Active Meta-Device for Dual-Transmission Windows with Tunable Angular Dispersion Characteristics
Abstract
:1. Introduction
2. Underlying Mechanism
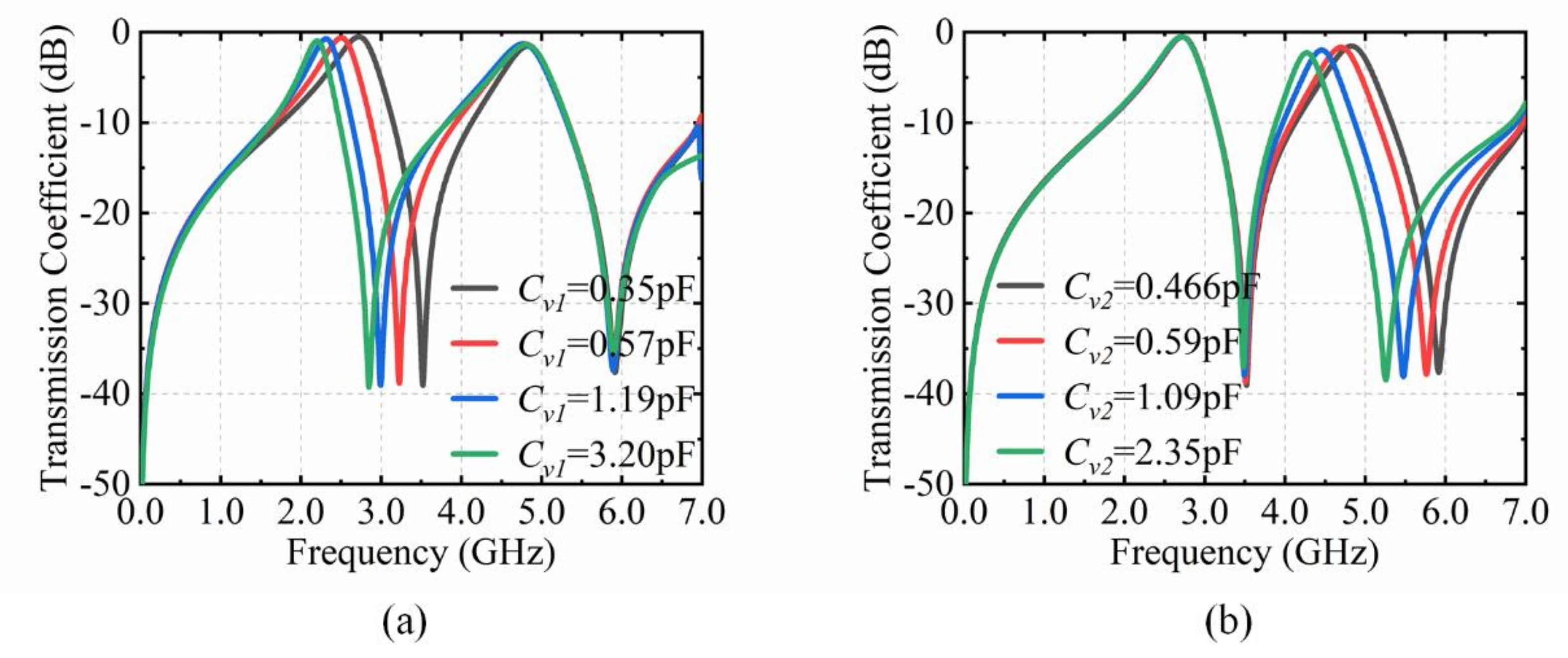
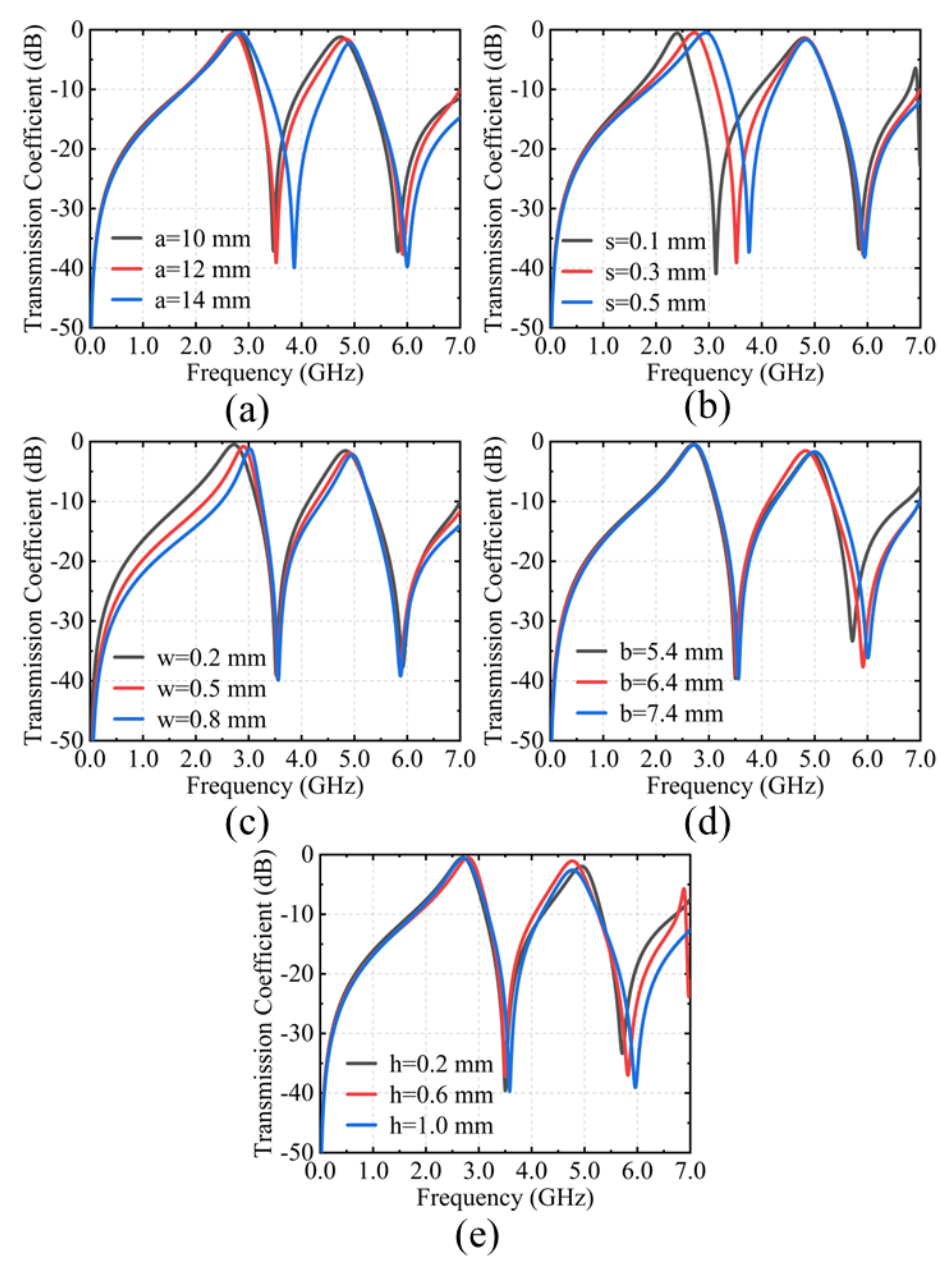
3. Design and Analysis of the Meta-Device
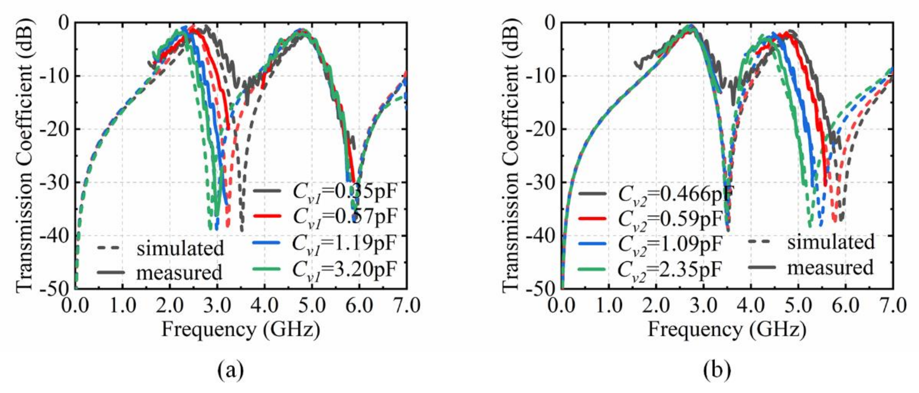
4. Experimental Verification
5. Conclusions
- (1)
- A method to dynamically modulate the angular dispersion is proposed and validated. The varactor diode can continuously modulate the resonant frequency of the transmission window. Thus, the angular dispersion can be dynamically compensated by mounting the varactor diode in the passive meta-atom.
- (2)
- The modulation method is applied to meta-devices with dual-transmission windows. Based on the analysis of the equivalent circuit model, the overall impedance of the structure is maintained constant by modulating the varactor diode. Thus, the blue shift of the angular dispersion and the red shift introduced by the varactor diode counteract each other to achieve angular dispersion compensation.
- (3)
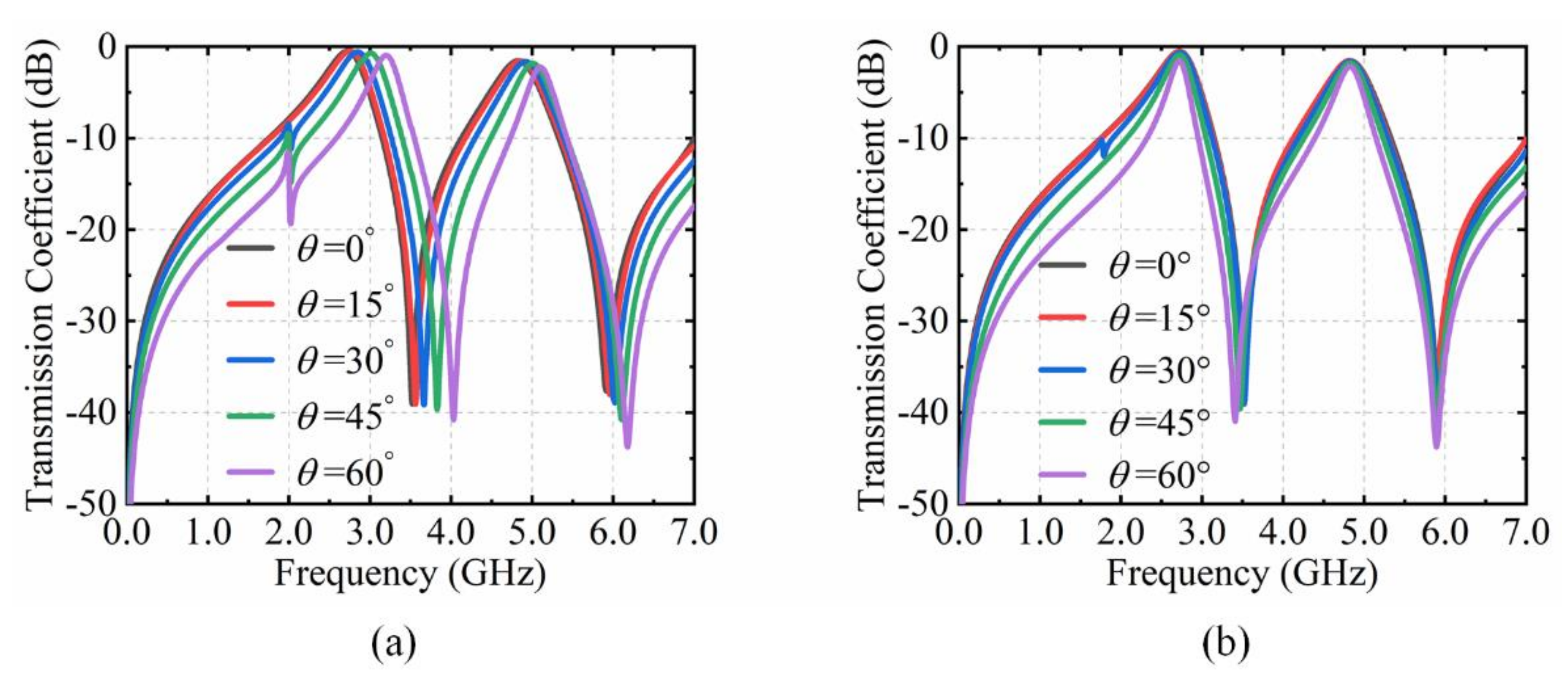
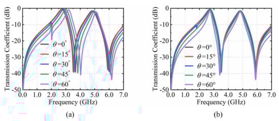
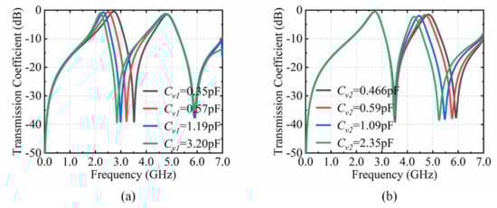
- As a proof-of-principle, a triple-layer meta-device with dual-transmission windows is designed and analyzed. The dual-transmission windows are, respectively, adjusted by varactor diodes on the top and bottom layer. With CST simulation and measurement, it can achieve the angular dispersion compensation at 2.72 GHz and 4.83 GHz as the incidence angle changes from 0° to 60°.
Author Contributions
Funding
Institutional Review Board Statement
Informed Consent Statement
Data Availability Statement
Conflicts of Interest
References
- Pattanayak, A.; Rana, G.; Jain, R.; Bhattacharya, A.; Duttagupta, S.P.; Gandhi, P.S.; Achanta, V.G.; Prabhu, S.S. Resonant THz transmission through asymmetric aperture array with polarization controlled resonant peaks and Q-factors. J. Appl. Phys. 2019, 126, 223103. [Google Scholar] [CrossRef]
- Yuan, Q.; Meng, Y.; Li, Y.; Wang, H.; Cheng, Y.; Ma, H.; Liu, T.; Wang, J.; Qu, S. Full-polarization frequency controlled multi-mode spoof surface plasmon polaritons excitation via anisotropic meta-structure. Adv. Opt. Mater. 2022, 10, 2101369. [Google Scholar] [CrossRef]
- Noroozi, R.; Bodaghi, M.; Jafari, H.; Zolfagharian, A.; Fotouhi, M. Shape-adaptive metastructures with variable bandgap regions by 4D printing. Polymers 2020, 12, 519. [Google Scholar] [CrossRef] [PubMed] [Green Version]
- Devlin, R.C.; Ambrosio, A.; Rubin, N.A.; Mueller, J.P.B.; Capasso, F. Arbitrary spin-to–orbital angular momentum conversion of light. Science 2017, 358, 896–901. [Google Scholar] [CrossRef] [PubMed] [Green Version]
- Ding, G.; Chen, K.; Luo, X.; Zhao, J.; Jiang, T.; Feng, Y. Dual-helicity decoupled coding metasurface for independent spin-to-orbital angular momentum conversion. Phys. Rev. Appl. 2019, 11, 044043. [Google Scholar] [CrossRef]
- Sun, S.; Yang, K.Y.; Wang, C.M.; Juan, T.K.; Chen, W.T.; Liao, C.Y.; He, Q.; Xiao, S.; Kung, W.T.; Guo, G.Y.; et al. High-efficiency broadband anomalous reflection by gradient meta-surfaces. Nano Lett. 2012, 12, 6223–6229. [Google Scholar] [CrossRef]
- Yu, N.; Genevet, P.; Kats, M.A.; Aieta, F.; Tetienne, J.; Capasso, F.; Gaburro, Z. Light propagation with phase discontinuities: Generalized laws of reflection and refraction. Science 2011, 334, 333–337. [Google Scholar] [CrossRef] [Green Version]
- Ni, X.; Wong, Z.J.; Mrejen, M.; Wang, Y.; Zhang, X. An ultrathin invisibility skin cloak for visible light. Science 2015, 349, 1310–1314. [Google Scholar] [CrossRef]
- Yu, N.; Genevet, P.; Kats, M.A.; Aieta, F.; Tetienne, J.P.; Capasso, F.; Gaburro, Z. Flat optics: Controlling wavefronts with optical antenna metasurfaces. IEEE J. Sel. Top. Quant. 2013, 19, 4700423. [Google Scholar]
- Yan, L.; Zhu, W.; Karim, M.F.; Cai, H.; Gu, A.Y.; Shen, Z.; Chong, P.H.J.; Tsai, D.P.; Kwong, D.L.; Qiu, C.W.; et al. Arbitrary and independent polarization control in situ via a single metasurface. Adv. Opt. Mater. 2018, 6, 1800728. [Google Scholar] [CrossRef]
- Huang, C.; Zhang, C.L.; Yang, J.; Sun, B.; Zhao, B.; Luo, X.G. Reconfigurable metasurface for multifunctional control of electromagnetic waves. Adv. Opt. Mater. 2017, 5, 1700485. [Google Scholar] [CrossRef]
- Tao, Z.; Wan, X.; Pan, B.C.; Cui, T.J. Reconfigurable conversions of reflection, transmission, and polarization states using active meta-surface. Appl. Phys. Lett. 2017, 110, 121901. [Google Scholar] [CrossRef]
- Luo, Z.J.; Wang, Q.; Zhang, X.G.; Wu, J.W.; Dai, J.Y.; Zhang, L.; Wu, H.T.; Zhang, H.C.; Ma, H.F.; Cheng, Q.; et al. Intensity-dependent metasurface with digitally reconfigurable distribution of nonlinearity. Adv. Opt. Mater. 2019, 7, 1900792. [Google Scholar] [CrossRef]
- Dai, J.Y.; Zhao, J.; Cheng, Q.; Cui, T.J. Independent control of harmonic amplitudes and phases via a time-domain digital coding metasurface. Light Sci. Appl. 2018, 7, 90. [Google Scholar] [CrossRef]
- Shang, G.; Wang, Z.; Li, H.; Zhang, K.; Wu, Q.; Burokur, S.N.; Ding, X. Metasurface holography in the microwave regime. Photonics 2022, 8, 135. [Google Scholar] [CrossRef]
- Chong, K.E.; Wang, L.; Staude, I.; James, A.R.; Dominguez, J.; Liu, S.; Subramania, G.S.; Decker, M.; Neshev, D.N.; Brener, I.; et al. Efficient polarization-insensitive complex wavefront control using Huygens’ metasurfaces based on dielectric resonant meta-atoms. ACS Photonics 2016, 3, 514–519. [Google Scholar] [CrossRef]
- Aieta, F.; Kats, M.A.; Genevet, P.; Capasso, F. Multi-wavelength achromatic metasurfaces by dispersive phase compensation. Science 2015, 347, 1342–1345. [Google Scholar] [CrossRef]
- Huang, Y.; Zhao, Q.; Kalyoncu, S.K.; Torun, R.; Lu, Y.; Capolino, F.; Boyraz, O. Phase-gradient gap-plasmon metasurface based blazed grating for real time dispersive imaging. Appl. Phys. Lett. 2014, 104, 161106. [Google Scholar] [CrossRef] [Green Version]
- Cui, T.J.; Qi, M.Q.; Wan, X.; Zhao, J.; Cheng, Q. Coding metamaterials, digital metamaterials and programmable metamaterials. Light Sci. Appl. 2014, 3, e218. [Google Scholar] [CrossRef]
- Huang, C.; Sun, B.; Pan, W.; Cui, J.; Wu, X.; Luo, X. Dynamical beam manipulation based on 2-bit digitally-controlled coding metasurface. Sci. Rep. 2017, 7, 42302. [Google Scholar] [CrossRef] [Green Version]
- Li, L.; Cui, T.J.; Ji, W.; Liu, S.; Ding, J.; Wan, X.; Li, Y.B.; Jiang, M.; Qiu, C.W.; Zhang, S. Electromagnetic reprogrammable coding-metasurface holograms. Nat. Commun. 2017, 8, 197. [Google Scholar] [CrossRef] [Green Version]
- Ma, Q.; Shi, C.B.; Bai, G.D.; Chen, T.Y.; Noor, A.; Cui, T.J. Beam-editing coding metasurfaces based on polarization bit and orbital-angular-momentum-mode bit. Adv. Opt. Mater. 2017, 5, 1700548. [Google Scholar] [CrossRef]
- Deng, Z.; Deng, J.; Zhuang, X.; Wang, S.; Li, K.; Wang, Y.; Chi, Y.; Ye, X.; Xu, J.; Wang, G.P.; et al. Diatomic metasurface for vectorial holography. Nano Lett. 2018, 18, 2885–2892. [Google Scholar] [CrossRef]
- Deng, Z.; Deng, J.; Zhuang, X.; Wang, S.; Shi, T.; Wang, G.P.; Wang, Y.; Xu, J.; Cao, Y.; Wang, X.; et al. Facile metagrating holograms with broadband and extreme angle tolerance. Light Sci. Appl. 2018, 7, 78. [Google Scholar] [CrossRef] [Green Version]
- Bao, Y.; Yu, Y.; Xu, H.; Lin, Q.; Wang, Y.; Li, J.; Zhou, Z.; Wang, X. Coherent Pixel Design of Metasurfaces for Multidimensional Optical Control of Multiple Printing-Image Switching and Encoding. Adv. Funct. Mater. 2018, 28, 1805306. [Google Scholar] [CrossRef]
- Leitis, A.; Tittl, A.; Liu, M.; Lee, B.H.; Gu, M.B.; Kivshar, Y.S.; Altug, H. Angle-multiplexed all-dielectric metasurfaces for broadband molecular fingerprint retrieval. Sci. Adv. 2019, 5, eaaw2871. [Google Scholar] [CrossRef] [Green Version]
- Deng, Z.L.; Cao, Y.; Li, X.; Wang, G.P. Multifunctional metasurface: From extraordinary optical transmission to extraordinary optical diffraction in a single structure. Photonics Res. 2018, 6, 443–450. [Google Scholar] [CrossRef]
- Qiu, M.; Jia, M.; Ma, S.; Sun, S.; He, Q.; Zhou, L. Angular dispersions in terahertz metasurfaces: Physics and applications. Phys. Rev. Appl. 2018, 9, 054050. [Google Scholar] [CrossRef]
- Marcuvitz, N. Waveguide Handbook (No. 21); IET: London, UK, 1951. [Google Scholar]
- Li, Y.; Ren, P.; Xiang, Z. A dual-passband frequency selective surface for 5G communication. IEEE Antenn. Wirel. Pr. 2019, 18, 2597–2601. [Google Scholar] [CrossRef]
- Yadav, S.; Jain, C.P.; Sharma, M.M. Polarization independent dual-bandpass frequency selective surface for Wi-max applications. Int. J. RF Microw. Comput. Aided Eng. 2018, 28, e21278. [Google Scholar] [CrossRef]
- Rahmani-Shams, Y.; Mohammd-Ali-Nezhad, S.; Yeganeh, A.N.; Sedighy, S.H. Dual band, low profile and compact tunable frequency selective surface with wide tuning range. J. Appl. Phys. 2018, 123, 235301. [Google Scholar] [CrossRef]
- Ghosh, S.; Srivastava, K.V. A dual-band tunable frequency selective surface with independent wideband tuning. IEEE Antenn. Wirel. Propag. Lett. 2020, 19, 1808–1812. [Google Scholar] [CrossRef]









| The Incident Angle (°) | The Variable Capacitance of the Varactor Diode (pF) | |
|---|---|---|
| The Top Layer Cv1 | The Bottom Layer Cv2 | |
| 0 | 0.35 | 0.466 |
| 15 | 0.37 | 0.48 |
| 30 | 0.47 | 0.54 |
| 45 | 0.76 | 0.64 |
| 60 | 2.50 | 0.90 |
| The Incident Angle (°) | The Capacitance Cv1 (pF) | DC Voltage U1 (V) | The Capacitance Cv2 (pF) | DC Voltage U2 (V) |
|---|---|---|---|---|
| 0 | 0.35 | 16.2 | 0.466 | 10.2 |
| 15 | 0.37 | 15.1 | 0.48 | 9.4 |
| 30 | 0.47 | 12.1 | 0.54 | 7.9 |
| 45 | 0.76 | 7.5 | 0.64 | 6.2 |
| 60 | 2.50 | 0.8 | 0.90 | 3.5 |
| Reference | Type | Dual-Transmission Windows (GHz) | Angular Stability | Angular Dispersion |
|---|---|---|---|---|
| [30] | passive | 27.7/39.1 | 45° | 2.3% |
| [31] | passive | 2.5/5.5 | 45° | Not stated |
| [32] | active | 2.28–4.66/5.44–11.3 | 60° | Not stated |
| [33] | active | 0.28–1.28/0.52–1.98 | 60° | Not stated |
| Proposed paper | active | 2.74/4.85 | 60° | tunable |
Publisher’s Note: MDPI stays neutral with regard to jurisdictional claims in published maps and institutional affiliations. |
© 2022 by the authors. Licensee MDPI, Basel, Switzerland. This article is an open access article distributed under the terms and conditions of the Creative Commons Attribution (CC BY) license (https://creativecommons.org/licenses/by/4.0/).
Share and Cite
Li, C.; Bai, H.; Yan, M.; Wang, H.; Li, Z.; Wang, W.; Wang, J.; Qu, S. Active Meta-Device for Dual-Transmission Windows with Tunable Angular Dispersion Characteristics. Materials 2022, 15, 3686. https://doi.org/10.3390/ma15103686
Li C, Bai H, Yan M, Wang H, Li Z, Wang W, Wang J, Qu S. Active Meta-Device for Dual-Transmission Windows with Tunable Angular Dispersion Characteristics. Materials. 2022; 15(10):3686. https://doi.org/10.3390/ma15103686
Chicago/Turabian StyleLi, Chenchen, Hui Bai, Mingbao Yan, He Wang, Zhiqiang Li, Wenjie Wang, Jiafu Wang, and Shaobo Qu. 2022. "Active Meta-Device for Dual-Transmission Windows with Tunable Angular Dispersion Characteristics" Materials 15, no. 10: 3686. https://doi.org/10.3390/ma15103686
APA StyleLi, C., Bai, H., Yan, M., Wang, H., Li, Z., Wang, W., Wang, J., & Qu, S. (2022). Active Meta-Device for Dual-Transmission Windows with Tunable Angular Dispersion Characteristics. Materials, 15(10), 3686. https://doi.org/10.3390/ma15103686

