Parametric Analysis of Failure Loads of Masonry Textures by Means of Discontinuity Layout Optimization (DLO)
Abstract
1. Introduction
2. Materials and Methods
2.1. The Discontinuity Layout Optimization (DLO)
2.2. Extension to Rigid Rotations
2.3. Masonry Textures
- A periodic texture, made of equal blocks arranged according to a periodic pattern, i.e., it is possible to identify two vectors through which a linear combination involving integer numbers is able to locate every block.
- A quasi-periodic texture, where the blocks can have different width and height, and they are arranged so that each block has on its left or right a block with equal height. In this way, it is possible to identify rows on the texture, and we have continuity on the horizontal mortar joints. The vertical joints between two adjacent rows should not be aligned.
- A chaotic texture, where the blocks have different width and height and are arranged without a clear pattern. It is possible that some vertical joints are aligned.
3. Results
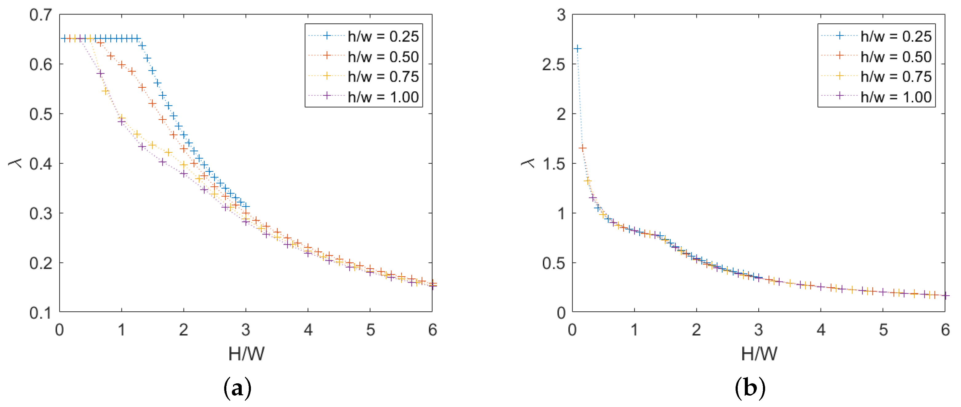
3.1. Lack of Cohesion
- When the height of the wall increases, the failure multiplier decreases because the failure mechanism requires less energy to activate.
- The increasing of a vertical load q makes the failure multiplier decreases also, due to the horizontal force associated with the load.
- For a low value of the height/width ratio, the failure multiplier is equal to , i.e., the failure mechanism is purely translational.
- The influence of the panel texture is lower for a high ratio, i.e., when and
3.1.1. Periodic Masonry
3.1.2. Quasi-Periodic Masonry
3.1.3. Chaotic Masonry
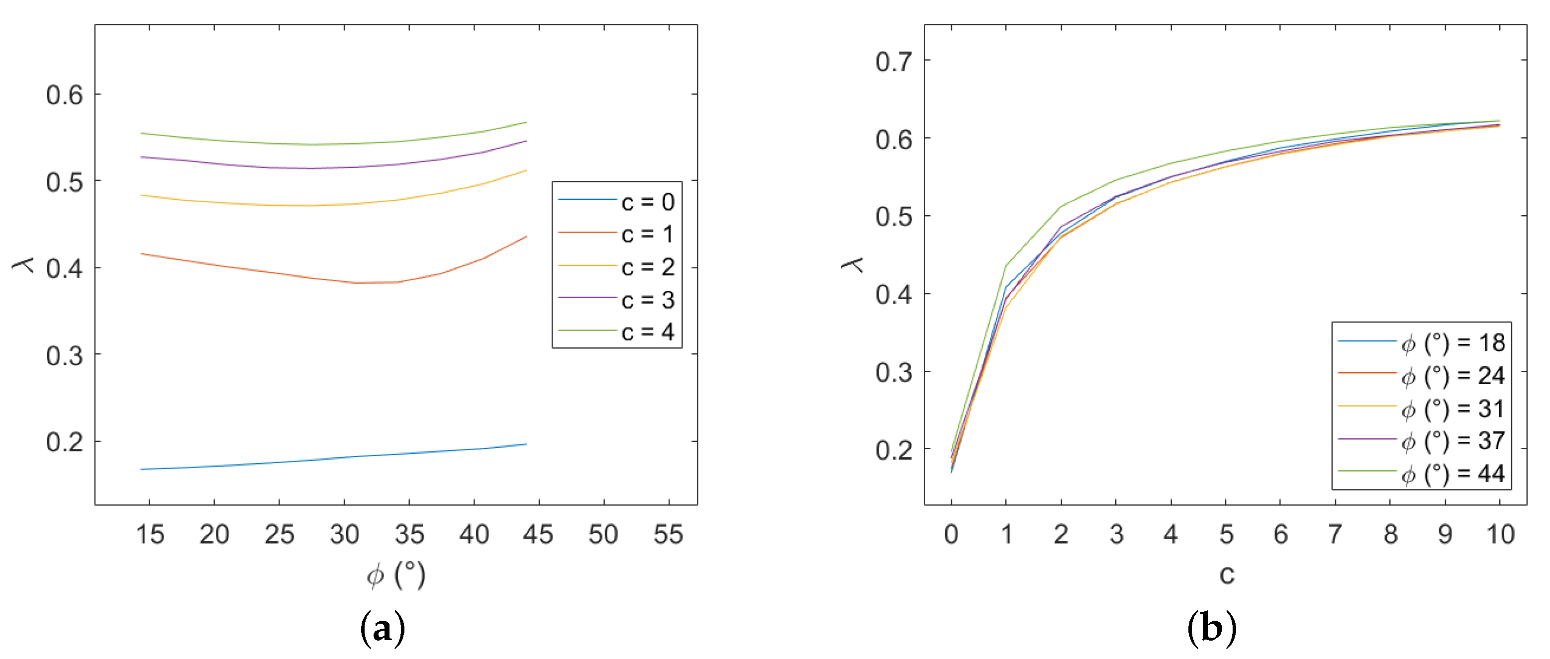
3.2. Influence of Cohesion
3.3. Effect of Block Height-To-Width Ratio
3.4. Extension for Non-Rigid Stone Elements
4. Conclusions
- Only the periodic texture has a symmetric behaviour for both the failure multiplier and the failure mechanism.
- The threshold between translational mechanism and rotational mechanism when varies depends on the texture: for the periodic one it is neat, for the quasi-periodic one there is a transition due to the incomplete participation to rotation of the wall width for a certain range of ratios (between 0.8 and 1.25), and for the chaotic one rotations occur even for small values of due to the presence of vertical elements that are easier to overturn.
- The presence of a vertical load applied on the top and its associated seismic mass leads to a decrease of the failure multiplier and it makes the rotations appear for lower values.
- The effect of cohesion in mortar joints has been studied and the results are checked by comparison with analytical formulas in the Appendix A for the case of translation.
- When increases (i.e., for slender elements), the failure multiplier decreases as expected.
- If the blocks are not rigid, their mechanical properties and especially the cohesion highly influence the failure multiplier.
Author Contributions
Funding
Conflicts of Interest
Abbreviations
| DLO | Discontinuity Layout Optimization |
| MPEC | Mathematical Program with Equilibrium Constraints |
Appendix A
- Translation of the entire wall slipping over the base;
- Rotation of a portion of the wall around one of the edges of the base.


References
- Falsone, G.; Lombardo, M. Stochastic representation of the mechanical properties of irregular masonry structures. Int. J. Solids Struct. 2007, 44, 8600–8612. [Google Scholar] [CrossRef][Green Version]
- Anzani, A.; Binda, L.; Carpinteri, A.; Lacidogna, G.; Manuello, A. Evaluation of the repair on multiple leaf stone masonry by acoustic emission. Mater. Struct. 2008, 41, 1169–1189. [Google Scholar] [CrossRef]
- Llorens, J.; Chamorro, M.A.; Fontàs, J.; Alcalà, M.; Delgado-Aguilar, M.; Julián, F.; Llorens, M. Experimental Behavior of Thin-Tile Masonry under Uniaxial Compression. Multi-Leaf Case Study. Materials 2021, 14, 2785. [Google Scholar] [CrossRef] [PubMed]
- Luciano, R.; Sacco, E. Homogenization technique and damage model for old masonry material. Int. J. Solids Struct. 1997, 34, 3191–3208. [Google Scholar] [CrossRef]
- Milani, G. Simple lower bound limit analysis homogenization model for in- and out-of-plane loaded masonry walls. Constr. Build. Mater. 2011, 25, 4426–4443. [Google Scholar] [CrossRef]
- Baraldi, D.; Cecchi, A. Discrete approaches for the nonlinear analysis of in plane loaded masonry walls: Molecular dynamic and static algorithm solutions. Eur. J. Mech. A/Solids 2016, 57, 165–177. [Google Scholar] [CrossRef]
- Funari, M.F.; Mehrotra, A.; Lourenço, P.B. A Tool for the Rapid Seismic Assessment of Historic Masonry Structures Based on Limit Analysis Optimisation and Rocking Dynamics. Appl. Sci. 2021, 11, 942. [Google Scholar] [CrossRef]
- Rueda Márquez de la Plata, A.; Cruz Franco, P.A. A Simulation Study to Calculate a Structure Conceived by Eugène Viollet-le-Duc in 1850 with Finite Element Analysis. Materials 2019, 12, 2576. [Google Scholar] [CrossRef] [PubMed]
- Tomaszewska, A.; Drozdowska, M.; Szafrański, M. Material Parameters Identification of Historic Lighthouse Based on Operational Modal Analysis. Materials 2020, 13, 3814. [Google Scholar] [CrossRef]
- Nowak, R.; Kania, T.; Derkach, V.; Orłowicz, R.; Halaliuk, A.; Ekiert, E.; Jaworski, R. Strength Parameters of Clay Brick Walls with Various Directions of Force. Materials 2021, 14, 6461. [Google Scholar] [CrossRef]
- Bilko, P.; Małyszko, L. An Orthotropic Elastic-Plastic Constitutive Model for Masonry Walls. Materials 2020, 13, 4064. [Google Scholar] [CrossRef] [PubMed]
- Pepe, M.; Pingaro, M.; Trovalusci, P.; Reccia, E.; Leonetti, L. Micromodels for the in-plane failure analysis of masonry walls: Limit Analysis, FEM and FEM/DEM approaches. Frat. Integrità Strutt. 2019, 14, 504–516. [Google Scholar] [CrossRef]
- D’Altri, A.; Sarhosis, V.; Milani, G.; Rots, J.; Cattari, S.; Lagomarsino, S.; Sacco, E.; Tralli, A.; Castellazzi, G.; de Miranda, S. Chapter 1—A review of numerical models for masonry structures. In Numerical Modeling of Masonry and Historical Structures; Ghiassi, B., Milani, G., Eds.; Woodhead Publishing Series in Civil and Structural Engineering; Woodhead Publishing: Duxford, UK, 2019; pp. 3–53. [Google Scholar]
- Celano, T.; Argiento, L.U.; Ceroni, F.; Casapulla, C. In-Plane Behaviour of Masonry Walls: Numerical Analysis and Design Formulations. Materials 2021, 14, 5780. [Google Scholar] [CrossRef] [PubMed]
- Cluni, F.; Gusella, V. Homogenization of non-periodic masonry structures. Int. J. Solids Struct. 2004, 41, 1911–1923. [Google Scholar] [CrossRef]
- Gusella, V.; Cluni, F. Random field and homogenization for masonry with nonperiodic microstructure. J. Mech. Mater. Struct. 2006, 1, 357–386. [Google Scholar] [CrossRef]
- Cavalagli, N.; Cluni, F.; Gusella, V. Strength domain of non-periodic masonry by homogenization in generalized plane state. Eur. J. Mech. A/Solids 2011, 30, 113–126. [Google Scholar] [CrossRef]
- Cluni, F.; Gusella, V. Estimation of residuals for the homogenized solution: The case of the beam with random Young’s modulus. Probabilistic Eng. Mech. 2014, 35, 22–28. [Google Scholar] [CrossRef]
- Gusella, F.; Cluni, F.; Gusella, V. Homogenization of the heterogeneous beam dynamics: The influence of the random Young’s modulus mixing law. Compos. Part B Eng. 2019, 167, 608–614. [Google Scholar] [CrossRef]
- Gusella, F.; Cluni, F.; Gusella, V. Homogenization of dynamic behaviour of heterogeneous beams with random Young’s modulus. Eur. J. Mech. A/Solids 2019, 73, 260–267. [Google Scholar] [CrossRef]
- Cavalagli, N.; Cluni, F.; Gusella, V. Failure surface of quasi-periodic masonry by means of Statistically Equivalent Periodic Unit Cell approach. Meccanica 2018, 53, 1719–1736. [Google Scholar] [CrossRef]
- Smith, C.; Gilbert, M. Application of discontinuity layout optimization to plane plasticity problems. Proc. R. Soc. Math. Phys. Eng. Sci. 2007, 463, 2461–2484. [Google Scholar] [CrossRef]
- Sun, J. Hard particle force in a soft fracture. Sci. Rep. 2019, 9, 3065. [Google Scholar] [CrossRef] [PubMed]
- Vosniakos, K.; Patronis, C.; Lane, P. Physical and numerical study of shear behaviour of filled rock joints using DEM. J. Environ. Prot. Ecol. 2010, 11, 1591–1602. [Google Scholar]
- Sun, J.; Huang, Y. Modeling the Simultaneous Effects of Particle Size and Porosity in Simulating Geo-Materials. Materials 2022, 15, 1576. [Google Scholar] [CrossRef] [PubMed]
- Limtrakarn, W.; Dechaumphai, P. Computations of high-speed compressible flows with adaptive cell-centered finite element method. Materials 2003, 26, 553–563. [Google Scholar] [CrossRef]
- Heyman, J. The stone skeleton. Int. J. Solids Struct. 1966, 2, 249–256. [Google Scholar] [CrossRef]
- Milani, G.; Lourenco, P.; Tralli, A. Homogenised limit analysis of masonry walls, Part I: Failure surfaces. Comput. Struct. 2006, 84, 166–180. [Google Scholar] [CrossRef]
- Portioli, F.; Cascini, L.; Casapulla, C.; D’Aniello, M. Limit analysis of masonry walls by rigid block modelling with cracking units and cohesive joints using linear programming. Eng. Struct. 2013, 57, 232–247. [Google Scholar] [CrossRef]
- Gilbert, M.; Tyas, A. Layout optimization of large-scale pin-jointed frames. Eng. Comput. 2003, 20, 1044–1064. [Google Scholar] [CrossRef]
- Dorn, W. Automatic design of optimal structures. J. Mec. 1964, 3, 25–52. [Google Scholar]
- Hemp, W.S. Optimum Structures; Clarendon Press: Oxford, UK, 1973. [Google Scholar]
- Gilbert, M.; Casapulla, C.; Ahmed, H. Limit analysis of masonry block structures with non-associative frictional joints using linear programming. Comput. Struct. 2006, 84, 873–887. [Google Scholar] [CrossRef]
- Gilbert, M.; Smith, C.; Pritchard, T. Masonry arch analysis using discontinuity layout optimisation. Proc. Inst. Civ. Eng. Eng. Comput. Mech. 2010, 163, 155–166. [Google Scholar] [CrossRef]
- Smith, C.; Cubrinovski, M. Pseudo-static limit analysis by discontinuity layout optimization: Application to seismic analysis of retaining walls. Soil Dyn. Earthq. Eng. 2011, 31, 1311–1323. [Google Scholar] [CrossRef]
- Smith, C.; Gilbert, M.; Hawksbee, S.; Babiker, A. Recent advances in the application of discontinuity layout optimization to geotechnical limit analysis problems. In Numerical Methods in Geotechnical Engineering—Proceedings of the 8th European Conference on Numerical Methods in Geotechnical Engineering; NUMGE 2014; Hicks, M., Brinkgreve, R.B.J., Rohe, A., Eds.; Taylor and Francis—Balkema: Leiden, The Netherlands, 2014; Volume 1, pp. 415–420. [Google Scholar]
- Gilbert, M.; He, L.; Smith, C.; Le, C. Automatic yield-line analysis of slabs using discontinuity layout optimization. Proc. R. Soc. Math. Phys. Eng. Sci. 2014, 470, 20140071. [Google Scholar] [CrossRef] [PubMed]
- Gilbert, M.; Smith, C.; Hawksbee, S.; Tyas, A. Use of layout optimization to solve large-scale limit analysis and design problems. In Direct Methods for Limit States in Structures and Materials; Spiliopoulos, K., Weichert, D., Eds.; Springer: Dordrecht, The Netherlands, 2014; pp. 157–180. [Google Scholar]
- Fairclough, H.; Gilbert, M. Layout optimization of simplified trusses using mixed integer linear programming with runtime generation of constraints. Struct. Multidiscip. Optim. 2020, 61, 1977–1999. [Google Scholar] [CrossRef]
- Fairclough, H.E.; He, L.; Pritchard, T.J.; Gilbert, M. LayOpt: An educational web-app for truss layout optimization. Struct. Multidiscip. Optim. 2021, 64, 2805–2823. [Google Scholar] [CrossRef]
- Timmers, R. Application of Discontinuity Layout Optimization to Steel Parts and Steel Connections with a Single Bolt. Appl. Sci. 2020, 10, 3783. [Google Scholar] [CrossRef]
- Galindo, R.; Millán, M.A.; Hernández-Gutiérrez, L.E.; Olalla Marañón, C.; Patiño, H. Bearing Capacity of Volcanic Pyroclasts Using the Discontinuity Layout Optimization Method. Sustainability 2021, 13, 13733. [Google Scholar] [CrossRef]
- MATLAB. Version 9.9.0 (R2020b); The MathWorks Inc.: Natick, MA, USA, 2020. [Google Scholar]
- Cluni, F.; Gusella, V.; Vinti, G. Masonry elastic characteristics assessment by thermographic images. Meccanica 2019, 54, 1339–1349. [Google Scholar] [CrossRef]
- Ferris, M.; Tin-Loi, F. Limit analysis of frictional block assemblies as a mathematical program with complementarity constraints. Int. J. Mech. Sci. 2001, 43, 209–224. [Google Scholar] [CrossRef]




















Publisher’s Note: MDPI stays neutral with regard to jurisdictional claims in published maps and institutional affiliations. |
© 2022 by the authors. Licensee MDPI, Basel, Switzerland. This article is an open access article distributed under the terms and conditions of the Creative Commons Attribution (CC BY) license (https://creativecommons.org/licenses/by/4.0/).
Share and Cite
Schiantella, M.; Cluni, F.; Gusella, V. Parametric Analysis of Failure Loads of Masonry Textures by Means of Discontinuity Layout Optimization (DLO). Materials 2022, 15, 3691. https://doi.org/10.3390/ma15103691
Schiantella M, Cluni F, Gusella V. Parametric Analysis of Failure Loads of Masonry Textures by Means of Discontinuity Layout Optimization (DLO). Materials. 2022; 15(10):3691. https://doi.org/10.3390/ma15103691
Chicago/Turabian StyleSchiantella, Mattia, Federico Cluni, and Vittorio Gusella. 2022. "Parametric Analysis of Failure Loads of Masonry Textures by Means of Discontinuity Layout Optimization (DLO)" Materials 15, no. 10: 3691. https://doi.org/10.3390/ma15103691
APA StyleSchiantella, M., Cluni, F., & Gusella, V. (2022). Parametric Analysis of Failure Loads of Masonry Textures by Means of Discontinuity Layout Optimization (DLO). Materials, 15(10), 3691. https://doi.org/10.3390/ma15103691

