Biopolymer-Based Films from Sodium Alginate and Citrus Pectin Reinforced with SiO2
Abstract
:1. Introduction
2. Materials and Methods
2.1. Materials
- -
- Sodium alginate (SA) (Dinâmica Química Contemporânea Ltda., Indaiatuba/SP, Brazil) (purity of 99% viscosity (2% solution at 25 °C): 2.000 cps) as a film-forming compound;
- -
- Pectin (P) powder from citrus (Dinâmica Química Contemporânea Ltda., Indaiatuba/SP, Brazil) (degree of methyl esterification: >75%) as a film-forming compound;
- -
- Glycerol (Dinâmica Química Contemporânea Ltda., Indaiatuba/SP, Brazil) as a plasticizer; and
- -
- Nanosilica (SiO2) (Degussa Brasil Ltda., Americana/SP, Brazil) as a strengthening component, with an average particle size of 12 nm.
2.2. Preparation of SA/P/SiO2 Films
2.3. Characterization of SA/P/SiO2 Films
2.3.1. Film Morphology
2.3.2. Fourier Transform Infrared (FT-IR) Spectroscopy
2.3.3. Thermal Stability
2.3.4. X-ray Diffraction (XRD)
2.3.5. Thickness
2.3.6. Mechanical Properties
2.3.7. Water-Vapor Transmission Rate (WVTR)
2.3.8. Light Barrier
2.3.9. Statistical Analysis
3. Results and Discussion
3.1. Film Morphology
3.2. FT-IR Analysis
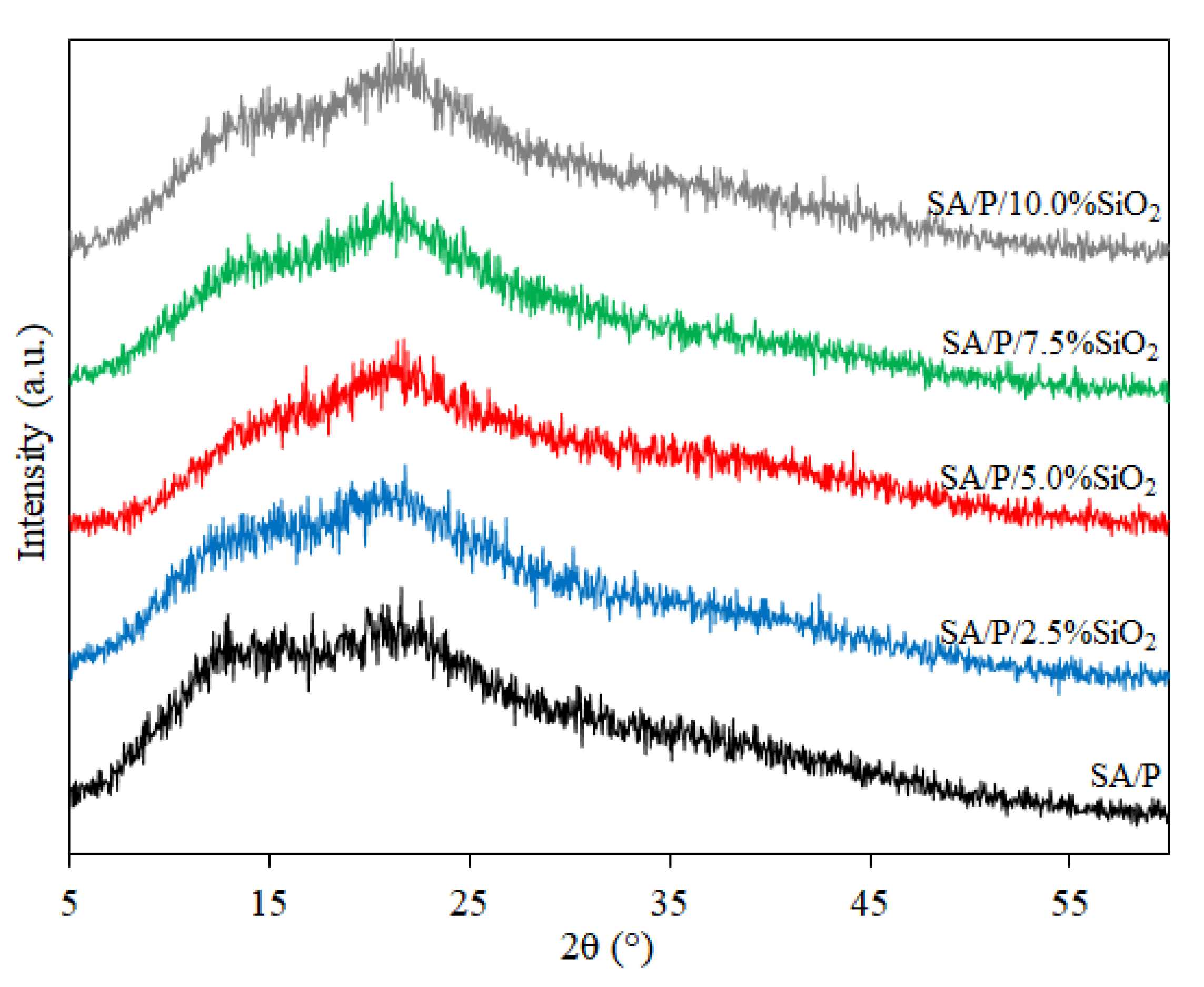
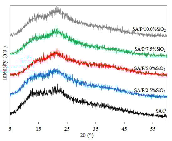
3.3. XRD Analysis
3.4. Thermal Stability of the Films
3.5. Thickness and Mechanical Properties
3.6. WVTR
3.7. Light Barrier Properties
4. Conclusions
Author Contributions
Funding
Institutional Review Board Statement
Informed Consent Statement
Data Availability Statement
Conflicts of Interest
References
- Júnior, L.M.; Vieira, R.P.; Anjos, C.A.R. Kefiran-based films: Fundamental concepts, formulation strategies and properties. Carbohydr. Polym. 2020, 246, 116609. [Google Scholar] [CrossRef] [PubMed]
- Rhodes, C.J. Solving the plastic problem: From cradle to grave, to reincarnation. Sci. Prog. 2019, 102, 218–248. [Google Scholar] [CrossRef] [PubMed] [Green Version]
- Roy, S.; Rhim, J.-W. Effect of CuS reinforcement on the mechanical, water vapor barrier, UV-light barrier, and antibacterial properties of alginate-based composite films. Int. J. Biol. Macromol. 2020, 164, 37–44. [Google Scholar] [CrossRef] [PubMed]
- Shamsuri, A.A.; Abdan, K.; Kaneko, T. A Concise Review on the Physicochemical Properties of Biopolymer Blends Prepared in Ionic Liquids. Molecules 2021, 26, 216. [Google Scholar] [CrossRef] [PubMed]
- Júnior, L.M.; da Silva, R.G.; Vieira, R.P.; Alves, R.M.V. Water vapor sorption and permeability of sustainable alginate/collagen/SiO2 composite films. LWT 2021, 152, 112261. [Google Scholar] [CrossRef]
- Júnior, L.M.; Rodrigues, P.R.; da Silva, R.G.; Vieira, R.P.; Alves, R.M.V. Sustainable Packaging Films Composed of Sodium Alginate and Hydrolyzed Collagen: Preparation and Characterization. Food Bioprocess Technol. 2021, 14, 2336–2346. [Google Scholar] [CrossRef]
- Tabassum, M.R.; Xia, A.; Murphy, J.D. Biomethane production from various segments of brown seaweed. Energy Convers. Manag. 2018, 174, 855–862. [Google Scholar] [CrossRef]
- Xu, S.-Y.; Huang, X.; Cheong, K.-L. Recent Advances in Marine Algae Polysaccharides: Isolation, Structure, and Activities. Mar. Drugs 2017, 15, 388. [Google Scholar] [CrossRef] [Green Version]
- Gomaa, M.; Fawzy, M.A.; Hifney, A.F.; Abdel-Gawad, K.M. Use of the brown seaweed Sargassum latifolium in the design of alginate-fucoidan based films with natural antioxidant properties and kinetic modeling of moisture sorption and polyphenolic release. Food Hydrocoll. 2018, 82, 64–72. [Google Scholar] [CrossRef]
- Babu, R.P.; Oconnor, K.; Seeram, R. Current progress on bio-based polymers and their future trends. Prog. Biomater. 2013, 2, 8. [Google Scholar] [CrossRef] [Green Version]
- Su, X.; Chen, B. Transparent, UV-proof and mechanically strong montmorillonite/alginate/Ca2+ nanocomposite hydrogel films with solvent sensitivity. Appl. Clay Sci. 2018, 165, 223. [Google Scholar] [CrossRef] [Green Version]
- Huang, J.; Hu, Z.; Hu, L.; Li, G.; Yao, Q.; Hu, Y. Pectin-based active packaging: A critical review on preparation, physical properties and novel application in food preservation. Trends Food Sci. Technol. 2021, 118, 167–178. [Google Scholar] [CrossRef]
- Espitia, P.J.P.; Du, W.-X.; Avena-Bustillos, R.D.J.; Soares, N.D.F.F.; McHugh, T.H. Edible films from pectin: Physical-mechanical and antimicrobial properties—A review. Food Hydrocoll. 2014, 35, 287–296. [Google Scholar] [CrossRef]
- Canteri, M.H.G.; Moreno, L.; Wosiacki, G.; de Scheer, A.P. Pectin: From raw material to the final product. Polímeros 2012, 22, 149–157. [Google Scholar] [CrossRef] [Green Version]
- Kurczewska, J.; Ratajczak, M.; Gajecka, M. Alginate and pectin films covering halloysite with encapsulated salicylic acid as food packaging components. Appl. Clay Sci. 2021, 214, 106270. [Google Scholar] [CrossRef]
- Rajeswari, A.; Christy, E.J.S.; Pius, A. Biopolymer Blends and Composites; Elsevier Inc.: Amsterdam, The Netherlands, 2021. [Google Scholar] [CrossRef]
- Galus, S.; Lenart, A. Development and characterization of composite edible films based on sodium alginate and pectin. J. Food Eng. 2012, 115, 459–465. [Google Scholar] [CrossRef]
- Nešić, A.; Onjia, A.; Davidovic, S.; Dimitrijevic-Brankovic, S.; Errico, M.E.; Santagata, G.; Malinconico, M. Design of pectin-sodium alginate based films for potential healthcare application: Study of chemico-physical interactions between the components of films and assessment of their antimicrobial activity. Carbohydr. Polym. 2017, 157, 981–990. [Google Scholar] [CrossRef]
- Ruiz-Hitzky, E.; Darder, M.; Fernandes, F.; Wicklein, B.; Alcântara, A.C.; Aranda, P. Fibrous clays based bionanocomposites. Prog. Polym. Sci. 2013, 38, 1392–1414. [Google Scholar] [CrossRef] [Green Version]
- Júnior, L.M.; Rodrigues, P.R.; da Silva, R.G.; Vieira, R.P.; Alves, R.M.V. Improving the mechanical properties and thermal stability of sodium alginate/hydrolyzed collagen films through the incorporation of SiO2. Curr. Res. Food Sci. 2021, 5, 96–101. [Google Scholar] [CrossRef]
- Zhou, S.; Wu, L.; Sun, J.; Shen, W. The change of the properties of acrylic-based polyurethane via addition of nano-silica. Prog. Org. Coat. 2002, 45, 33–42. [Google Scholar] [CrossRef]
- Barik, T.K.; Sahu, B.; Swain, V. Nanosilica—from medicine to pest control. Parasitol. Res. 2008, 103, 253–258. [Google Scholar] [CrossRef] [PubMed]
- Yang, M.; Xia, Y. Preparation and characterization of nano-SiO2 reinforced alginate-based nanocomposite films (II). J. Appl. Polym. Sci. 2017, 134. [Google Scholar] [CrossRef]
- Júnior, L.M.; da Silva, R.G.; Anjos, C.A.R.; Vieira, R.P.; Alves, R.M.V. Effect of low concentrations of SiO2 nanoparticles on the physical and chemical properties of sodium alginate-based films. Carbohydr. Polym. 2021, 269, 118286. [Google Scholar] [CrossRef] [PubMed]
- Salazar, A.S.S.; Cavazos, P.A.S.; Paz, H.M.; Fragoso, A.V. External factors and nanoparticles effect on water vapor permeability of pectin-based films. J. Food Eng. 2018, 245, 73–79. [Google Scholar] [CrossRef]
- ISO-4593; Plastics: Film and Sheeting Determination of Thickness by Mechanical Scanning. ISO: Geneva, Switzerland, 1993; 2p.
- ASTM-D882; Standard Test Method for Tensile Properties of Thin Plastic Sheeting. ASTM: West Conshohocken, PA, USA, 2018; 12p.
- ASTM-E96/E96M; Standard Test Methods for Water Vapor Transmission of materials. ASTM: West Conshohocken, PA, USA, 2016; 14p.
- ASTM-E-1348; Standard Test Method for Transmittance and Color by Spectrophotometry Using Hemispherical Geometry. ASTM: West Conshohocken, PA, USA, 2015; 3p.
- Mallakpour, S.; Mohammadi, N. Development of sodium alginate-pectin/TiO2 nanocomposites: Antibacterial and bioactivity investigations. Carbohydr. Polym. 2022, 285, 119226. [Google Scholar] [CrossRef] [PubMed]
- Hou, J.; Yan, X. Preparation of chitosan-SiO2 nanoparticles by ultrasonic treatment and its effect on the properties of starch film. Int. J. Biol. Macromol. 2021, 189, 271–278. [Google Scholar] [CrossRef]
- Hassannia-Kolaee, M.; Khodaiyan, F.; Pourahmad, R.; Shahabi-Ghahfarrokhi, I. Development of ecofriendly bionanocomposite: Whey protein isolate/pullulan films with nano-SiO2. Int. J. Biol. Macromol. 2016, 86, 139–144. [Google Scholar] [CrossRef]
- Júnior, L.M.; Gonçalves, S.D.; da Silva, R.G.; Martins, J.T.; Vicente, A.A.; Alves, R.M.V.; Vieira, R.P. Effect of green propolis extract on functional properties of active pectin-based films. Food Hydrocoll. 2022, 131, 1077. [Google Scholar] [CrossRef]
- Yang, J.; Fan, Y.; Cui, J.; Yang, L.; Su, H.; Yang, P.; Pan, J. Colorimetric films based on pectin/sodium alginate/xanthan gum incorporated with raspberry pomace extract for monitoring protein-rich food freshness. Int. J. Biol. Macromol. 2021, 185, 959–965. [Google Scholar] [CrossRef]
- Alboofetileh, M.; Rezaei, M.; Hosseini, H.; Abdollahi, M. Effect of montmorillonite clay and biopolymer concentration on the physical and mechanical properties of alginate nanocomposite films. J. Food Eng. 2013, 117, 26–33. [Google Scholar] [CrossRef]
- Higuchi, A.; Iijima, T. D.s.c. investigation of the states of water in poly(vinyl alcohol) membranes. Polymer 1985, 26, 1207–1211. [Google Scholar] [CrossRef]
- Russo, R.; Abbate, M.; Malinconico, M.; Santagata, G. Effect of polyglycerol and the crosslinking on the physical properties of a blend alginate-hydroxyethylcellulose. Carbohydr. Polym. 2010, 82, 1061–1067. [Google Scholar] [CrossRef]
- Makaremi, M.; Yousefi, H.; Cavallaro, G.; Lazzara, G.; Goh, C.B.S.; Lee, S.M.; Solouk, A.; Pasbakhsh, P. Safely Dissolvable and Healable Active Packaging Films Based on Alginate and Pectin. Polymers 2019, 11, 1594. [Google Scholar] [CrossRef] [Green Version]
- Yang, M.; Xia, Y.; Wang, Y.; Zhao, X.; Xue, Z.; Quan, F.; Geng, C.; Zhao, Z. Preparation and property investigation of crosslinked alginate/silicon dioxide nanocomposite films. J. Appl. Polym. Sci. 2016, 133. [Google Scholar] [CrossRef]
- Broido, A. A simple, sensitive graphical method of treating thermogravimetric analysis data. J. Polym. Sci. Part A-2 Polym. Phys. 1969, 7, 1761–1773. [Google Scholar] [CrossRef]
- Hou, X.; Xue, Z.; Xia, Y.; Qin, Y.; Zhang, G.; Liu, H.; Li, K. Effect of SiO2 nanoparticle on the physical and chemical properties of eco-friendly agar/sodium alginate nanocomposite film. Int. J. Biol. Macromol. 2018, 125, 1289–1298. [Google Scholar] [CrossRef] [PubMed]
- Yeh, J.-T.; Chen, C.-L.; Huang, K.-S. Synthesis and properties of chitosan/SiO2 hybrid materials. Mater. Lett. 2007, 61, 1292–1295. [Google Scholar] [CrossRef]
- Tabatabaei, R.H.; Jafari, S.M.; Mirzaei, H.; Nafchi, A.M.; Dehnad, D. Preparation and characterization of nano-SiO2 reinforced gelatin-k-carrageenan biocomposites. Int. J. Biol. Macromol. 2018, 111, 1091–1099. [Google Scholar] [CrossRef]
- Rane, L.R.; Savadekar, N.R.; Kadam, P.G.; Mhaske, S.T. Preparation and Characterization of K-Carrageenan/Nanosilica Biocomposite Film. J. Mater. 2014, 2014, 1–8. [Google Scholar] [CrossRef] [Green Version]






| First Thermal Event | Second Thermal Event | |||||
|---|---|---|---|---|---|---|
| Film | Tonset (°C) | Tmax (°C) | Mass Loss (%) | Tonset (°C) | Tmax (°C) | Mass Loss (%) |
| SA/P | 54.24 | 105.74 | 14.22 | 222.27 | 243.52 | 49.06 |
| SA/P/2.5%SiO2 | 51.47 | 104.44 | 16.69 | 222.33 | 241.93 | 44.92 |
| SA/P/5.0%SiO2 | 64.34 | 107.67 | 15.89 | 241.47 | 240.27 | 42.26 |
| SA/P/7.5%SiO2 | 55.16 | 97.04 | 22.90 | 226.41 | 242.58 | 40.27 |
| SA/P/10.0%SiO2 | 49.51 | 92.00 | 19.20 | 219.97 | 242.63 | 40.69 |
| Film Sample | Thickness (µm) | WVTR (g m−2 day−1) |
|---|---|---|
| SA/P | 115.5 ± 13.0 b | 319.8 ± 38.7 a |
| SA/P/2.5%SiO2 | 115.6 ± 7.6 b | 338.7 ± 19.0 a |
| SA/P/5.0%SiO2 | 116.0 ± 13.0 b | 288.9 ± 23.5 b |
| SA/P/7.5%SiO2 | 119.5 ± 15.7 b | 276.5 ± 6.5 b |
| SA/P/10.0%SiO2 | 126.6 ± 13.0 a | 369.8 ± 30.0 a |
| Type of Films | TS [MPa] | EAB [%] | Reference |
|---|---|---|---|
| Whey protein isolate/pullulan | 2.3–3.1 | 122.0–162.3 | [32] |
| Chitosan | 30.3–38.4 | 17.7–22.6 | [42] |
| Sodium alginate/hydrolyzed collagen | 20.2–25.4 | 30.2–35.8 | [20] |
| Sodium alginate | 20.4–30.6 | 20.0–29.3 | [24] |
| Carrageenan | 6.1–10.3 | 9.0–19.5 | [43] |
Publisher’s Note: MDPI stays neutral with regard to jurisdictional claims in published maps and institutional affiliations. |
© 2022 by the authors. Licensee MDPI, Basel, Switzerland. This article is an open access article distributed under the terms and conditions of the Creative Commons Attribution (CC BY) license (https://creativecommons.org/licenses/by/4.0/).
Share and Cite
Marangoni Júnior, L.; Fozzatti, C.R.; Jamróz, E.; Vieira, R.P.; Alves, R.M.V. Biopolymer-Based Films from Sodium Alginate and Citrus Pectin Reinforced with SiO2. Materials 2022, 15, 3881. https://doi.org/10.3390/ma15113881
Marangoni Júnior L, Fozzatti CR, Jamróz E, Vieira RP, Alves RMV. Biopolymer-Based Films from Sodium Alginate and Citrus Pectin Reinforced with SiO2. Materials. 2022; 15(11):3881. https://doi.org/10.3390/ma15113881
Chicago/Turabian StyleMarangoni Júnior, Luís, Camila Rodrigues Fozzatti, Ewelina Jamróz, Roniérik Pioli Vieira, and Rosa Maria Vercelino Alves. 2022. "Biopolymer-Based Films from Sodium Alginate and Citrus Pectin Reinforced with SiO2" Materials 15, no. 11: 3881. https://doi.org/10.3390/ma15113881
APA StyleMarangoni Júnior, L., Fozzatti, C. R., Jamróz, E., Vieira, R. P., & Alves, R. M. V. (2022). Biopolymer-Based Films from Sodium Alginate and Citrus Pectin Reinforced with SiO2. Materials, 15(11), 3881. https://doi.org/10.3390/ma15113881

