Airport Cement Concrete with Ceramic Dust of Increased Thermal Resistance
Abstract
1. Introduction
2. Concrete Durability Criteria in Case of Airfield Structure
- -
- in the case of coarse aggregate their geometrical characteristics (aggregate dimensions, grain-size distribution according to [60], dust content and dust quality according to [60], physical and mechanical (crushing resistance according to [61], polishing resistance according to [62], abrasion resistance [63] grains density and absorbability according to [64], frost resistance according to [65]), a chemical composition according to the requirements of [66] and compared with the requirements of [56];
- -
- -
- -
- in the case of Portland cement, compliance with the requirements of [67];
- -
- in the case of the water, compliance with the requirements of [68]. The used water should not have any smells (e.g., putrid). Water pH value should be ≥4, H2S content ≤ 20 mg/dm3, sulfates content ≤ 600 mg/dm3, and carbohydrate content ≤ 500 mg/dm3;
- -
- in the case of the admixture, compliance with the requirements of [69].
- -
- Compressive strength in accordance with the guidelines [74]. The tested feature, depending on the designed concrete class and the size of the test bodies (cylindrical samples 150 mm × 300 mm or cubic samples 150 mm × 150 mm × 150 mm), should be for the C30/37 class, higher than 30 MPa or 37 MPa, respectively; for the C35/45 class, higher than 35 MPa or 45 MPa; for the C40/50 class, higher than 40 MPa or 50 MPa, and; for the C45/55 class, higher than 45 MPa or 55 MPa;
- Bending strength in accordance with the guidelines of [75]. The tested property should be for the C30/37 class higher than 5.0 MPa; for the C35/45 class higher than 5.5 MPa; for the C40/50 class higher than 5.6 MPa, and; for the C45/55 class higher than 5.7 MPa;
- Tensile strength during splitting in accordance with the guidelines of [76]. The tested property should be for the C30/37 class higher than 3.3 MPa, for the C35/45 class higher than 3.6 MPa, for the C40/50 class higher than 3.7 MPa, and for the C45/55 class higher than 3.8 MPa;
- Absorbability of concrete in water and de-icers according to [56]. The tested property should be for the C30/37 class not exceeding 5.0%, for the C35/45 class not exceeding 4.9%, for the C40/50 class not exceeding 4.9%, and for the C45/55 class not exceeding 4.8%;
- Frost resistance of concrete according to [56], which in the case of airfield pavements should be F200 (after 200 freezing and de-freezing cycles, loss of weight and loss of resistance should not exceed accordingly 5.0% and 20% for class C30/37, 4.9% and 19% for class C35/45, 4.8% and 18% for class C40/50 and 4.7% and 17% for class C45/55);
- Resistance to surface flaking of concrete, according to [56], should not exceed 0.01 kg/m2;
- No phenomenon of permeability of water through concrete is specified according to [77].
3. Materials and Methods
3.1. Materials: Aggregate and Cement
3.2. Materials: Ceramic Dust
3.3. Concrete Mix Design
- -
- assumed exposure classes (according to [59]) reflecting the influence of real environmental conditions on construction concrete—XM1, XC4, XA2, XM3, and XF4;
- -
- assumed concrete strength class (according to provisions of [59])—C40/50;
- -
- W/C mix coefficient—indicating the quality of slurry, each time this value did not exceed the limit value of 0,4, which was assumed according to standard requirements of [56], as the maximum value in case of mix designed for airfield pavements. Increased w/c coefficient, according to [18], is reflected in the increased porosity, water, and air permeability, increased volume changes during drying out, and at the same time decreasing the strength and resistance to environmental impact;
- -
- minimum cement content in the concrete mix, as derived from the assumed concrete exposure class, which should not be lower than that presented in Table 1;
- -
- total cement and fine aggregate content at a maximum level up to 450 kg/m3;
- -
- -
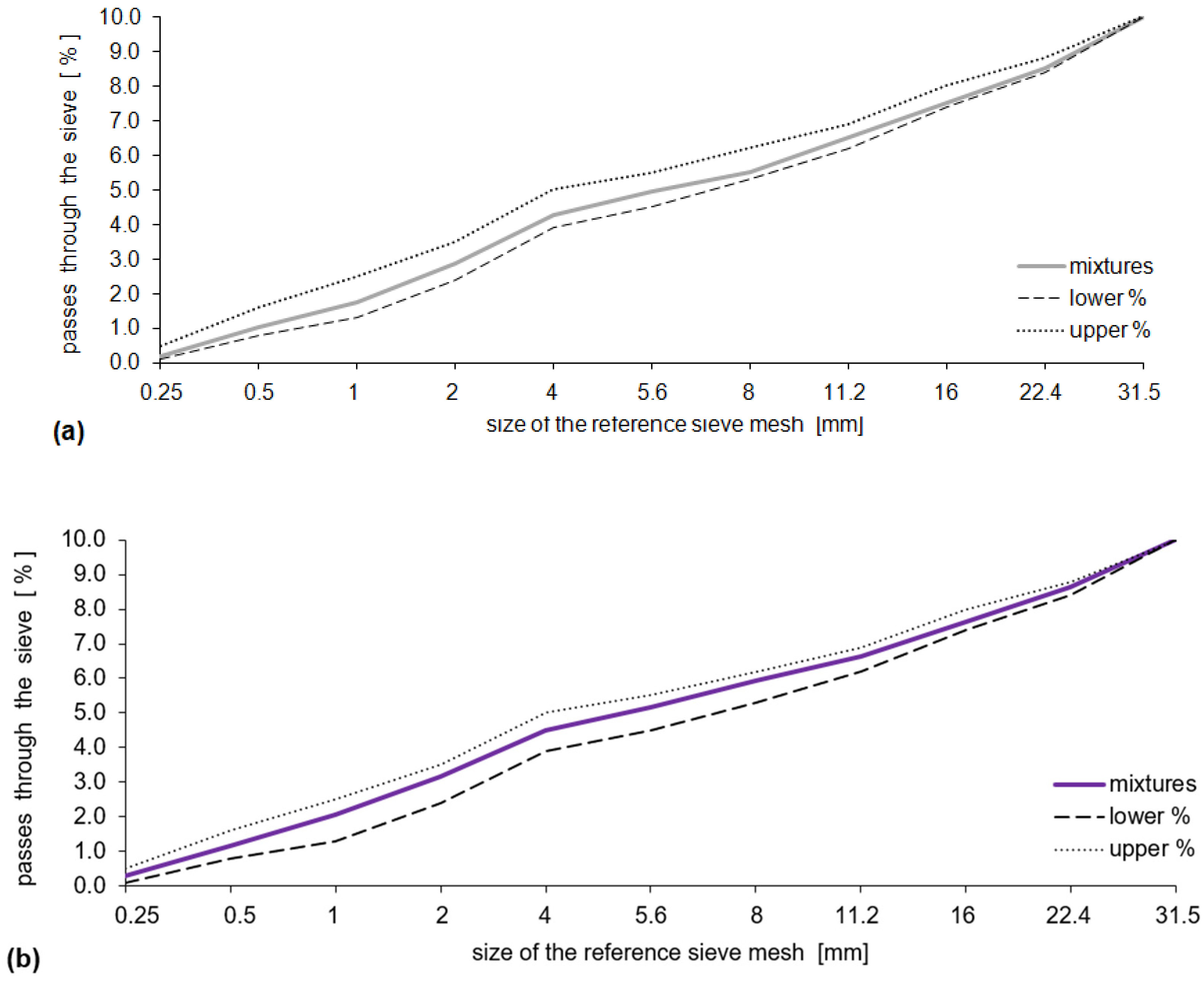
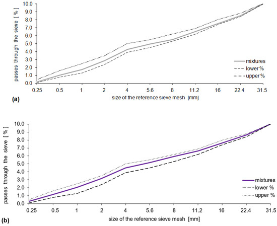
- grain size distribution curve of concrete mix—each of the designed curves in case of concrete mixes was within good grain size distribution, accepted according to the requirements of [56] depending on the assumed method of laying the mixes within the structure.
3.4. Research Methodology
4. Results and Discussion
4.1. Diagram A
4.2. Diagram B
4.3. Compressive Strength
4.4. Internal Structure of Cement Concretes
5. Conclusions
- Non-reactive aggregate and cement, which contains a reduced alkali content and ceramic dust in the concrete mix were used, produced concrete with increased resistance to the diversified influence of thermal cycles.
- 2.
- Changes in the internal structure were observed, in particular concerning the porosity characteristics, the structure of the contact zone between the aggregate grain and the matrix, and the structure of the cement matrix.
- 3.
- A significant increase in the compressive strength of concrete with the proposed ceramic dust was found, regardless of the course of the heating process.
Funding
Institutional Review Board Statement
Informed Consent Statement
Acknowledgments
Conflicts of Interest
References
- ICAO. Annex 14—Aerodromes—Volume I—Aerodromes Design and Operations; International Civil Aviation Organization—ICAO: Montreal, QC, Canada, 2018. [Google Scholar]
- Linek, M. Surface Concrete with Improved Parameters of Physical and Mechanical on the Loads Caused by Forced Temperature. Ph.D. Thesis, Kielce University of Technology, Kielce, Poland, 2013. (In Polish). [Google Scholar]
- Nita, P. Concrete Surface Airport. Theory and Structural Dimensioning; Publishing Air Force Institute of Technology Poland: Warsaw, Poland, 2005. [Google Scholar]
- Nita, P. Construction and Maintenance of Airport Pavements; WKiŁ: Warsaw, Poland, 2008. [Google Scholar]
- Nita, P. Designing Airports; WKiŁ: Warsaw, Poland, 2014. [Google Scholar]
- Wu, G.Y. Protective Coatings for F/A 18 Airfield Pavement; Technical Memorandum 53-88-15; Naval Civil Engineering Laboratory: Port Hueneme, CA, USA, 1988. [Google Scholar]
- Wu, G.Y. The Effect of Jet Fuel, Hydraulic Fluid and Cyclic Heating on Concrete Pavement; Technical Memorandum, 53-88-11; Naval Civil Engineering Laboratory: Port Hueneme, CA, USA, 1988. [Google Scholar]
- Nita, P.; Linek, M.; Wesołowski, M. Concrete and Special Airport Surfaces; Theory and Structural Dimensioning; ITWL: Warsaw, Poland, 2021. (In Polish) [Google Scholar]
- Delatte, N.J. Concrete Pavement Design, Construction and Performance; CRC Press: London, UK, 2017; Available online: https://www.taylorfrancis.com/books/mono/10.1201/9781482288483/concrete-pavement-design-construction-performance-norbert-delatte (accessed on 15 January 2022).
- Ling, J.-M.; Zhu, L.G.; Yuan, J.; Chai, Z.L.; Luo, Y.; Chen, S.C. Performance and utilization of recycled aggregates for airport cement concrete pavement. Adv. Mater. Res. 2013, 723, 1034–1043. Available online: https://www.scientific.net/AMR.723.1034 (accessed on 15 January 2022). [CrossRef]
- Poświata, A.; Wesołowski, M.; Kowalska, D. Contemporary concrete airport pavements in Poland—Selected problems. In Proceedings of the VIIIth Conference Dni Betonu, Wisła, Poland, 13–15 October 2014; pp. 103–114. [Google Scholar]
- Solonenko, I. The use of cement concrete pavements for roads, depending on climatic conditions. Teh. Glas. 2019, 13, 235–240. Available online: https://hrcak.srce.hr/225478 (accessed on 15 January 2022). [CrossRef]
- Szydło, A. Road Surfaces Made of Cement Concrete; Polish Cement: Cracow, Poland, 2004. [Google Scholar]
- Graczyk, M.; Gáspár, L.; Wistuba, M.P. Making Best Use of Long-Life Pavements in Europe Phase 3: A Guide to the use of Long-Life Rigid Pavements. 2019. Available online: https://www.researchgate.net/publication/331224543_Making_Best_Use_of_Long-Life_Pavements_in_Europe_Phase_3_A_Guide_to_the_use_of_Long-Life_Rigid_Pavements (accessed on 15 January 2022).
- Babińska, J.; Bobrowicz, J. Durability of concrete in the context of alkaline reactivity of aggregates. In Proceedings of the IXth Conference Dni Betonu, Wisła, Poland, 10–12 October 2016; pp. 539–552. [Google Scholar]
- FAA. Airport Pavement Design and Evaluation; FAA: Washington, DC, USA, 2009.
- Giergiczny, Z. Selection of Cement for Particular Exposition Classes Described in Standard PN-EN 206-1 Concrete. Part 1: Requiments, Properties, Production and Conformity. pp. 1–13. (In Polish). Available online: https://www.dnibetonu.com/wp-content/pdfs/2004/giergiczny_puzak_sokolowski.pdf (accessed on 10 January 2022).
- Glinicki, M.A. Engineering of Concrete Road Surfaces; PWN: Warsaw, Poland, 2019. [Google Scholar]
- Gołaszewski, J. Cooperation of Cements with Admixtures, Konferencja Reologia w Technologii Betonu; SPChB: Warsaw, Poland, 2013; pp. 73–88. Available online: https://spchb.pl/download/files/1442.pdf (accessed on 10 January 2022).
- Gruszczyński, M. Damage to concrete surfaces caused by defective aggregate quality. In Proceedings of the VIIIth Conference Dni Betonu, Wisła, Poland, 13–15 October 2014; pp. 39–50. [Google Scholar]
- IPRF. Best Practices for Airport Portland Cement Concrete Pavement Construction; IPRF: Washington, DC, USA, 2003. [Google Scholar]
- Jamroży, Z. Concrete and Its Technologies; PWN: Warsaw, Poland, 2009. [Google Scholar]
- Jasiczak, J.; Mikołajczak, P. Technology of Concrete Modified with Admixtures and Additives; Poznan University of Technology: Poznan, Poland, 2003. [Google Scholar]
- Kurdowski, W. Cement and Concrete Chemistry; Polish Cement Association: Cracow, Poland, 2010. [Google Scholar]
- Małolepszy, J. Building Materials. Fundamentals of Technology and Research Methods; Uczelniane Wydawnictwa Naukowo-Dydaktyczne: Cracow, Poland, 2008. [Google Scholar]
- Małolepszy, J.; Kołodziej, Ł.; Mrozowska, K.; Trybalski, P. Influence of CEM I Cement Type on Selected Properties of Concrete; IX Conference Dni Betonu: Wisła, Poland, 2016; pp. 597–610. [Google Scholar]
- Łukowski, P. Material Modification of Concrete; Polish Cement Association: Cracow, Poland, 2016. [Google Scholar]
- Neville, A.M. Properties of Concrete; Polish Cement: Cracow, Poland, 2012. [Google Scholar]
- Group Work, Diagnosis of Concretes and High Performance Concrete by Structural Analysis; Institute of Fundamental Technological Research Polish Academy of Sciences: Warsaw, Poland, 2003.
- Śliwiński, J. Plain Concrete: Design and Basic Properties; Polski Cement: Warsaw, Poland, 1999. [Google Scholar]
- Taylor, H.F.W. Cement Chemistry; ICE Publishing: London, UK, 1974. [Google Scholar]
- Linek, M.; Nita, P. Thermal stress in concrete slab of the airfield pavement. J. Konbin 2020, 50, 259–268. Available online: https://www.sciendo.com/article/10.2478/jok-2020-0015 (accessed on 5 January 2022). [CrossRef]
- Bajorek, G. Aims and role of the care and protection of young concrete. In Proceedings of the VIII Conference Dni Betonu, Wisła, Poland, 13–15 October 2014; pp. 263–276. [Google Scholar]
- Glinicki, M.A. Durability of Concrete in Road Surfaces. Effect of Microstructure, Materials Design, Diagnostics; Road and Bridge Research Institute: Warsaw, Poland, 2011; Volume 11. [Google Scholar]
- Guo, T.; Weng, X. Evaluation of the freeze-thaw durability of surface-treated airport pavement concrete under adverse conditions. Constr. Build. Mater. 2019, 206, 519–530. Available online: https://ur.booksc.org/book/74702122/726575 (accessed on 18 January 2022). [CrossRef]
- Linek, M.; Piotrowska-Nowak, P. Stress Analysis of Concrete Slab with Regard to Natural Thermal Loads. Przegląd Bud. 2020, 7–8, 32–37. (In Polish) [Google Scholar]
- Linek, M.; Piotrowsk-Nowak, P. Natural thermal loads and their influence on airfield concrete slabs. IOP Conf. Ser. Mater. Sci. Eng. 2019, 603, 032042. Available online: https://iopscience.iop.org/article/10.1088/1757-899X/603/3/032042 (accessed on 7 January 2022).
- Park, H.W.; Kim, D.H.; Shim, C.S.; Jeong, J.H. Behavior of Airport Concrete Pavement Slabs Exposed to Environmental Loadings. Appl. Sci. 2020, 10, 2618. Available online: https://www.mdpi.com/2076-3417/10/7/2618 (accessed on 12 January 2022). [CrossRef]
- Linek, M.; Żebrowski, W.; Wolka, P. Variations of physical parameters and compressive strength of airfield concrete exposed to the influence of hydraulic mineral oil. Mater. Bud. 2016, 11, 144–147. Available online: http://yadda.icm.edu.pl/yadda/element/bwmeta1.element.baztech-87b02665-9942-4d9a-a411-d3a84d8a3def (accessed on 10 January 2022).
- Linek, M.; Nita, P.; Żebrowski, W.; Wolka, P. Influence of Operating Media on the Parameters of Cement Concrete Intended for Airfield Pavements. J. Konbin 2019, 49, 103–126. [Google Scholar] [CrossRef][Green Version]
- Linek, M. Low-shrink airfield cement concrete with respect to thermal. MATEC Web Conf. 2017, 133, 07002. [Google Scholar] [CrossRef][Green Version]
- Trigoni, B. Struinnaja Erozja Aerodromow; Transport: Moskwa, Rosja, 1981. [Google Scholar]
- Głowacki, P. Ecological Threats to the Areas around Airports Caused by Aircraft Propulsion Systems and the Possibilities of Their Reduction. Ph.D. Thesis, Air Force Institute of Technology, Warsaw, Poland, 2012. [Google Scholar]
- Linek, M. Influence of Ceramic Modifier on the Increased Airfield Concrete Resistance Exposed to Diversified Action of External Factors. Conf. Proceedings 2016, 2, 1–8. [Google Scholar]
- Shill, K.S.; Al-Deen, S.; Mahmud, A. Concrete durability issues due to temperature effects and aviation oil spillage at military airbase—A comprehensive review. Constr. Build. Mater. 2018, 160, 240–251. [Google Scholar] [CrossRef]
- Hossain, M.; Al-Deen, S.; Hassan, M.K.; Shill, S.K. Mechanical and Thermal Properties of Hybrid Fibre-Reinforced Concrete Exposed to Recurrent High Temperature and Aviation Oil. J. Mater. 2021, 14, 2725. [Google Scholar] [CrossRef] [PubMed]
- Shill, S.; Al-Deen, S.; Ashraf, M.; Garcez, E.O.; Subhani, M.; Hossain, M.M. Resistance of Geopolymer, Epoxy and Cement Mortar to Hydrocarbon-Based Synthetic Engine Lubricant, Hydraulic Fluid, Jet Fuel and Elevated Temperatures. Constr. Mater. 2022, 2, 15–26. [Google Scholar] [CrossRef]
- Linek, M. Modified Pavement Quality Concrete as Material Alternative to Concrete Applied Regularly on Airfield Pavements. IOP Conf. Ser. Mater. Sci. Eng. 2019, 603, 032043. Available online: https://iopscience.iop.org/article/10.1088/1757-899X/603/3/032043 (accessed on 13 January 2022).
- Kenai, S. Waste and Supplementary Comentitious Materials in Concrete, Characterisation, Properties and Applications; Series in Civil and Structural Engineering; Woodhesd Publishing: Cambridge, UK, 2018; pp. 79–120. [Google Scholar] [CrossRef]
- Silva, R.V.; Jimenez, J.R.; Agrela, F.; de Brito, J. Real-scale applications of recycled aggregate concrete. In New Trends in eco-Efficient and Recycled Concrete; Woodhead Publishing: Cambridge, UK, 2019; pp. 573–589. [Google Scholar] [CrossRef]
- Rudnicki, T.; Jurczak, R. Recycling of a concrete pavement after over 80 years in service. Materials 2020, 13, 2262. [Google Scholar] [CrossRef]
- Ramakrishna, B.; Harshini, B.; Iswarya Lakshmi, G.N.K.; Sangireddy, K.; Pavan Krishna Prasad, K. Influence of fly ash on the properties of recycled coarse aggregate concrete. Int. J. Emerg. Trends Eng. Res. 2020, 8, 2097–2100. [Google Scholar]
- Czarnecki, L.; Justnes, H. Sustainable, Durable Concrete. Cem. Lime Concr. 2012, 6, 341–362. Available online: https://www.researchgate.net/publication/258514304_Sustainable_and_Durable_Concrete (accessed on 13 January 2022).
- Graczyk, M. Are Concrete Pavements durable? Autostrady 2019, 10, 27–30. Available online: https://www.researchgate.net/publication/336775947_Czy_nawierzchnie_betonowe_sa_trwale (accessed on 11 January 2022).
- Transportation Research Circular. Durability of Concrete. Vol. E-C171. 2013. Available online: https://onlinepubs.trb.org/onlinepubs/circulars/ec171.pdf (accessed on 14 January 2022).
- NO 17-A204:2015; Airfield Concrete Pavements—Requirements and Test Methods for Cement Concrete Pavements. European Standards: Warsaw, Poland, 2015.
- PN-EN 13877-2: 2013-08; Concrete Pavements—Part 2: Functional Requirements for Concrete Pavement. European Standards: Warsaw, Poland, 2013.
- PN-EN 13877-1: 2013-08; Concrete Pavements—Part 1: Materials. European Standards: Warsaw, Poland, 2013.
- PN-EN 206: 2014-1; Concrete—Part 1: Specification, Performance, Production and Conformity. European Standards: Warsaw, Poland, 2014.
- PN-EN 933-1: 2012; Tests for Geometrical Properties of Aggregates—Part 1: Determination of Particle Size Distribution—Sieving Method. European Standards: Warsaw, Poland, 2012.
- PN-EN 1097-2: 2020-09; Tests for Mechanical and Physical Properties of Aggregates—Part 2: Methods for the Determination of Resistance to Fragmentation. European Standards: Warsaw, Poland, 2020.
- PN-EN 1097-8: 2020-09; Tests for Mechanical and Physical Properties of Aggregates—Part 8: Determination of the Polished Stone Value. European Standards: Warsaw, Poland, 2020.
- PN-EN 1097-6: 2013-11; Tests for Mechanical and Physical Properties of Aggregates—Part 6: Determination of Particle Density and Water Absorption. European Standards: Warsaw, Poland, 2013.
- PN-EN 1097-1: 2011; Tests for Mechanical and Physical Properties of Aggregates—Part 1: Determination of the Resistance to Wear (Micro-Deval). European Standards: Warsaw, Poland, 2011.
- PN-EN 1367-1: 2007; Tests for Thermal and Weathering Properties of Aggregates—Part 1: Determination of Resistance to Freezing and Thawing. European Standards: Warsaw, Poland, 2007.
- PN-EN 13043: 2004; Aggregates for Bituminous Mixtures and Surface Treatments for Roads, Airfields and Other Trafficked Areas. European Standards: Warsaw, Poland, 2004.
- PN-EN 197-1: 2012; Cement—Part 1: Composition, Specifications and Conformity Criteria for Common Cements. European Standards: Warsaw, Poland, 2012.
- PN-EN 1008: 2004; Mixing Water for Concrete—Specification for Sampling, Testing and Assessing the Suitability of Water, including Water Recovered from Processes in the Concrete Industry, as Mixing Water for Concrete. European Standards: Warsaw, Poland, 2004.
- PN-EN 934-2: 2012; Admixtures for Concrete, Mortar and Grout—Part 2: Concrete Admixtures—Definitions, Requirements, Conformity, Marking and Labelling. European Standards: Warsaw, Poland, 2012.
- Linek, M.; Nita, P. Pavement quality cement concrete of extended operational durability. In Proceedings of the 29th International Baltic Road Conference, Tallinn, Estonia, 27–30 August 2017. [Google Scholar]
- PN-EN 12350-3: 2011; Testing Fresh Concrete—Part 3: Vebe Test. European Standards: Warsaw, Poland, 2011.
- PN-EN 12350-2: 2011; Testing Fresh Concrete. Part 2: Test. European Standards: Warsaw, Poland, 2011.
- PN-EN 12350-7: 2011; Testing Fresh Concrete. Part 7: Air Content—Pressure Methods. European Standards: Warsaw, Poland, 2011.
- PN-EN 12390-3: 2019-07; Testing Hardened Concrete—Part 3: Compressive Strength of Test Specimens. European Standards: Warsaw, Poland, 2019.
- PN-EN 12390-5: 2019-08; Testing Hardened Concrete—Part 5: Flexural Strength of Test Specimens. European Standards: Warsaw, Poland, 2019.
- PN-EN 12390-6: 2011; Testing Hardened Concrete—Part 6: Tensile Splitting Strength of Test Specimens. European Standards: Warsaw, Poland, 2011.
- PN-EN 12390-8: 2019-08; Testing hardened concrete—Part 8: Depth of Penetration of Water under Pressure. European Standards: Warsaw, Poland, 2019.
- Brandt, A.M.; Kucharska, L. New trends in designing the durability of concrete. In Proceedings of the Concrete under severe conditions, Vancouver, BC, Canada, 18–20 June 2001; pp. 797–810. [Google Scholar]
- Diamond, S. Cement paste microstructure in concrete. MRS Online Proc. Libr. 1986, 85, 21. Available online: https://link.springer.com/article/10.1557%2FPROC-85-21 (accessed on 8 January 2022). [CrossRef]
- Maekawa, K.; Ishida, T.; Kishi, T. Multi-Scale Modelling of Structural Concrete; Taylor and Francis: New York, NY, USA, 2009; Available online: https://www.jstage.jst.go.jp/article/jact/1/2/1_2_91/_article/-char/ja/ (accessed on 10 January 2022).
- Linek, M. Application of ceramic dust as a modifier reducing the extent of rheological deformations in airfield pavement concrete. Proceedings of the MATEC Web of Conferences. 2018, Volume 163. Available online: https://www.matec-conferences.org/articles/matecconf/abs/2018/22/matecconf_matbud2018_03007/matecconf_matbud2018_03007.html (accessed on 10 January 2022).
- PN-EN 1097-7: 2008; Tests for Mechanical and Physical Properties of Aggregates—Part 7: Determination of the Particle Density of Filler—Pyknometer Method. European Standards: Warsaw, Poland, 2008.
- Ostasiewicz, S.; Rusnak, Z.; Siedlecka, U. Statistics, Elements of Theory and Tasks; WAE: Wroclaw, Poland, 1995. [Google Scholar]
- Stanisz, A. An Accessible Statistics Course; StatSoft: Cracow, Poland, 2006; Volume I. [Google Scholar]
- PN-EN 12390-1: 2013-03; Testing Hardened Concrete—Part 1: Shape, Dimensions and Other Requirements for Specimens and Moulds. European Standards: Warsaw, Poland, 2013.
- PN-EN 12390-4: 2001; Testing Hardened Concrete—Part 4: Compressive Strength—Specification for Testing Machines. European Standards: Warsaw, Poland, 2011.
- ITB Instruction No 194/98; Study of Mechanical Properties of Concrete on Samples Taken in the Forms. Building Research Institute: Warsaw, Poland, 1998.
- Linek, M. Using scaning electron microscope and computed tomography for concrete diagnostics of Airfield pavements. Int. J. Civ. Environ. Eng. 2016, 10, 964–968. Available online: https://zenodo.org/record/1126882#.YV62jn0wjIU (accessed on 12 January 2022). [CrossRef]



























| Parameters | Environmental Impact | ||||
|---|---|---|---|---|---|
| XA2 | XC4 | XD3 | XF4 | XM3 | |
| Minimum strength class | C30/37 | C25/30 | C35/45 | C30/37 | C35/45 |
| Maximum water/cement ratio (w/c) | 0.50 | 0.50 | 0.45 | 0.45 | 0.45 |
| Minimum cement content CEM I 32.5 [kg/m3] | 300 | 280 | 300 | 340 | 300 |
| Minimum cement content CEM I 42.5 [kg/m3] | 270 | 270 | 270 | 240 | 280 |
| Physical and Mechanical Properties | Aggregate Type | |
|---|---|---|
| Coarse Aggregate | Fine Aggregate | |
| Mineral fines content | ≤1.0% | ≤1.0% |
| Evenness index | ≤15 | - |
| Fragmentation resistance | ≤40 | - |
| Abrasion resistance | ≤20% | - |
| polishing resistance | ≥50 | - |
| Grain absorbability | ≤1.0% | - |
| Foreign impurities | ≤0.1% | ≤0.25% |
| Physical Properties | Method of Mix Incorporation | ||
|---|---|---|---|
| Slip Formwork Method | Slip Formwork Method | ||
| consistency | Determined by means of Vebe method acc. to [71] | ≥31 s | 20–30 s |
| Determined by means of concrete slump test acc. to [72] | 10.0–40.0 mm | 50.0–90.0 mm | |
| Air content determined by pressure methods acc. to [73] | 4.5–5.5% | ||
| Type of Aggregate | Granite Grit | Fine Aggregate |
|---|---|---|
| Shrinkage during drying [%] | <0.075 | <0.025 |
| Absorbability [%] | <1.0 | <1.0 |
| Materials | Concrete CC-1 | Concrete CC-2 | |
|---|---|---|---|
| Cement CEM I 42.5N | 377 | 377 | |
| Granite grit | 2/8 mm | 670 | 670 |
| 8/16 mm | 160 | 160 | |
| 16/32 mm | 570 | 570 | |
| Fine aggregate 0/2 mm | 415 | 370 | |
| Ceramic dust 0/2 mm | 0 | 45 | |
| Sample | Heating Time [Minutes] | |||||||||||||
|---|---|---|---|---|---|---|---|---|---|---|---|---|---|---|
| 25 | 50 | 75 | 100 | 125 | 150 | 175 | 200 | 225 | 250 | 275 | 300 | 325 | 350 | |
| CC-1 concrete—temperature gradient [°C] | ||||||||||||||
| Top | 41 | 6.3 | 2 | 1.6 | 1.2 | 1.1 | 1.1 | 2.8 | 2.4 | 4.2 | 3.3 | 1.8 | 4.8 | 0.9 |
| Center | 38.4 | 6.6 | 2.3 | 0.7 | 1.3 | 0.9 | 2 | 2.6 | 2.1 | 3.9 | 2.4 | 1.7 | 4.7 | 0.7 |
| Bottom | 35.1 | 6 | 1.7 | 0.5 | 0.9 | 0.8 | 0.3 | 2.3 | 2.3 | 4 | 2.5 | 1.6 | 4.7 | 1.7 |
| CC-2 concrete—temperature gradient [°C] | ||||||||||||||
| Top | 28.3 | 3.2 | 2.9 | 2.6 | 2.4 | 2.1 | 2.1 | 1.9 | 1.8 | 1.9 | 1.8 | 1.8 | 1.7 | 1.8 |
| Center | 26.8 | 3.2 | 2.8 | 2.8 | 2.5 | 2.5 | 2.1 | 2 | 1.9 | 1.8 | 1.7 | 1.7 | 1.6 | 1.5 |
| Bottom | 24.8 | 3.1 | 2.7 | 2.5 | 2.3 | 2 | 1.9 | 1.8 | 1.7 | 1.5 | 1.5 | 1.4 | 1.4 | 1.2 |
| CC-1 Concrete | CC-2 Concrete | ||||||
|---|---|---|---|---|---|---|---|
| Heating Time [Minutes] | Temperature Gradient [°C] | Heating Time [Minutes] | Temperature Gradient [°C] | ||||
| Top-Center | Center-Bottom | Top-Bottom | Top-Center | Center-Bottom | Top-Bottom | ||
| 25 | 2.6 | 3.3 | 5.9 | 25 | 1.5 | 2 | 3.5 |
| 50 | 2.3 | 3.9 | 6.2 | 50 | 1.5 | 2.1 | 3.6 |
| 75 | 2.0 | 4.5 | 6.5 | 75 | 1.6 | 2.2 | 3.8 |
| 100 | 2.9 | 5.7 | 8.6 | 100 | 1.4 | 2.5 | 3.9 |
| 125 | 2.8 | 6.1 | 8.9 | 125 | 1.3 | 2.7 | 4 |
| 150 | 3.0 | 6.2 | 9.2 | 150 | 0.9 | 3.2 | 4.1 |
| 175 | 2.1 | 7.6 | 9.7 | 175 | 0.9 | 3.4 | 4.3 |
| 200 | 2.3 | 8.8 | 11.1 | 200 | 0.8 | 3.6 | 4.4 |
| 225 | 2.6 | 8.6 | 11.2 | 225 | 0.7 | 3.8 | 4.5 |
| 250 | 2.9 | 8.5 | 11.4 | 250 | 0.8 | 4.1 | 4.9 |
| 275 | 3.8 | 8.4 | 12.2 | 275 | 0.9 | 4.3 | 5.2 |
| 300 | 3.9 | 8.3 | 12.3 | 300 | 1 | 4.6 | 5.6 |
| 325 | 4.0 | 8.5 | 12.5 | 325 | 1.1 | 4.8 | 5.9 |
| 350 | 4.2 | 8.5 | 12.7 | 350 | 1.4 | 5.1 | 6.5 |
| Value | Cooling Time [s] | |||||||||||
|---|---|---|---|---|---|---|---|---|---|---|---|---|
| 150 | 300 | 450 | 600 | 750 | 900 | |||||||
| Min | Max | Min | Max | Min | Max | Min | Max | Min | Max | Min | Max | |
| CC-1 concrete—temperature gradient [°C] | ||||||||||||
| 61.5 | 98.1 | 49.7 | 91.7 | 47.4 | 86.3 | 47.4 | 81.6 | 45.2 | 78.7 | 43.5 | 76.4 | |
| SD | 1.9 | 4.9 | 1.0 | 4.2 | 1.3 | 3.5 | 1.0 | 3.2 | 1.0 | 2.9 | 1.0 | 2.7 |
| V | 3.1 | 5.0 | 2.1 | 4.6 | 2.8 | 4.1 | 2.2 | 3.9 | 2.1 | 3.7 | 2.3 | 3.5 |
| CC-2 concrete—temperature gradient [°C] | ||||||||||||
| 75.2 | 104.4 | 68.1 | 95.3 | 62.6 | 89.5 | 58.8 | 82.4 | 55.4 | 79.4 | 53.4 | 76.4 | |
| SD | 0.1 | 0.3 | 0.2 | 0.3 | 0.5 | 0.3 | 0.2 | 0.4 | 0.3 | 0.3 | 0.3 | 0.4 |
| V | 0.1 | 0.3 | 0.3 | 0.3 | 0.8 | 0.3 | 0.4 | 0.4 | 0.5 | 0.4 | 0.6 | 0.5 |
| Concrete | Number of Cycles | |||||||
|---|---|---|---|---|---|---|---|---|
| 0 | 50 | 100 | 150 | 200 | 250 | 300 | 350 | |
| CC-1 | 2.73 | 3.35 | 2.54 | 2.35 | 1.97 | 2.36 | 2.52 | 2.56 |
| CC-2 | 2.10 | 2.07 | 2.06 | 1.67 | 1.65 | 1.61 | 1.34 | 1.33 |
| Concrete | Number of Cycles | |||||||
|---|---|---|---|---|---|---|---|---|
| 0 | 50 | 100 | 150 | 200 | 250 | 300 | 350 | |
| CC-1 | 1.58 | 2.19 | 1.88 | 2.24 | 2.05 | 2.18 | 2.32 | 2.29 |
| CC-2 | 1.12 | 1.77 | 1.54 | 1.55 | 1.57 | 1.46 | 1.49 | 1.32 |
| Specific Characteristics of Concrete | Concrete | |||||
|---|---|---|---|---|---|---|
| after 28 Days | after Scheme A | after Scheme B | ||||
| CC-1 | CC-2 | CC-1 | CC-2 | CC-1 | CC-2 | |
| test sample volume [mm3] | 3,375,000 | 3,375,000 | 3,375,000 | 3,375,000 | 3,375,000 | 3,375,000 |
| the void content of the entire sample [%] | 3.81 | 4.36 | 4.15 | 4.51 | 4.32 | 4.62 |
| total volume of voids [mm3] | 37,896.46 | 42,162.19 | 4362.81 | 4295.48 | 4418.32 | 4315.46 |
| the volume of the greatest voids [mm3] | 1034.48 | 516.52 | 1560.75 | 630.79 | 1637.20 | 640.82 |
| air pore content less than 300 μm in diameter [%] | 0.23 | 0.34 | 0.19 | 0.32 | 0.17 | 0.31 |
| volume of micropores [mm3] | 3044.91 | 3824.71 | 2890.45 | 3750.39 | 2915.16 | 3790.30 |
| round pore content [%] | 0.11 | 0.19 | 0.10 | 0.18 | 0.10 | 0.18 |
| volume of round pores [mm3] | 351.83 | 602.15 | 343.65 | 586.12 | 325.20 | 572.31 |
Publisher’s Note: MDPI stays neutral with regard to jurisdictional claims in published maps and institutional affiliations. |
© 2022 by the author. Licensee MDPI, Basel, Switzerland. This article is an open access article distributed under the terms and conditions of the Creative Commons Attribution (CC BY) license (https://creativecommons.org/licenses/by/4.0/).
Share and Cite
Linek, M. Airport Cement Concrete with Ceramic Dust of Increased Thermal Resistance. Materials 2022, 15, 3673. https://doi.org/10.3390/ma15103673
Linek M. Airport Cement Concrete with Ceramic Dust of Increased Thermal Resistance. Materials. 2022; 15(10):3673. https://doi.org/10.3390/ma15103673
Chicago/Turabian StyleLinek, Małgorzata. 2022. "Airport Cement Concrete with Ceramic Dust of Increased Thermal Resistance" Materials 15, no. 10: 3673. https://doi.org/10.3390/ma15103673
APA StyleLinek, M. (2022). Airport Cement Concrete with Ceramic Dust of Increased Thermal Resistance. Materials, 15(10), 3673. https://doi.org/10.3390/ma15103673
