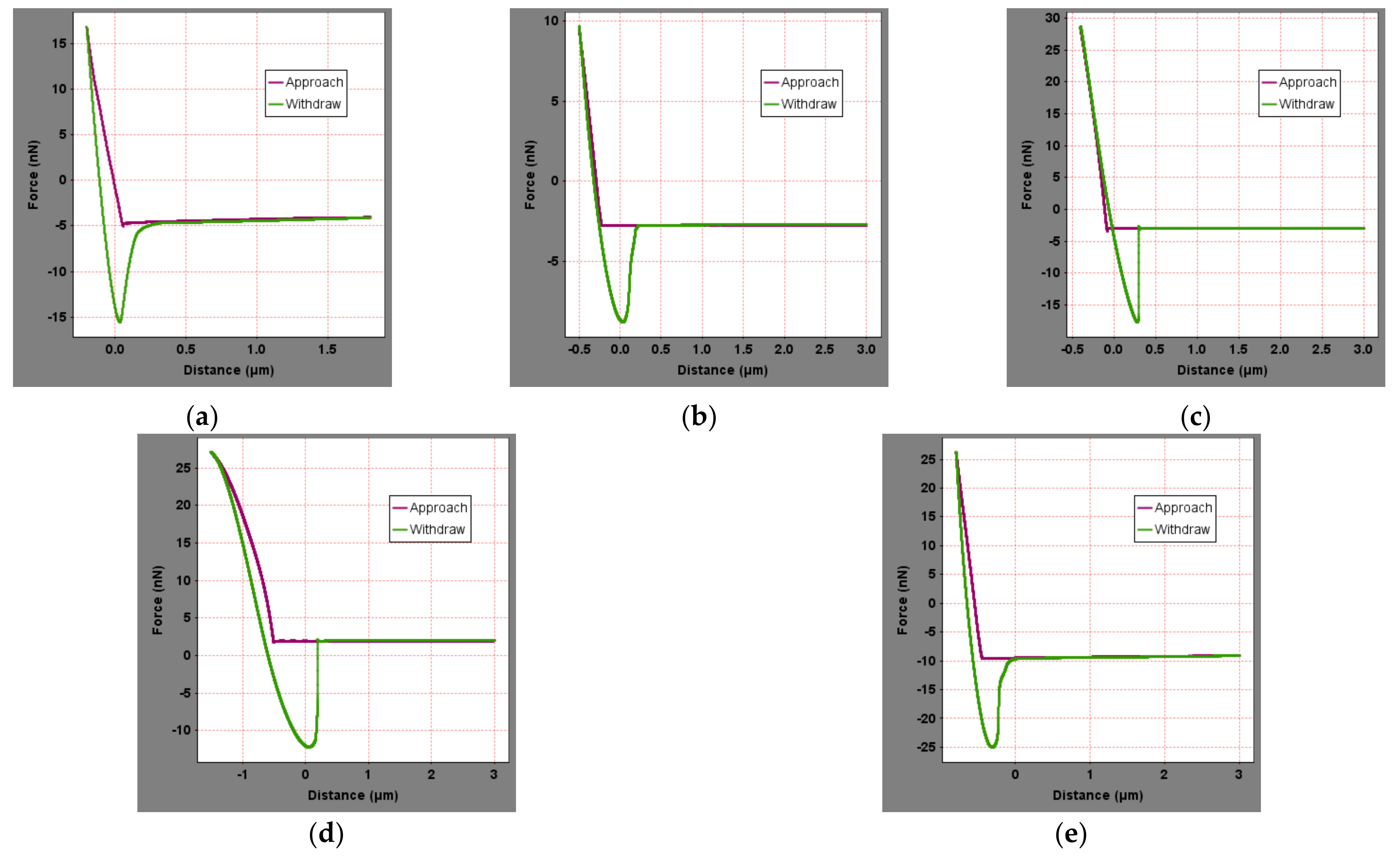
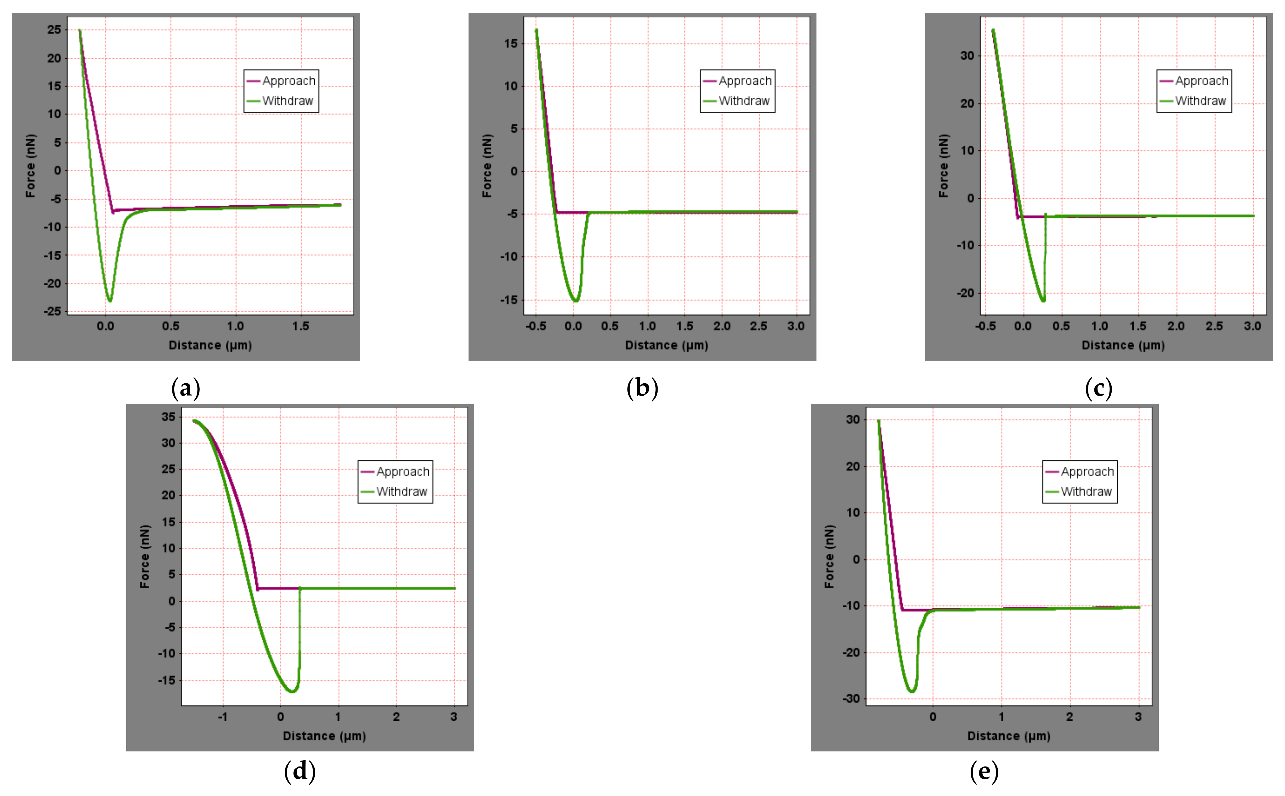
3.1.3. Force Curve Test
- Step 1:
- Place the asphalt binder sample on the AFM carrier table, set the scan area and frequency, and conduct a sensitivity test for the probe.
- Step 2:
- In tapping mode, scan the surface micro-topography of the asphalt binder sample, and mark the peak, valley, and other flat areas of asphalt binder.
- Step 3:
- Switch to the contact mode to obtain the force curves of marked the peak, valley, and other flat areas.
3.2. Micro-Mechanical Properties
3.2.1. Surface Micromechanics Indicators
- (1)
- Elastic modulus E
- (2)
- Surface nanohardness H
3.2.2. Area-Weighted Average of Surface Micromechanics Indicators
4. Results and Discussion
4.1. Influence of Asphalt Binder Type
4.2. Influence of Aging
4.3. Influence of Water
4.4. Influence of Anti-Stripping Agent
5. Conclusions
- (1)
- Micromechanical properties of asphalt binder were affected by grade, oil source and modification. Micromechanical properties decreased with the increase of asphalt grade (SK-90 < SK-70). The oil source has an effect on micromechanical properties of the asphalt binder (SK-70 < KL-70 < Shell-70). Micromechanical properties of the modified asphalt were better than those of unmodified (Shell-70 < modified-Shell).
- (2)
- The aging resistance of modified asphalt binder was better than that of unmodified. The aging behavior increased the elastic modulus and nanohardness of the unmodified asphalt binder by 20.01–22.28% and 35.66–38.04%, respectively, and increased that of the modified asphalt binder by 13.05% and 20.83%, respectively.
- (3)
- Water immersion reduces the micromechanical properties of asphalt binder. After being immersed in water, the elastic modulus of the five asphalt binders decreased by 4–6%, and the nanohardness decreased by 6–8%.
- (4)
- The effect of the anti-stripping agent on the modified asphalt binder is greater than that of the unmodified asphalt binder. After adding the anti-stripping agent, the elastic modulus and nanohardness of the unmodified asphalt binder decreased by 16.51–20.67% and 22.24–25.78%, respectively, and that of the modified asphalt binder decreased by 12.24% and 19.56%, respectively.
6. Suggestions for Further Research
Author Contributions
Funding
Conflicts of Interest
References
- Wang, C.; Wang, M.; Chen, Q.; Zhang, L. Basic performance and asphalt smoke absorption effect of environment-friendly asphalt to improve pavement construction environment. J. Clean. Prod. 2022, 333, 130142. [Google Scholar] [CrossRef]
- Ji, X.; Hou, Y.; Zou, H.; Chen, B.; Jiang, Y. Study of surface microscopic properties of asphalt based on atomic force microscopy. Constr. Build. Mater. 2020, 242, 118025. [Google Scholar] [CrossRef]
- Gong, X. Multi-Scale Domain Mechanical Behavior and Unified Model of Asphalt Pavement Materials; Harbin Institute of Technology: Harbin, China, 2017. [Google Scholar]
- Rebelo, L.; de Sousa, J.; Abreu, A.; Baroni, M.P.M.A.; Alencar, A.; Soares, S.; Filho, J.M.; Soares, J. Aging of asphaltic binders investigated with atomic force microscopy. Fuel 2014, 117, 15–25. [Google Scholar] [CrossRef]
- Lv, P. Using Atomic Force Microscope to Study the Effect of Sample Thickness on Fracture Energy of Asphalt; China University of Petroleum (East China): Dongying, China, 2013. [Google Scholar]
- Bellitto, V. (Ed.) Atomic Force Microscopy: Imaging, Measuring and Manipulating Surfaces at the Atomic Scale; Intech: Rijeka, Croatia, 2012. [Google Scholar]
- Nazzal, M.D.; Abu-Qtaish, L.; Kaya, S.; Powers, D. Using Atomic Force Microscopy to Evaluate the Nanostructure and Nanomechanics of Warm Mix Asphalt. J. Mater. Civ. Eng. 2015, 27, 04015005. [Google Scholar] [CrossRef]
- Nivedya, M.K.; Trottier, T.G.; Yu, X.; Tao, M.; Burnham, N.A.; Mallick, R.B. Microstructural Evolution of Asphalt Binder under Combined Action of Water and Pressure. J. Transp. Eng. Part B Pavements 2019, 145, 06019001. [Google Scholar] [CrossRef]
- Fu, M.; Wang, H.C.; Hong, Y.S. Micro/nano-scale material mechanical properties testing. Prog. Mech. 2000, 3, 391–399. [Google Scholar]
- García, A.; Aguiar-Moya, J.P.; Salazar-Delgado, J.; Baldi-Sevilla, A.; Loría-Salazar, L.G. Methodology for estimating the modulus of elasticity of bitumen under different aging conditions by AFM. Road Mater. Pavement Des. 2019, 20 (Suppl. S1), S332–S346. [Google Scholar] [CrossRef]
- Liping, L. A Method of Determination of Micro Scale Properties of Asphalt Components in Mixtures Based on Atomic Force Microscopy. J. Tongji Univ. Nat. Sci. 2018, 46, 1218–1224. [Google Scholar]
- Chen, Y.; Hou, Y.; Ji, X.; Zou, H.; Dai, C.; Chen, B. Characterization of surface mechanical properties of various aggregates from micro scale using AFM. Constr. Build. Mater. 2021, 286, 122847. [Google Scholar] [CrossRef]
- Zhu, L.-N.; Xu, B.-S.; Wang, H.-D.; Wang, C.-B. Comparison of Four Different Methods to Determine the Hardness of Plasma-sprayed Cr3C2–NiCr Coating by Nano-indentation. J. Test. Eval. 2014, 43, 108–114. [Google Scholar] [CrossRef]
- Tarefder, R.A.; Zaman, A.M.; Uddin, W. Determining hardness and elastic modulus of asphalt by nanoindentation. Int. J. Geomech. 2010, 10, 106–116. [Google Scholar] [CrossRef]
- Loeber, L.; Muller, G.; Morel, J.; Sutton, O. Bitumen in colloid science: A chemical, structural and rheological approach. Fuel 1998, 77, 1443–1450. [Google Scholar] [CrossRef]
- Lesueur, D.; Gerard, J.F.; Claudy, P.; Letoffe, J.M.; Planche, J.P.; Martin, D. A structure-related model to describe asphalt linear viscoelasticity. J. Rheol. 1996, 40, 813–836. [Google Scholar] [CrossRef]
- Rashid, F.; Hossain, Z.; Bhasin, A. Nanomechanistic properties of reclaimed asphalt pavement modified asphalt binders using an atomic force microscope. Int. J. Pavement Eng. 2019, 20, 357–365. [Google Scholar] [CrossRef]
- Ji, X.; Li, J.; Zou, H.; Hou, Y.; Chen, B.; Jiang, Y. Multi scale investigation on the failure mechanism of adhesion between asphalt and aggregate caused by aging. Constr. Build. Mater. 2020, 265, 120361. [Google Scholar] [CrossRef]
- Ji, X.; Chen, Y.; Hou, Y.; Dai, C.; Chen, B.; Zou, H. Surface microscopic properties of various aggregates using laser scanning confocal microscope. Constr. Build. Mater. 2021, 290 (Suppl. S3), 123222. [Google Scholar] [CrossRef]
- Ji, X.; Sun, E.; Zou, H.; Hou, Y.; Chen, B. Study on the multiscale adhesive properties between asphalt and aggregate. Constr. Build. Mater. 2020, 249, 118693. [Google Scholar] [CrossRef]
- Pei, Z.S. Analysis of AFM-based microscopic characteristics and influencing factors of aging asphalt surface. Ph.D. Thesis, Harbin Institute of Technology, Shenzhen, China, 2016. [Google Scholar]
- Xie, S. Research on Nanostructure and Adhesion Characteristics of Asphalt Surface in Room Temperature Domain. Ph.D. Thesis, Harbin Institute of Technology, Shenzhen, China, 2017. [Google Scholar]
- Mansourkhaki, A.A.M. Application of different modifiers for improvement of chemical characterization and physical-rheological parameters of reclaimed asphalt binder. Constr. Build. Mater. 2019, 203, 83–94. [Google Scholar] [CrossRef]
- Allen, R.G.; Little, D.N.; Bhasin, A.; Glover, C.J. The effects of chemical composition on asphalt microstructure and their association to pavement performance. Int. J. Pavement Eng. 2014, 15, 9–22. [Google Scholar] [CrossRef]
- Tarefder, R.A.; Zaman, A.M. Nanoscale evaluation of moisture damage in polymer modified asphalts. J. Mater. Civ. Eng. 2010, 22, 714–725. [Google Scholar] [CrossRef]
- Pang, X. Asphalt and Aggregate Adhesion Characteristics Analysis Based on the Principle of AFM and the Surface Energy. Ph.D. Thesis, Harbin Institute of Technology, Shenzhen, China, 2015. [Google Scholar]
- Oliver, W.C.; Pharr, G.M. An improved technique for determining hardness and elastic modulus using load and displacement sensing indentation experiments. J. Mater. Res. 1992, 7, 1564–1583. [Google Scholar] [CrossRef]
- Zhang, T.; Yang, Y. Development and application of nano-hardness technology. Adv. Mech. 2002, 32, 349–364. [Google Scholar]
- Li, J. Study on Microscopic Properties of SBS Modified Asphalt before and after Aging Based on AFM; Inner Mongolia University of Technology: Hohhot, China, 2019. [Google Scholar]
- Wang, M.; Liu, L. Investigation of microscale aging behavior of asphalt binders using atomic force microscopy. Constr. Build. Mater. 2017, 135, 411–419. [Google Scholar] [CrossRef]
- Gopalakrishnan, K.; Birgisson, B.; Taylor, P.; Attoh-Okine, N.O. (Eds.) Nanotechnology in Civil Infrastructure: A Paradigm Shift; Springer: Berlin/Heidelberg, Germany, 2011. [Google Scholar]
- Shen, A.; Wang, J.; Guo, Y.; Zhou, X.; Zhou, T. Study on the effect of anti-spalling agents on the aging performance of asphalt. Highway 2019, 64, 201–207. [Google Scholar]















| Asphalt | Penetration (0.1 mm) | Ductility (cm) | Softening Point (°C) | After RTFOT | ||
|---|---|---|---|---|---|---|
| Penetration Ratio (%) | Ductility (cm) | Mass Loss (%) | ||||
| SK-70 | 80 | 77.0 | 50.1 | 71.4 | 7.5 | −0.28 |
| KL-70 | 69 | 84.5 | 46.1 | 67.4 | 7.5 | −0.31 |
| Shell-70 | 78 | 42.5 | 50.1 | 62.5 | 7.4 | −0.50 |
| SK-90 | 94 | 110.3 | 47.6 | 60.5 | 8.8 | −0.79 |
| Modified-Shell | 72 | 78.5 | 77.1 | 83.8 | 26.3 | −0.48 |
Publisher’s Note: MDPI stays neutral with regard to jurisdictional claims in published maps and institutional affiliations. |
© 2022 by the authors. Licensee MDPI, Basel, Switzerland. This article is an open access article distributed under the terms and conditions of the Creative Commons Attribution (CC BY) license (https://creativecommons.org/licenses/by/4.0/).
Share and Cite
Hou, Y.; Chen, Y.; Zou, H.; Ji, X.; Shao, D.; Zhang, Z.; Chen, Y. Investigation of Surface Micro-Mechanical Properties of Various Asphalt Binders Using AFM. Materials 2022, 15, 4358. https://doi.org/10.3390/ma15124358
Hou Y, Chen Y, Zou H, Ji X, Shao D, Zhang Z, Chen Y. Investigation of Surface Micro-Mechanical Properties of Various Asphalt Binders Using AFM. Materials. 2022; 15(12):4358. https://doi.org/10.3390/ma15124358
Chicago/Turabian StyleHou, Yueqin, Yun Chen, Haiwei Zou, Xiaoping Ji, Dongye Shao, Zhengming Zhang, and Ye Chen. 2022. "Investigation of Surface Micro-Mechanical Properties of Various Asphalt Binders Using AFM" Materials 15, no. 12: 4358. https://doi.org/10.3390/ma15124358
APA StyleHou, Y., Chen, Y., Zou, H., Ji, X., Shao, D., Zhang, Z., & Chen, Y. (2022). Investigation of Surface Micro-Mechanical Properties of Various Asphalt Binders Using AFM. Materials, 15(12), 4358. https://doi.org/10.3390/ma15124358

