Simulation Analysis of Concrete Pumping Based on Smooth Particle Hydrodynamics and Discrete Elements Method Coupling
Abstract
:1. Introduction
2. SPH-DEM Theory
2.1. SPH Methods
2.2. Rheology Model for Non-Newtonian Fluids
2.3. DEM Method
3. Experiment Test
3.1. Slump Tests
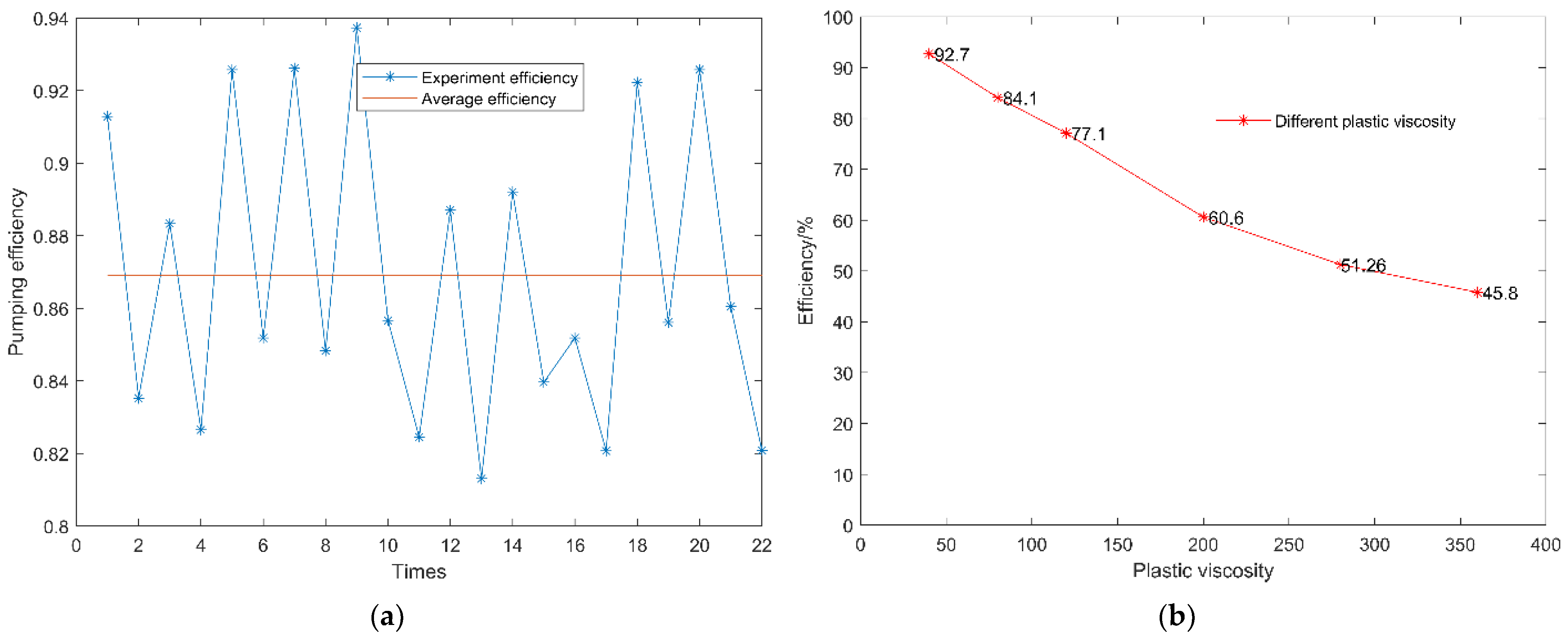
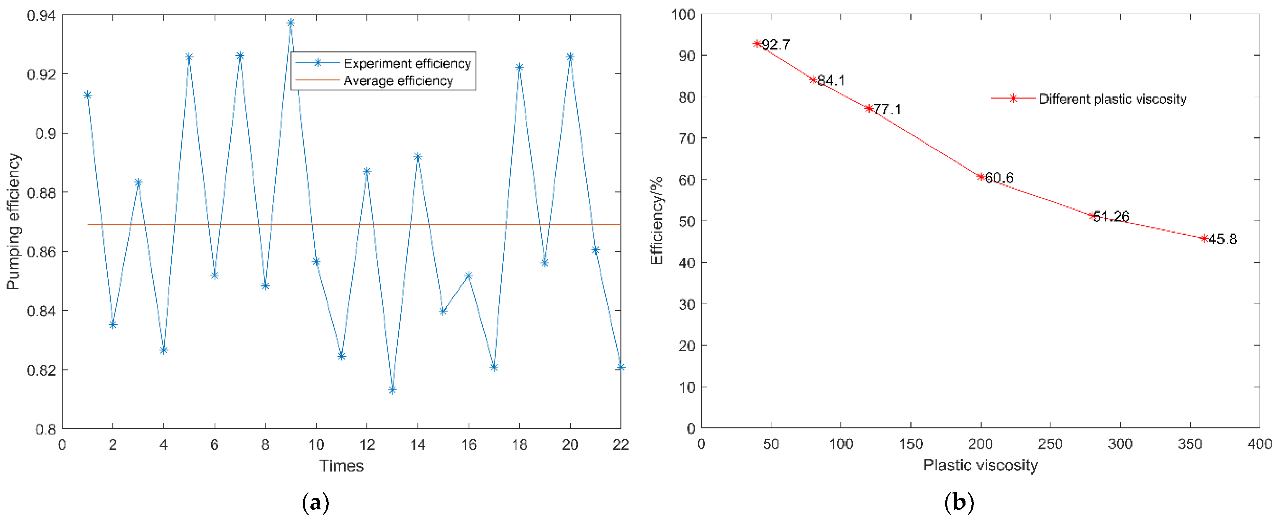
3.2. Concrete Pumping Test
4. Simulation Test
4.1. Tools
4.2. Slump Simulation
4.3. Concrete Pumping Simulation
5. Conclusions
- The results showed that the SPH-DEM method could be utilized to simulate fresh concrete through slump tests. The rheological parameters of fresh concrete were identified by a rheometer. The slump test error between simulation and experiment results was compared and shown to be less than 10%. Therefore, the SPH-DEM numerical simulation could potentially be used to react a real physical model.
- A numerical simulation model of the pumping process was established to analyze the effects of variations in the plastic viscosity of fresh concrete on the suction efficiency. In addition, the suction efficiency was studied experimentally. The numerical simulation results were compared with the experimental results, and the average error of suction efficiency was less than 5%.
- The gradient variation of the pressure loss along the pipe (Dp/L) was calculated and the theoretical flow rate of concrete in the pipe was analyzed. Compared with the numerical simulation, the theoretical velocity analysis showed that the results from the SPH-DEM numerical model approached those of the theoretical analysis. The issue of the pipe blocking mechanism is an intriguing one which should be further explored in future research.
Author Contributions
Funding
Institutional Review Board Statement
Informed Consent Statement
Data Availability Statement
Acknowledgments
Conflicts of Interest
References
- Wu, Y.; Li, W.; Liu, Y. Fatigue life prediction for boom structure of concrete pump truck. Eng. Fail. Anal. 2016, 60, 176–187. [Google Scholar] [CrossRef]
- Lee, S.J.; Chung, I.S.; Bae, S.Y. Structural design and analysis of CFRP boom for concrete pump truck. Mod. Phys. Lett. B 2019, 33, 1940033. [Google Scholar] [CrossRef]
- Wang, A.L.; Shi, Z.Q.; Yuan, C.X.; Hu, Y.Q. Optimal Design of Concrete Pumping Displacement Control. Adv. Mater. Res. 2012, 422, 238–242. [Google Scholar] [CrossRef]
- Roussel, N.; Gram, A. Simulation of fresh concrete flow. RILEM State-Art Rep. 2014, 15. [Google Scholar]
- Karakurt, C.; Çelik, A.O.; Yılmazer, C.; Kiriççi, V.; Özyaşar, E. CFD simulations of self-compacting concrete with discrete phase modeling. Constr. Build. Mater. 2018, 186, 20–30. [Google Scholar] [CrossRef]
- Gong, C.; Fang, Z.; Chen, G. A lattice Boltzmann-immersed boundary-finite element method for nonlinear fluid–solid interaction simulation with moving objects. Int. J. Comput. Methods 2018, 15, 1850063. [Google Scholar] [CrossRef]
- Farzaneh-Gord, M.; Pahlevan-Zadeh, M.S.; Ebrahimi-Moghadam, A.; Rastgar, S. Measurement of methane emission into environment during natural gas purging process. Environ. Pollut. 2018, 242, 2014–2026. [Google Scholar] [CrossRef]
- Ebrahimi-Moghadam, A.; Farzaneh-Gord, M.; Arabkoohsar, A.; Moghadam, A.J. CFD analysis of natural gas emission from damaged pipelines: Correlation development for leakage estimation. J. Clean. Prod. 2018, 199, 257–271. [Google Scholar] [CrossRef]
- Dormohammadi, R.; Farzaneh-Gord, M.; Ebrahimi-Moghadam, A.; Ahmadi, M.H. Heat transfer and entropy generation of the nanofluid flow inside sinusoidal wavy channels. J. Mol. Liq. 2018, 269, 229–240. [Google Scholar] [CrossRef]
- Gram, A.; Silfwerbrand, J. Numerical simulation of fresh SCC flow: Applications. Mater. Struct. 2011, 44, 805–813. [Google Scholar] [CrossRef]
- Choi, M.; Roussel, N.; Kim, Y.; Kim, J. Lubrication layer properties during concrete pumping. Cem. Concr. Res. 2013, 45, 69–78. [Google Scholar] [CrossRef]
- Krenzer, K.; Mechtcherine, V.; Palzer, U. Simulating mixing processes of fresh concrete using the discrete element method (DEM) under consideration of water addition and changes in moisture distribution. Cem. Concr. Res. 2019, 115, 274–282. [Google Scholar] [CrossRef]
- Zhan, Y.; Gong, J.; Huang, Y.; Shi, C.; Zuo, Z.; Chen, Y. Numerical study on concrete pumping behavior via local flow simulation with discrete element method. Materials 2019, 12, 1415. [Google Scholar] [CrossRef] [Green Version]
- Crespo, A.J.C.; Domínguez, J.M.; Rogers, B.D.; Gómez-Gesteira, M.; Longshaw, S.; Canelas, R.J.F.B.; Vacondio, R.; Barreiro, A.; García-Feal, O. DualSPHysics: Open-source parallel CFD solver based on smoothed particle hydrodynamics (SPH). Comput. Phys. Commun. 2015, 187, 204–216. [Google Scholar] [CrossRef]
- Gudžulić, V.; Dang, T.S.; Meschke, G. Computational modeling of fiber flow during casting of fresh concrete. Comput. Mech. 2019, 63, 1111–1129. [Google Scholar] [CrossRef]
- Li, Z.; Cao, G. Rheological behaviors and model of fresh concrete in vibrated state. Cem. Concr. Res. 2019, 120, 217–226. [Google Scholar] [CrossRef]
- Monaghan, J.J. Smoothed particle hydrodynamics and its diverse applications. Annu. Rev. Fluid Mech. 2012, 44, 323–346. [Google Scholar] [CrossRef]
- Ye, T.; Pan, D.; Huang, C.; Liu, M. Smoothed particle hydrodynamics (SPH) for complex fluid flows: Recent developments in methodology and applications. Phys. Fluids 2019, 31, 011301. [Google Scholar]
- Morrison, F.A. An Introduction to Fluid Mechanics; Cambridge University Press: Cambridge, UK, 2013. [Google Scholar]
- Marrone, S.; Colagrossi, A.; Antuono, M.; Colicchio, G.; Graziani, G. An accurate SPH modeling of viscous flows around bodies at low and moderate Reynolds numbers. J. Comput. Phys. 2013, 245, 456–475. [Google Scholar] [CrossRef]
- Wang, W.; Chen, G.; Zhang, Y.; Zheng, L.; Zhang, H. Dynamic simulation of landslide dam behavior considering kinematic characteristics using a coupled DDA-SPH method. Eng. Anal. Bound. Elem. 2017, 80, 172–183. [Google Scholar] [CrossRef]
- Liu, M.B.; Liu, G.R. Smoothed particle hydrodynamics (SPH): An overview and recent developments. Arch. Comput. Methods Eng. 2010, 17, 25–76. [Google Scholar] [CrossRef] [Green Version]
- Quartier, N.; Crespo, A.J.C.; Domínguez, J.M.; Stratigaki, V.; Troch, P. Efficient response of an onshore Oscillating Water Column Wave Energy Converter using a one-phase SPH model coupled with a multiphysics library. Appl. Ocean. Res. 2021, 115, 102856. [Google Scholar] [CrossRef]
- Tran-Duc, T.; Ho, T.; Thamwattana, N. A smoothed particle hydrodynamics study on effect of coarse aggregate on self-compacting concrete flows. Int. J. Mech. Sci. 2021, 190, 106046. [Google Scholar] [CrossRef]
- von Boetticher, A.; Turowski, J.M.; McArdell, B.; Rickenmann, D. A finite volume solver for three dimensional debris flow simulations based on a single calibration parameter. In Proceedings of the EGU General Assembly Conference Abstracts, Vienna, Austria, 17–22 April 2016. [Google Scholar]
- Jeong, S.W. Determining the viscosity and yield surface of marine sediments using modified Bingham models. Geosci. J. 2013, 17, 241–247. [Google Scholar] [CrossRef]




















| Groups | Water | Cement | Sand | Aggregate |
|---|---|---|---|---|
| 1 | 3.6 | 9.6 | 16.7 | 20.1 |
| 2 | 4.5 | 7.1 | 21.7 | 17.5 |
| Aggregate | 19–16 mm | 16–13.2 mm | 13.2–9.5 mm | <9.5 mm |
|---|---|---|---|---|
| 31.3% | 24.2% | 21.2% | 23.2% |
| Number | Slump/(mm) | Dispersion/(mm) |
|---|---|---|
| 1 | 190 | 350/375 |
| 2 | 180 | 290/295 |
| Parameters | Notation | Unit | Value | |
|---|---|---|---|---|
| Simulation parameters | Number of fluid particles | 58,250 | ||
| Number of solid particles | 283,168 | |||
| Particle distance | 0.004 | |||
| Smooth length | m | 0.00692 | ||
| The ratio between smooth length and particle distance | 1.73 | |||
| Simulation duration | 10 | |||
| Constant of EOS | 7 | |||
| Sound speed coefficient | 20 | |||
| The artificial viscosity coefficient | 0.001 | |||
| Initial time interval | 1 × 10−6 | |||
| CFL coefficient | 0.2 | |||
| Rheological | Density | 2040.0 | ||
| parameters | Apparent dynamic viscosity | 185 | ||
| Key coefficients of HBP model | 100 | |||
| 1 | ||||
| Yield stress | 282 | |||
| DEM | Density | 2300 | ||
| Parameters | Young modulus | 30 | ||
| Poisson rate | 0.3 | |||
| Restitution coefficient | 0.1 | |||
| Kinetic friction coefficient | 0.4 |
Publisher’s Note: MDPI stays neutral with regard to jurisdictional claims in published maps and institutional affiliations. |
© 2022 by the authors. Licensee MDPI, Basel, Switzerland. This article is an open access article distributed under the terms and conditions of the Creative Commons Attribution (CC BY) license (https://creativecommons.org/licenses/by/4.0/).
Share and Cite
Chen, W.; Wu, W.; Lu, G.; Tian, G. Simulation Analysis of Concrete Pumping Based on Smooth Particle Hydrodynamics and Discrete Elements Method Coupling. Materials 2022, 15, 4294. https://doi.org/10.3390/ma15124294
Chen W, Wu W, Lu G, Tian G. Simulation Analysis of Concrete Pumping Based on Smooth Particle Hydrodynamics and Discrete Elements Method Coupling. Materials. 2022; 15(12):4294. https://doi.org/10.3390/ma15124294
Chicago/Turabian StyleChen, Wang, Wanrong Wu, Guoyi Lu, and Guangtian Tian. 2022. "Simulation Analysis of Concrete Pumping Based on Smooth Particle Hydrodynamics and Discrete Elements Method Coupling" Materials 15, no. 12: 4294. https://doi.org/10.3390/ma15124294
APA StyleChen, W., Wu, W., Lu, G., & Tian, G. (2022). Simulation Analysis of Concrete Pumping Based on Smooth Particle Hydrodynamics and Discrete Elements Method Coupling. Materials, 15(12), 4294. https://doi.org/10.3390/ma15124294
