Does Multifunctional Acrylate’s Addition to Methacrylate Improve Its Flexural Properties and Bond Ability to CAD/CAM PMMA Block?
Abstract
1. Introduction
2. Materials and Methods
2.1. Materials Preparation
2.2. Static Three-Point Flexural Test
2.3. Shear Bond Strength Test
2.4. Degree of Conversion
3. Results
3.1. Statis Three-Point Flexural Test
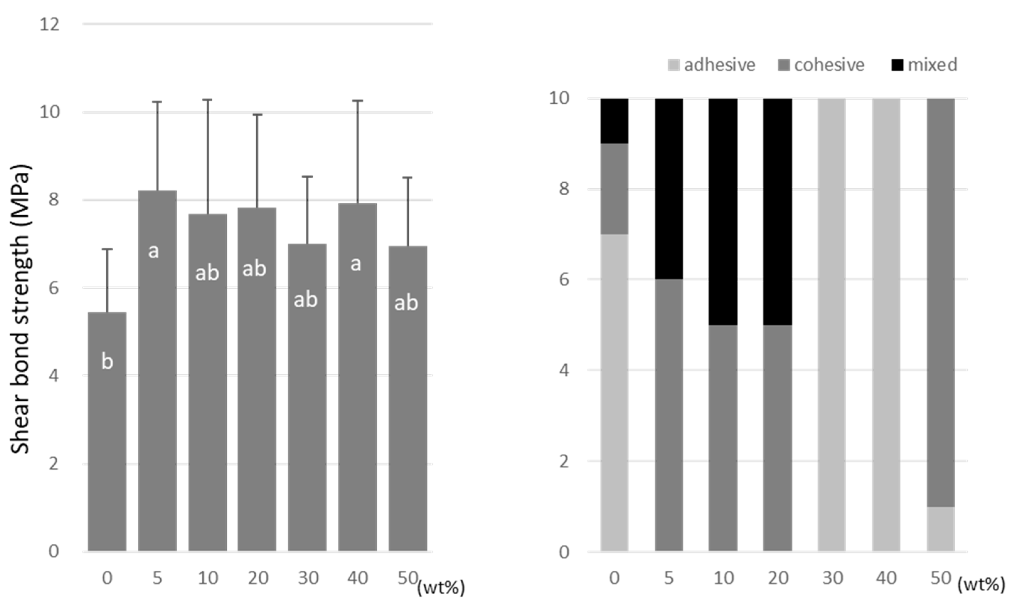
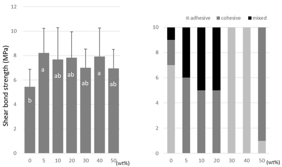
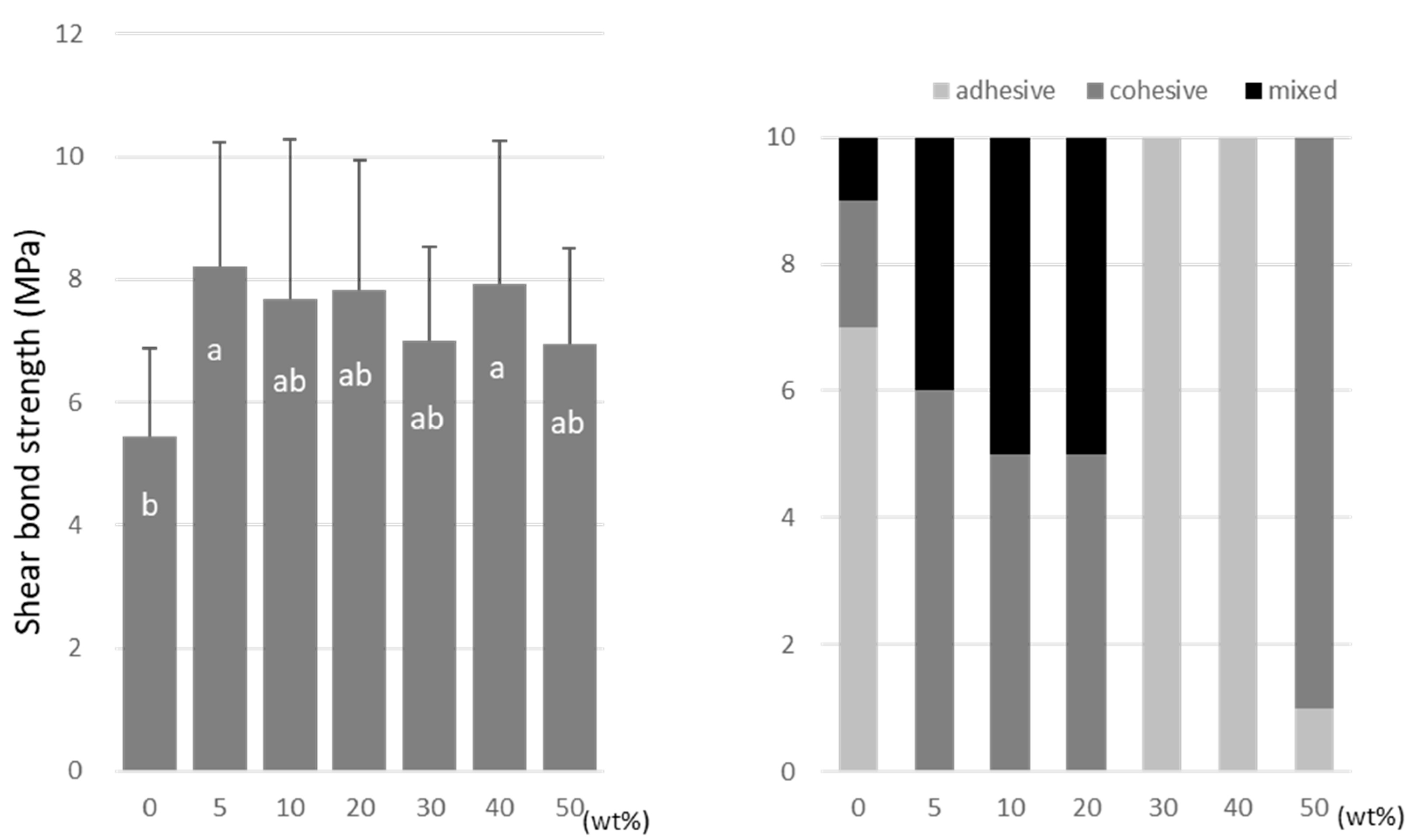
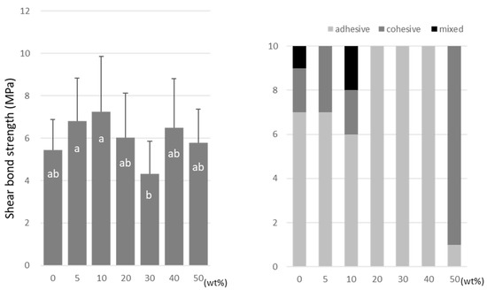
3.2. Shear Bond Strength Test
3.3. Degree of Conversion
4. Discussion
5. Conclusions
Author Contributions
Funding
Institutional Review Board Statement
Informed Consent Statement
Data Availability Statement
Conflicts of Interest
References
- Rekow, E.D. Digital dentistry: The new state of the art—Is it disruptive or destructive? Dent. Mater. 2020, 36, 9–24. [Google Scholar] [CrossRef]
- Li, R.W.; Chow, T.W.; Matinlinna, J.P. Ceramic dental biomaterials and CAD/CAM technology: State of the art. J. Prosthodont. Res. 2014, 58, 208–216. [Google Scholar] [CrossRef]
- Hamanaka, I.; Isshi, K.; Takahashi, Y. Fabrication of a nonmetal clasp denture supported by an intraoral scanner and CAD-CAM. J. Prosthet. Dent. 2018, 120, 9–12. [Google Scholar] [CrossRef] [PubMed]
- Sulaiman, T.A. Materials in digital dentistry—A review. J. Esthet. Restor. Dent. 2020, 32, 171–181. [Google Scholar] [CrossRef] [PubMed]
- Bonnet, G.; Batisse, C.; Bessadet, M.; Nicolas, E.; Veyrune, J.L. A new digital denture procedure: A first practitioners appraisal. BMC Oral Health 2017, 17, 155. [Google Scholar] [CrossRef] [PubMed]
- Fuekim, K.; Inamochi, Y.; Wada, J.; Arai, Y.; Takaichi, A.; Murakami, N.; Ueno, T.; Wakabayashi, N. A systematic review of digital removable partial dentures. Part I: Clinical evidence, digital impression, and maxillomandibular relationship record. J. Prosthodont. Res. 2022, 66, 40–52. [Google Scholar] [CrossRef] [PubMed]
- Takaichi, A.; Fueki, K.; Murakami, N.; Ueno, T.; Inamochi, Y.; Wada, J.; Arai, Y.; Wakabayashi, N. A systematic review of digital removable partial dentures. Part II: CAD/CAM framework, artificial teeth, and denture base. J. Prosthodont. Res. 2022, 66, 53–67. [Google Scholar] [CrossRef] [PubMed]
- Steinmassl, O.; Dumfahrt, H.; Grunert, I.; Steinmassl, P.A. CAD/CAM produces dentures with improved fit. Clin. Oral Investig. 2018, 22, 2829–2835. [Google Scholar] [CrossRef]
- Becerra, J.; Mainjot, A.; Hüe, O.; Sadoun, M.; Nguyen, J.F. Influence of high-pressure polymerization on mechanical properties of denture base resins. J. Prosthodont. 2021, 30, 128–134. [Google Scholar] [CrossRef] [PubMed]
- Perea-Lowery, L.; Minja, I.K.; Lassila, L.; Ramakrishnaiah, R.; Vallittu, P.K. Assessment of CAD-CAM polymers for digitally fabricated complete dentures. J. Prosthet. Dent. 2021, 125, 175–181. [Google Scholar] [CrossRef]
- Soeda, Y.; Kanazawa, M.; Arakida, T.; Iwaki, M.; Minakuchi, S. CAD-CAM milled complete dentures with custom disks and prefabricated artificial teeth: A dental technique. J. Prosthet. Dent. 2022, 127, 55–58. [Google Scholar] [CrossRef]
- Goodacre, B.J.; Goodacre, C.J.; Baba, N.Z.; Kattadiyil, M.T. Comparison of denture tooth movement between CAD-CAM and conventional fabrication techniques. J. Prosthet. Dent. 2018, 119, 108–115. [Google Scholar] [CrossRef] [PubMed]
- Bilgin, M.S.; Erdem, A.; Aglarci, O.S.; Dilber, E. Fabricating complete dentures with CAD/CAM and RP technologies. J. Prosthodont. 2015, 24, 576–579. [Google Scholar] [CrossRef] [PubMed]
- Choi, J.J.E.; Uy, C.E.; Plaksina, P.; Ramani, R.S.; Ganjigatti, R.; Waddell, J.N. Bond strength of denture teeth to heat-cured, CAD/CAM and 3D printed denture acrylics. J. Prosthodont. 2020, 29, 415–421. [Google Scholar] [CrossRef] [PubMed]
- Ozcan, M.; Alander, P.; Vallittu, P.K.; Huysmans, M.C.; Kalk, W. Effect of three surface conditioning methods to improve bond strength of particulate filler resin composites. J. Mater. Sci. Mater. Med. 2005, 16, 21–27. [Google Scholar] [CrossRef]
- Tuna, E.B.; Rohlig, B.G.; Sancakli, E.; Evlioglu, G.; Gencay, K. Influence of acrylic resin polymerization methods on residual monomer release. J. Contemp. Dent. Pract. 2013, 14, 259–264. [Google Scholar] [CrossRef]
- Prpić, V.; Schauperl, Z.; Glavina, D.; Ćatić, A.; Čimić, S. Comparison of shear bond strengths of different types of denture teeth to different denture base resins. J. Adv. Prosthodont. 2020, 12, 376–382. [Google Scholar] [CrossRef]
- Han, S.Y.; Moon, Y.H.; Lee, J. Shear bond strength between CAD/CAM denture base resin and denture artificial teeth when bonded with resin cement. J. Adv. Prosthodont. 2020, 12, 251–258. [Google Scholar] [CrossRef]
- Barszczewska-Rybarek, I.M. Structure-property relationships in dimethacrylate networks based on Bis-GMA, UDMA and TEGDMA. Dent. Mater. 2009, 25, 1082–1089. [Google Scholar] [CrossRef]
- Hayran, Y.; Keskin, Y. Flexural strength of polymethyl methacrylate copolymers as a denture base resin. Dent. Mater. J. 2019, 38, 678–686. [Google Scholar] [CrossRef]
- Blagojevic, V.; Murphy, V.M. Microwave polymerization of denture base materials. A comparative study. J. Oral Rehabil. 1999, 26, 804–808. [Google Scholar] [CrossRef] [PubMed]
- Hanemann, T.; Honnef, K. Optical and thermomechanical properties of doped polyfunctional acrylate copolymers. Polymers 2018, 10, 337. [Google Scholar] [CrossRef] [PubMed]
- Hanemann, T.; Böhm, J.; Honnef, K.; Ritzhaupt-Kleissl, E.; Haußelt, J. Polymer/Phenanthrene-Derivative Host-Guest Systems: Rheological, Optical and Thermal Properties. Macromol. Mater. Eng. 2007, 292, 285–294. [Google Scholar] [CrossRef]
- Maruo, Y.; Nishigawa, G.; Irie, M.; Yoshihara, K.; Minagi, S. Flexural properties of polyethylene, glass and carbon fiber-reinforced resin composites for prosthetic frameworks. Acta Odontol. Scand. 2015, 73, 581–587. [Google Scholar] [CrossRef]
- Maruo, Y.; Nishigawa, G.; Irie, M.; Yoshihara, K.; Matsumoto, T.; Minagi, S. Does acid etching morphologically and chemically affect lithium disilicate glass ceramic surfaces? J. Appl. Biomater. Funct. Mater. 2017, 26, 15, e93–e100. [Google Scholar] [CrossRef]
- Armstrong, S.; Breschi, L.; Özcan, M.; Pfefferkorn, F.; Ferrari, M.; Van Meerbeek, B. Academy of Dental Materials guidance on in vitro testing of dental composite bonding effectiveness to dentin/enamel using micro-tensile bond strength (μTBS) approach. Dent. Mater. 2017, 33, 133–143. [Google Scholar] [CrossRef]
- Peutzfeldt, A. Resin composites in dentistry: The monomer systems. Eur. J. Oral Sci. 1997, 105, 97–116. [Google Scholar] [CrossRef]
- Asmussen, E.; Peutzfeldt, A. Influence of selected components on crosslink density in polymer structures. Eur. J. Oral Sci. 2001, 109, 282–285. [Google Scholar] [CrossRef]
- Beckel, E.R.; Nie, J.; Stansbury, J.W.; Bowman, C.N. Effect of Aryl Substituents on the Reactivity of Phenyl Carbamate Acrylate Monomers. Macromolecules 2004, 37, 4062–4069. [Google Scholar] [CrossRef]
- Kilambi, H.; Reddy, S.K.; Schneidewind, L.; Stansbury, J.W.; Bowman, C.N. Copolymerization and dark polymerization studies for photopolymerization of novel acrylic monomers. Polymer 2007, 48, 2014–2021. [Google Scholar] [CrossRef][Green Version]
- Jagger, D.C.; Jagger, R.G.; Allen, S.M.; Harrison, A. An investigation into the transverse and impact strength of “high strength” denture base acrylic resins. J. Oral Rehabil. 2002, 29, 263–267. [Google Scholar] [CrossRef] [PubMed]
- Sarosi, C.; Moldovan, M.; Soanca, A.; Roman, A.; Gherman, T.; Trifoi, A.; Chisnoiu, A.M.; Cuc, S.; Filip, M.; Gheorghe, G.F.; et al. Effects of Monomer Composition of Urethane Methacrylate Based Resins on the C=C Degree of Conversion, Residual Monomer Content and Mechanical Properties. Polymers 2021, 16, 4415. [Google Scholar] [CrossRef] [PubMed]









| Code | Name | Molecular Weight (g/mol) | Chemical Formula |
|---|---|---|---|
| MMA | Methyl Methacrylate | 100.12 | ![]() |
| TMPTMA | Trimethylol Propane Trimethacrylate | 338.40 | ![]() |
| TMPTA | Trimethylol Propane Triacrylate | 296.32 | ![]() |
| A-DPH | Di-pentaerythritol Polyacrylate | 524.51 | ![]() |
| Control | 10 wt% (mol%) | 20 wt% (mol%) | 30 wt% (mol%) | 40 wt% (mol%) | 50 wt% (mol%) | |
|---|---|---|---|---|---|---|
| MMA | 99 | 89 | 79 | 69 | 59 | 49 |
| TMPTMA | - | 10 (2.74) | 20 (5.07) | 30 (6.96) | 40 (8.45) | 50 (9.52) |
| TMPTA | - | 10 (3.14) | 20 (5.83) | 30 (8.08) | 40 (9.88) | 50 (11.23) |
| A-DPH | - | 10 (1.75) | 20(3.18) | 30(4.31) | 40 (5.13) | 50 (5.64) |
| DMPT | 1 | 1 | 1 | 1 | 1 | 1 |
| 0 | 20 wt% | 40 wt% | |
|---|---|---|---|
| MMA | 87.5 | - | - |
| TMPTMA | - | 72.3 | 57.9 |
| TMPTA | - | 72.7 | 67.7 |
| A-DPH | 70.4 | 64.1 |
Publisher’s Note: MDPI stays neutral with regard to jurisdictional claims in published maps and institutional affiliations. |
© 2022 by the authors. Licensee MDPI, Basel, Switzerland. This article is an open access article distributed under the terms and conditions of the Creative Commons Attribution (CC BY) license (https://creativecommons.org/licenses/by/4.0/).
Share and Cite
Maruo, Y.; Yoshihara, K.; Irie, M.; Nagaoka, N.; Matsumoto, T.; Minagi, S. Does Multifunctional Acrylate’s Addition to Methacrylate Improve Its Flexural Properties and Bond Ability to CAD/CAM PMMA Block? Materials 2022, 15, 7564. https://doi.org/10.3390/ma15217564
Maruo Y, Yoshihara K, Irie M, Nagaoka N, Matsumoto T, Minagi S. Does Multifunctional Acrylate’s Addition to Methacrylate Improve Its Flexural Properties and Bond Ability to CAD/CAM PMMA Block? Materials. 2022; 15(21):7564. https://doi.org/10.3390/ma15217564
Chicago/Turabian StyleMaruo, Yukinori, Kumiko Yoshihara, Masao Irie, Noriyuki Nagaoka, Takuya Matsumoto, and Shogo Minagi. 2022. "Does Multifunctional Acrylate’s Addition to Methacrylate Improve Its Flexural Properties and Bond Ability to CAD/CAM PMMA Block?" Materials 15, no. 21: 7564. https://doi.org/10.3390/ma15217564
APA StyleMaruo, Y., Yoshihara, K., Irie, M., Nagaoka, N., Matsumoto, T., & Minagi, S. (2022). Does Multifunctional Acrylate’s Addition to Methacrylate Improve Its Flexural Properties and Bond Ability to CAD/CAM PMMA Block? Materials, 15(21), 7564. https://doi.org/10.3390/ma15217564





