Preliminary Study on the Optimization of Femtosecond Laser Treatment on the Surface Morphology of Lithium Disilicate Glass-Ceramics and Highly Translucent Zirconia Ceramics
Abstract
:1. Introduction
2. Materials and Methods
2.1. Materials
2.2. Pilot Experiment
2.3. Surface Treatments
2.4. Surface Roughness
2.5. Microstructural Analysis
3. Results
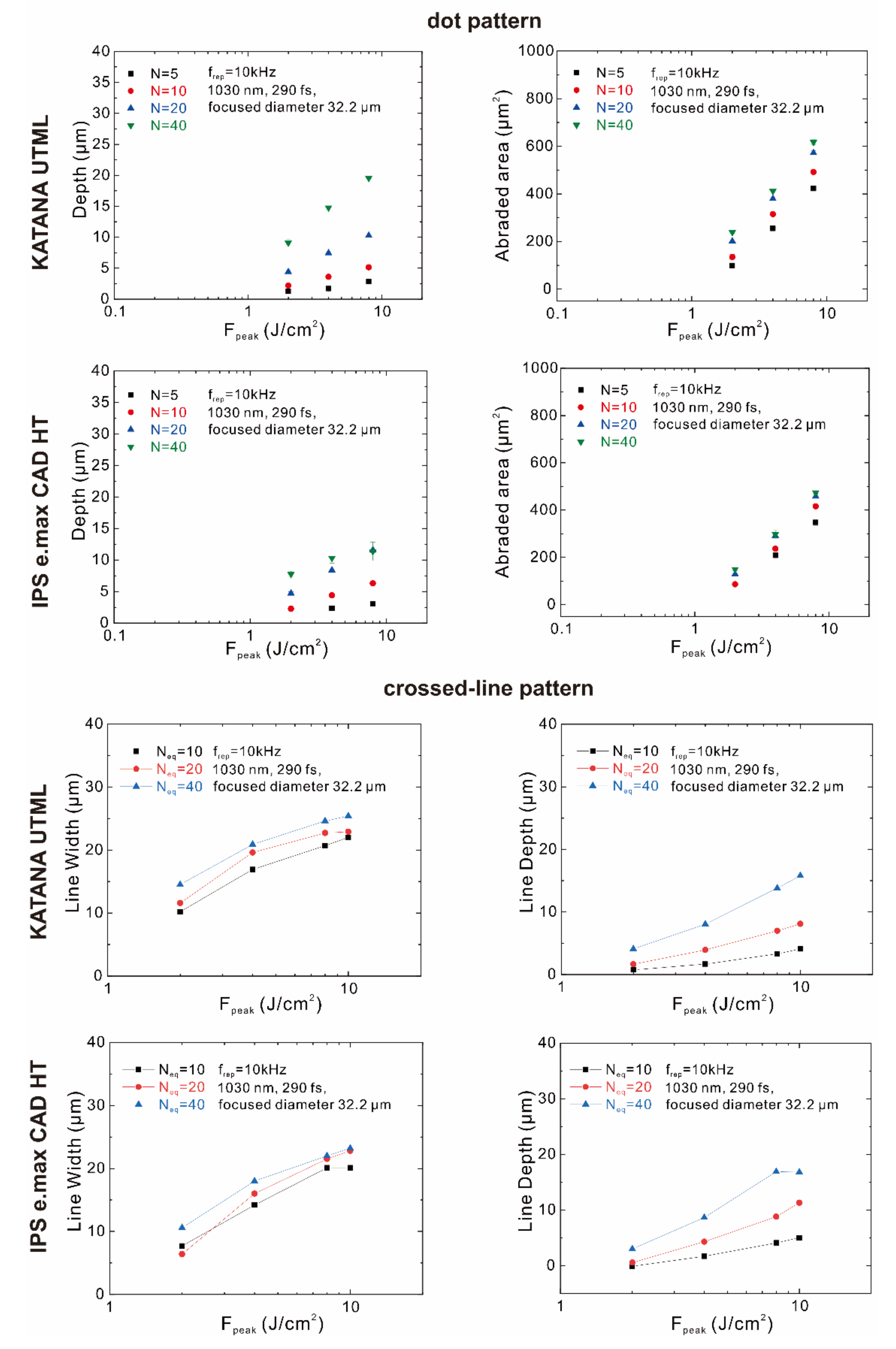
3.1. Pilot Experiment
3.2. Surface Roughness
3.3. Microstructural Analysis
4. Discussion
5. Conclusions
Author Contributions
Funding
Institutional Review Board Statement
Informed Consent Statement
Data Availability Statement
Acknowledgments
Conflicts of Interest
References
- Makhija, S.K.; Lawson, N.C.; Gilbert, G.H.; Litaker, M.S.; McClelland, J.A.; Louis, D.R.; Gordan, V.V.; Pihlstrom, D.J.; Meyerowitz, C.; Mungia, R.; et al. Dentist material selection for single-unit crowns: Findings from the National Dental Practice-Based Research Network. J. Dent. 2016, 55, 40–47. [Google Scholar] [CrossRef] [PubMed] [Green Version]
- Spitznagel, F.A.; Boldt, J.; Gierthmuehlen, P.C. CAD/CAM Ceramic Restorative Materials for Natural Teeth. J. Dent. Res. 2018, 97, 1082–1091. [Google Scholar] [CrossRef] [PubMed]
- Phark, J.H.; Duarte, S., Jr. Microstructural considerations for novel lithium disilicate glass ceramics: A review. J. Esthet. Restor. Dent. 2022, 34, 92–103. [Google Scholar] [CrossRef] [PubMed]
- Aboushelib, M.N.; Sleem, D. Microtensile bond strength of lithium disilicate ceramics to resin adhesives. J. Adhes. Dent. 2014, 16, 547–552. [Google Scholar] [PubMed]
- Inokoshi, M.; De Munck, J.; Minakuchi, S.; Van Meerbeek, B. Meta-analysis of bonding effectiveness to zirconia ceramics. J. Dent. Res. 2014, 93, 329–334. [Google Scholar] [CrossRef] [PubMed]
- Gresnigt, M.M.M.; Tirlet, G.; Bosnjak, M.; van der Made, S.; Attal, J.P. Fracture strength of lithium disilicate cantilever resin bonded fixed dental prosthesis. J. Mech. Behav. Biomed. 2020, 103, 103615. [Google Scholar] [CrossRef] [PubMed]
- Inokoshi, M.; Shimizubata, M.; Nozaki, K.; Takagaki, T.; Yoshihara, K.; Minakuchi, S.; Vleugels, J.; Van Meerbeek, B.; Zhang, F. Impact of sandblasting on the flexural strength of highly translucent zirconia. J. Mech. Behav. Biomed. 2021, 115, 104268. [Google Scholar] [CrossRef] [PubMed]
- Bonse, J.; Rudolph, P.; Kruger, J.; Baudach, S.; Kautek, W. Femtosecond pulse laser processing of TiN on silicon. Appl. Surf. Sci. 2000, 154, 659–663. [Google Scholar] [CrossRef]
- Bonse, J.; Mann, G.; Kruger, J.; Marcinkowski, M.; Eberstein, M. Femtosecond laser-induced removal of silicon nitride layers from doped and textured silicon wafers used in photovoltaics. Thin Solid Films 2013, 542, 420–425. [Google Scholar] [CrossRef]
- Kakehata, M.; Oyane, A.; Yashiro, H.; Ito, A.; Okazaki, Y.; Torizuka, K. Bending strength and cyclic fatigue tests of yttria-stabilized zirconia ceramics modified with femtosecond-laser induced periodic surface structures for medical implants. In Proceedings of the LAMP2019—The 8th International Congress on Laser Advanced Materials Processing, Hiroshima, Japan, 21–24 May 2019. [Google Scholar]
- Okutan, Y.; Kandemir, B.; Gundogdu, Y.; Kilic, H.S.; Yucel, M.T. Combined application of femtosecond laser and air-abrasion protocols to monolithic zirconia at different sintering stages: Effects on surface roughness and resin bond strength. J. Biomed. Mater. Res. B 2021, 109, 596–605. [Google Scholar] [CrossRef] [PubMed]
- Garcia-Sanz, V.; Paredes-Gallardo, V.; Bellot-Arcis, C.; Martinez-Leon, L.; Torres-Mendieta, R.; Montero, J.; Albaladejo, A. Femtosecond laser settings for optimal bracket bonding to zirconia. Lasers Med. Sci. 2019, 34, 297–304. [Google Scholar] [CrossRef] [PubMed]
- Kakehata, M.; Yashiro, H.; Oyane, A.; Ito, A.; Torizuka, K. Femtosecond laser-induced periodic surface structures on yttria-stabilized zirconia. In Proceedings of the 7th International Congress on Laser Advanced Materials Processing “LAMP2015”, Fukuoka, Japan, 26–29 May 2015. [Google Scholar]
- Han, J.; Zhang, F.; Van Meerbeek, B.; Vleugels, J.; Braem, A.; Castagne, S. Laser surface texturing of zirconia-based ceramics for dental applications: A review. Mat. Sci. Eng. C-Mater. 2021, 123, 112034. [Google Scholar]
- Garcia-Sanz, V.; Paredes-Gallardo, V.; Bellot-Arcis, C.; Mendoza-Yero, O.; Donate-Buendia, C.; Montero, J.; Albaladejo, A. Effects of femtosecond laser and other surface treatments on the bond strength of metallic and ceramic orthodontic brackets to zirconia. PLoS ONE 2017, 12, e0186796. [Google Scholar] [CrossRef] [PubMed] [Green Version]
- Garcia-Sanz, V.; Paredes-Gallardo, V.; Mendoza-Yero, O.; Carbonell-Leal, M.; Albaladejo, A.; Montiel-Company, J.M.; Bellot-Arcis, C. The effects of lasers on bond strength to ceramic materials: A systematic review and meta-analysis. PLoS ONE 2018, 13, e0190736. [Google Scholar]
- Kakehata, M.; Ito, A.; Yashiro, H.; Oyane, A.; Torizuka, K. Effect of femtosecond laser surface treatment on bending strength of yttria-stabilized zirconia ceramics. In Proceedings of the LPM2017—The 18th International Symposium on Laser Precision Microfabrication, Toyama, Japan, 5–8 June 2017. [Google Scholar]
- Tzanakakis, E.; Kontonasaki, E.; Voyiatzis, G.; Andrikopoulos, K.; Tzoutzas, I. Surface characterization of monolithic zirconia submitted to different surface treatments applying optical interferometry and raman spectrometry. Dent. Mater. J. 2020, 39, 111–117. [Google Scholar] [CrossRef] [PubMed] [Green Version]
- Tzanakakis, E.-G.; Dimitriadi, M.; Tzoutzas, I.; Koidis, P.; Zinelis, S.; Eliades, G. Effect of Water Storage on Hardness and Interfacial Strength of Resin Composite Luting Agents Bonded to Surface-Treated Monolithic Zirconia. Dent. J. 2021, 9, 78. [Google Scholar] [CrossRef] [PubMed]
- Vicente, M.; Gomes, A.L.; Montero, J.; Rosel, E.; Seoane, V.; Albaladejo, A. Influence of cyclic loading on the adhesive effectiveness of resin-zirconia interface after femtosecond laser irradiation and conventional surface treatments. Lasers Surg. Med. 2016, 48, 36–44. [Google Scholar] [CrossRef] [PubMed]
- Vicente Prieto, M.; Gomes, A.L.C.; Montero Martin, J.; Alvarado Lorenzo, A.; Seoane Mato, V.; Albaladejo Martinez, A. The Effect of Femtosecond Laser Treatment on the Effectiveness of Resin-Zirconia Adhesive: An In Vitro Study. J. Lasers Med. Sci. 2016, 7, 214–219. [Google Scholar] [CrossRef] [PubMed] [Green Version]
- Yavuz, T.; Özyılmaz, Ö.Y.; Dilber, E.; Tobi, E.S.; Kiliç, H. Effect of Different Surface Treatments on Porcelain-Resin Bond Strength. J. Prosthodont. 2017, 26, 446–454. [Google Scholar] [CrossRef] [PubMed]
- Graf, S.; Kunz, C.; Muller, F.A. Formation and Properties of Laser-Induced Periodic Surface Structures on Different Glasses. Materials 2017, 10, 12. [Google Scholar] [CrossRef] [PubMed] [Green Version]





| Parameters 1 | IPS e.max CAD HT | KATANA UTML |
|---|---|---|
| frep, wavelength, pulse width | 10 kHz, 1030 nm, 290 fs | 10 kHz, 1030 nm, 290 fs |
| Fpeak | 8 J/cm2 | 4 J/cm2 |
| N | 10 shots | 20 shots |
| Ablated dot diameter(horizontal × vertical) | 25.5 µm × 22.3 µm | 21.3 µm × 23.6 µm |
| Ablated depth | 6.3 µm | 7.4 µm |
| Parameters 1 | IPS e.max CAD HT | KATANA UTML |
|---|---|---|
| frep, wavelength, pulse width | 10 kHz, 1030 nm, 290 fs | 10 kHz, 1030 nm, 290 fs |
| Fpeak | 8 J/cm2 | 8 J/cm2 |
| Neq | 20 shots | 20 shots |
| Ablated width | 21.5 µm | 22.7 µm |
| Ablated depth | 8.8 µm | 7.1 µm |
| Surface Condition | IPS e.max CAD HT | KATANA UTML | ||
|---|---|---|---|---|
| Sa (µm) | Ra (µm) | Sa (µm) | Ra (µm) | |
| as-sintered | 0.1016 | 0.07066 | 0.2098 | 0.05916 |
| Al2O3 sandblasted | 0.1801 | 0.07605 | 0.3227 | 0.109 |
| dot 14 µm | 1.336 | 0.7375 | 0.8179 | 0.6564 |
| dot 20 µm | 1.303 | 0.569 | 1.692 | 1.395 |
| dot 40 µm | 1.549 | 2.13 | 1.502 | 2.636 |
| crossed-line 20 µm | 0.9738 | 0.6644 | 0.7263 | 0.5665 |
| crossed-line 40 µm | 4.108 | 2.335 | 3.037 | 2.43 |
Publisher’s Note: MDPI stays neutral with regard to jurisdictional claims in published maps and institutional affiliations. |
© 2022 by the authors. Licensee MDPI, Basel, Switzerland. This article is an open access article distributed under the terms and conditions of the Creative Commons Attribution (CC BY) license (https://creativecommons.org/licenses/by/4.0/).
Share and Cite
Inokoshi, M.; Yoshihara, K.; Kakehata, M.; Yashiro, H.; Nagaoka, N.; Tonprasong, W.; Xu, K.; Minakuchi, S. Preliminary Study on the Optimization of Femtosecond Laser Treatment on the Surface Morphology of Lithium Disilicate Glass-Ceramics and Highly Translucent Zirconia Ceramics. Materials 2022, 15, 3614. https://doi.org/10.3390/ma15103614
Inokoshi M, Yoshihara K, Kakehata M, Yashiro H, Nagaoka N, Tonprasong W, Xu K, Minakuchi S. Preliminary Study on the Optimization of Femtosecond Laser Treatment on the Surface Morphology of Lithium Disilicate Glass-Ceramics and Highly Translucent Zirconia Ceramics. Materials. 2022; 15(10):3614. https://doi.org/10.3390/ma15103614
Chicago/Turabian StyleInokoshi, Masanao, Kumiko Yoshihara, Masayuki Kakehata, Hidehiko Yashiro, Noriyuki Nagaoka, Watcharapong Tonprasong, Kaiqi Xu, and Shunsuke Minakuchi. 2022. "Preliminary Study on the Optimization of Femtosecond Laser Treatment on the Surface Morphology of Lithium Disilicate Glass-Ceramics and Highly Translucent Zirconia Ceramics" Materials 15, no. 10: 3614. https://doi.org/10.3390/ma15103614
APA StyleInokoshi, M., Yoshihara, K., Kakehata, M., Yashiro, H., Nagaoka, N., Tonprasong, W., Xu, K., & Minakuchi, S. (2022). Preliminary Study on the Optimization of Femtosecond Laser Treatment on the Surface Morphology of Lithium Disilicate Glass-Ceramics and Highly Translucent Zirconia Ceramics. Materials, 15(10), 3614. https://doi.org/10.3390/ma15103614

