Europium Clustering and Glassy Magnetic Behavior in Inorganic Clathrate-VIII Eu8Ga16Ge30
Abstract
:1. Introduction
2. Materials and Methods
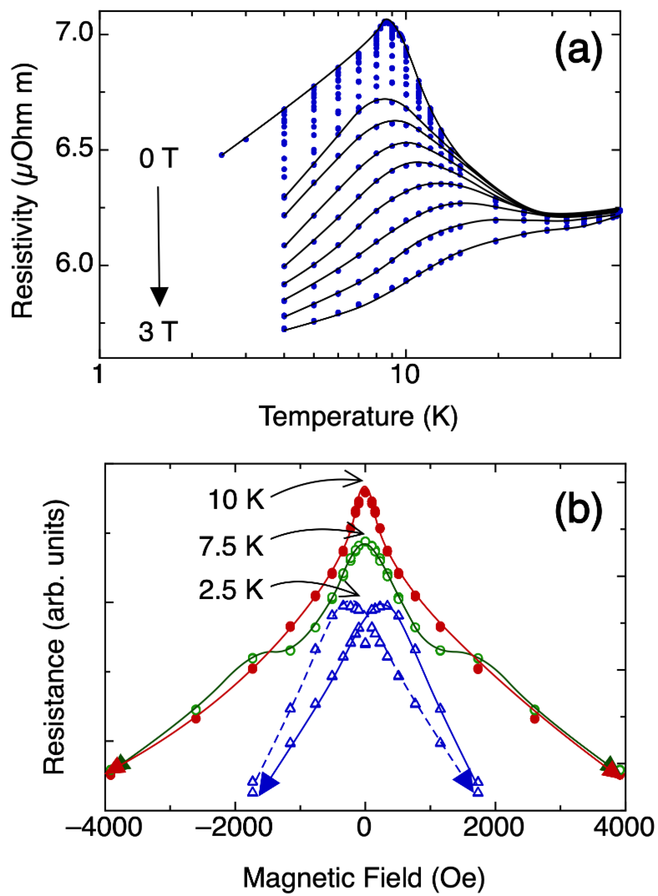
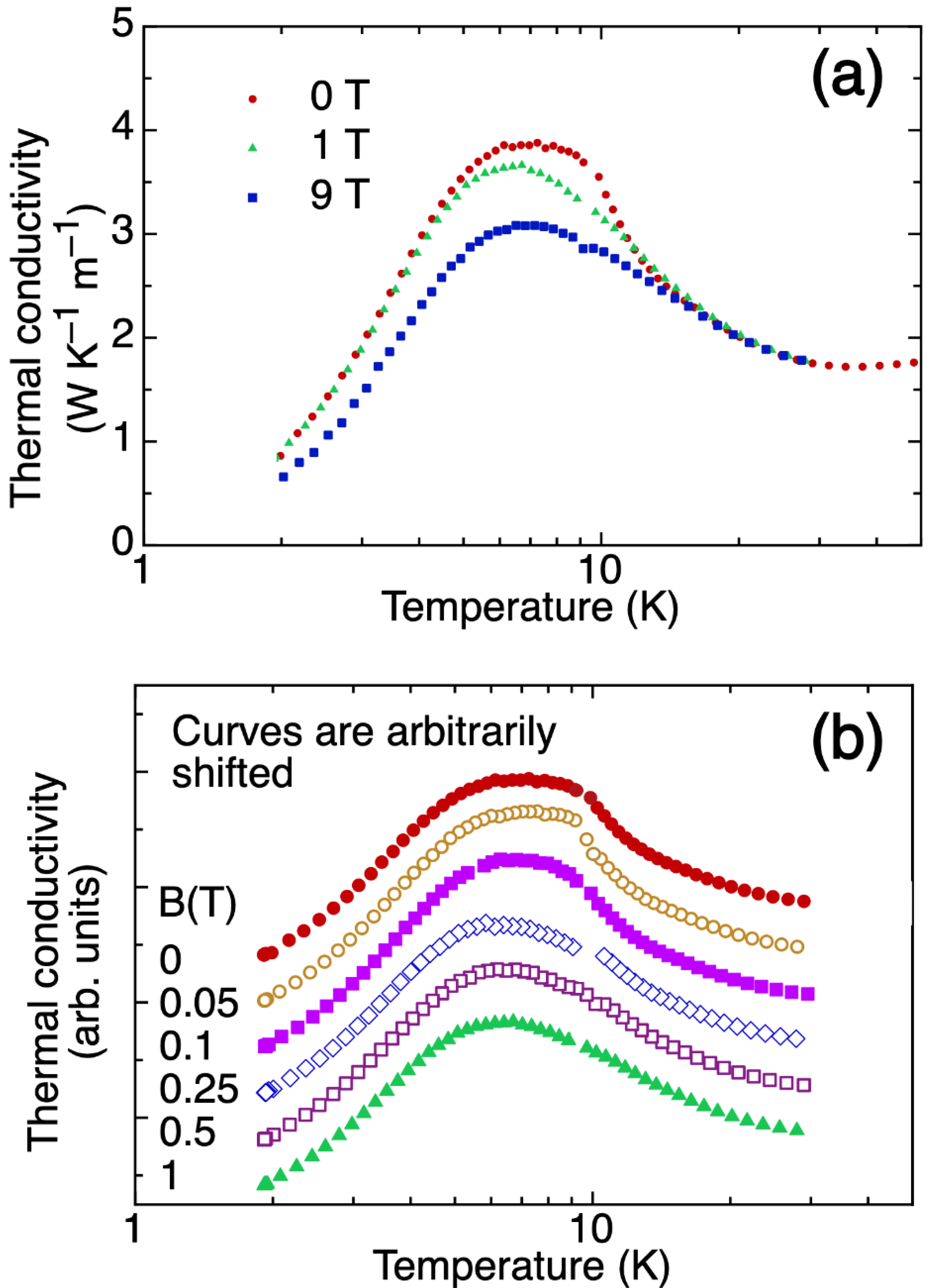
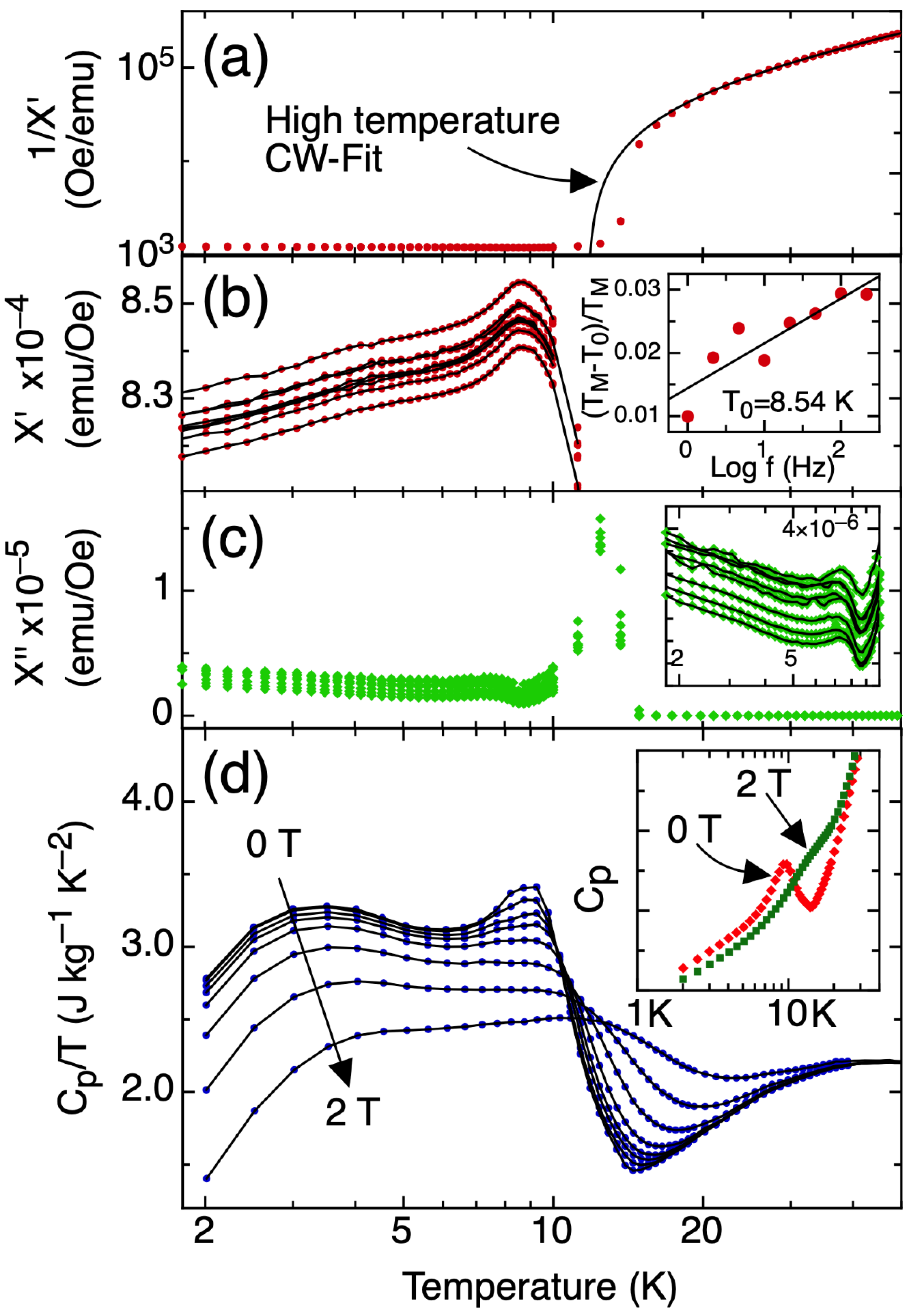
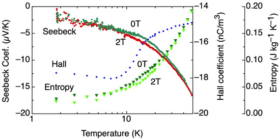
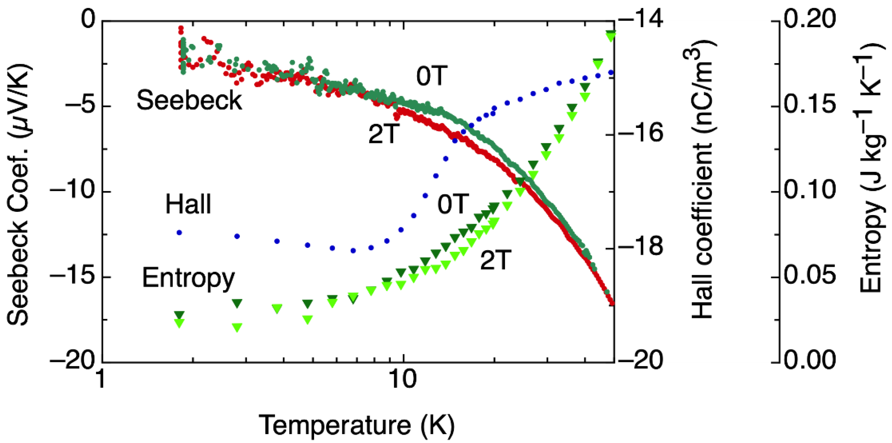
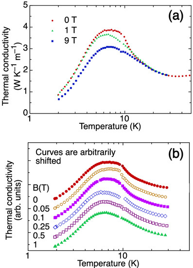
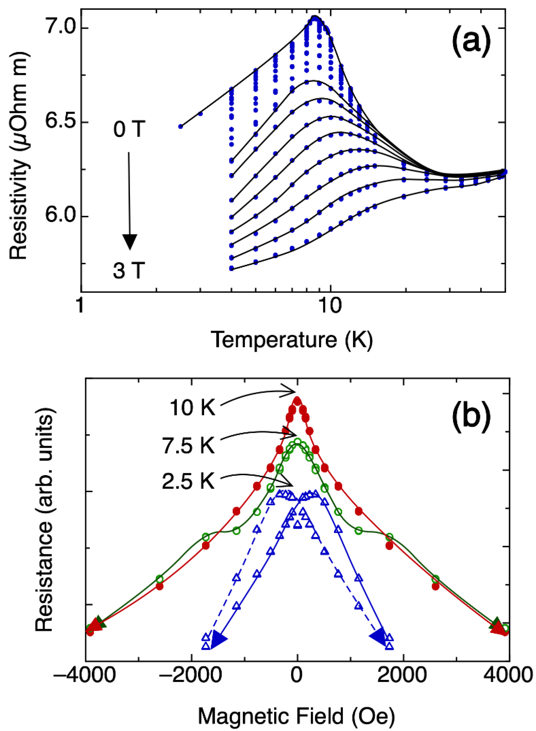
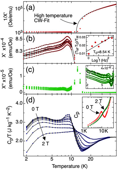
3. Results and Discussion
4. Conclusions
Author Contributions
Funding
Data Availability Statement
Conflicts of Interest
References
- Cohn, J.L.; Nolas, G.S.; Fessatidis, V.; Metcalf, T.H.; Slack, G.S. Glasslike Heat Conduction in High-Mobility Crystalline Semiconductors. Phys. Rev. Lett. 1999, 82, 779. [Google Scholar] [CrossRef] [Green Version]
- Kawaji, H.; Horie, H.-O.; Yamanaka, S.; Ishikawa, M. Superconductivity in the Silicon Clathrate Compound (Na,Ba)xSi46. Phys. Rev. Lett. 1995, 74, 1427. [Google Scholar] [CrossRef] [PubMed] [Green Version]
- Paschen, S.; Carrillo-Cabrera, W.; Bentien, A.; Tran, V.H.; Baenitz, M.; Grin, Y.; Steglich, F. Structural, transport, magnetic, and thermal properties of Eu8Ga16Ge30. Phys. Rev. B 2001, 64, 214404. [Google Scholar] [CrossRef]
- Woods, G.T.; Martin, J.; Beekman, M.; Hermann, R.P.; Grandjean, F.; Keppens, V.; Leupold, O.; Long, G.J.; Nolas, G.S. Magnetic and electronic properties of Eu4Sr4Ga16Ge30. Phys. Rev. B 2006, 73, 174403. [Google Scholar] [CrossRef]
- Srinath, S.; Gass, J.; Rebar, J.; Woods, G.T.; Srikanth, H.; Nolas, G.S. Giant magnetocaloric effect in clathrates. J. Appl. Phys. 2006, 99, 08K902. [Google Scholar] [CrossRef]
- Kawaguchi, T.; Tanigaki, K.; Yasukawa, M. Ferromagnetism in germanium clathrate: Ba8Mn2Ge44. Appl. Phys. Lett. 2000, 77, 3438–3440. [Google Scholar] [CrossRef]
- Nolas, G.S.; Kendziora, C.A. Raman scattering study of Ge and Sn compounds with type-I clathrate hydrate crystal structure. Phys. Rev. B 2000, 62, 7157. [Google Scholar] [CrossRef]
- Beekman, M.; Schnelle, W.; Borrmann, H.; Baitinger, M.; Grin, Y.; Nolas, G.S. Intrinsic electrical and thermal properties from single crystals of Na24Si136. Phys. Rev. Lett. 2010, 104, 018301. [Google Scholar] [CrossRef]
- Zerec, I.; Keppens, V.; McGuire, M.A.; Mandrus, D.; Sales, B.C.; Thalmeier, P. Four-Well Tunneling States and Elastic Response of Clathrates. Phys. Rev. Lett. 2004, 92, 185502. [Google Scholar] [CrossRef] [Green Version]
- Hermann, R.P.; Keppens, V.; Bonville, P.; Nolas, G.S.; Grandjean, F.; Long, G.J.; Christen, H.M.; Chakoumakos, B.C.; Sales, B.C.; Mandrus, D. Direct Experimental Evidence for Atomic Tunneling of Europium in Crystalline Eu8Ga16Ge30. Phys. Rev. Lett. 2006, 97, 017401. [Google Scholar] [CrossRef]
- Adams, G.B.; O’Keefe, M.; Demkov, A.A.; Sankey, O.F.; Huang, Y.-M. Wide-band-gap Si in open fourfold-coordinated clathrate structures. Phys. Rev. B 1994, 46, 8048. [Google Scholar] [CrossRef] [PubMed]
- Moriguchi, K.; Munetoh, S.; Shintani, A. First-principles study of Si34−xGex clathrates: Direct wide-gap semiconductors in Si-Ge alloys. Phys. Rev. B 2000, 62, 7138. [Google Scholar] [CrossRef]
- Blase, X.; Gillet, P.; Miguel, A.S.; Mélinon, P. Exceptional Ideal Strength of Carbon Clathrates. Phys. Rev. Lett. 2004, 92, 21550. [Google Scholar] [CrossRef] [PubMed]
- Nolas, G.S. (Ed.) The Physics and Chemistry of Inorganic Clathrates; Springer: Berlin/Heidelberg, Germany, 2014. [Google Scholar]
- Nolas, G.S.; Cohn, J.L.; Slack, G.A.; Schujman, S.B. Semiconducting Ge clathrates: Promising candidates for thermoelectric applications. Appl. Phys. Lett. 1998, 73, 178. [Google Scholar] [CrossRef] [Green Version]
- Prokofiev, A.; Sidorenko, A.; Hradil, K.; Ikeda, M.; Svagera, R.; Wass, M.; Winkler, H.; Neumaier, K.; Paschen, S. Thermopower enhancement by encapsulating cerium in clathrate cages. Nat. Mater. 2013, 12, 1096–1101. [Google Scholar] [CrossRef] [Green Version]
- Beekman, M.; Morelli, D.T.; Nolas, G.S. Better thermoelectrics through glass-like crystals. Nat. Mater. 2015, 14, 1182. [Google Scholar] [CrossRef]
- Zhang, Y.; Lee, P.L.; Nolas, G.S.; Wilkinson, A.P. Gallium distribution in the clathrates Sr8Ga16Ge30 and Sr4Eu4Ga16Ge30 by resonant diffraction. Appl. Phys. Lett. 2002, 80, 2931. [Google Scholar] [CrossRef]
- Phan, M.H.; Franco, V.; Chaturvedi, A.; Stefanoski, S.; Nolas, G.S.; Srikanth, H. Origin of the magnetic anomaly and tunneling effect of europium on the ferromagnetic ordering in Eu8−xSrxGa16Ge30 (x = 0, 4) type-I clathrates. Phys. Rev. B 2011, 84, 054436. [Google Scholar] [CrossRef] [Green Version]
- Sales, B.C.; Chakoumakos, B.C.; Jin, R.; Thompson, J.R.; Mandrus, D. Structural, magnetic, thermal, and transport properties of X8Ga16Ge30 (X = Eu, Sr, Ba) single crystals. Phys. Rev. B 2001, 63, 245113. [Google Scholar] [CrossRef]
- Nolas, G.S.; Weakley, T.J.R.; Cohn, J.L.; Sharma, R. Structural properties and thermal conductivity of crystalline Ge clathrates. Phys. Rev. B 2000, 61, 3845. [Google Scholar] [CrossRef] [Green Version]
- Phan, M.H.; Woods, G.T.; Chaturvedi, A.; Stefanoski, S.; Nolas, G.S.; Srikanth, H. Long-range ferromagnetism and giant magnetocaloric effect in type VIII Eu8Ga16Ge30 clathrates. Appl. Phys. Lett. 2008, 93, 252505. [Google Scholar] [CrossRef] [Green Version]
- Dormann, J.L.; Fiorani, D.; Tronc, E. Magnetic relaxation in fine-particle systems. Adv. Chem. Phys. 1997, 98, 283–449, and references therein. [Google Scholar]
- Tholence, J.L. Recent experiments about the spin-glass transition. Physica B+C 1984, 126, 157. [Google Scholar] [CrossRef]
- Wang, J.-Q.; Xiao, G. Origin of the temperature dependence of the giant magnetoresistance in magnetic granular solids. Phys. Rev. B 1994, 50, 3423. [Google Scholar] [CrossRef] [PubMed]
- Goupil, C.; Seifert, W.; Zabrocki, K.; Müller, E.; Snyder, G.J. Thermodynamics of Thermoelectric Phenomena and Applications. Entropy 2011, 13, 1481–1517. [Google Scholar] [CrossRef] [Green Version]
- Perez, N.; Chirkova, A.; Skokov, K.P.; Woodcock, T.G.; Gutfleisch, O.; Baranov, N.V.; Nielsch, K.; Schierning, G. Electronic entropy change in Ni-doped FeRh. Mater. Today Phys. 2019, 9, 100129. [Google Scholar] [CrossRef]




Publisher’s Note: MDPI stays neutral with regard to jurisdictional claims in published maps and institutional affiliations. |
© 2022 by the authors. Licensee MDPI, Basel, Switzerland. This article is an open access article distributed under the terms and conditions of the Creative Commons Attribution (CC BY) license (https://creativecommons.org/licenses/by/4.0/).
Share and Cite
Pérez, N.; Sahoo, M.; Schierning, G.; Nielsch, K.; Nolas, G.S. Europium Clustering and Glassy Magnetic Behavior in Inorganic Clathrate-VIII Eu8Ga16Ge30. Materials 2022, 15, 3439. https://doi.org/10.3390/ma15103439
Pérez N, Sahoo M, Schierning G, Nielsch K, Nolas GS. Europium Clustering and Glassy Magnetic Behavior in Inorganic Clathrate-VIII Eu8Ga16Ge30. Materials. 2022; 15(10):3439. https://doi.org/10.3390/ma15103439
Chicago/Turabian StylePérez, Nicolás, Manaswini Sahoo, Gabi Schierning, Kornelius Nielsch, and George S. Nolas. 2022. "Europium Clustering and Glassy Magnetic Behavior in Inorganic Clathrate-VIII Eu8Ga16Ge30" Materials 15, no. 10: 3439. https://doi.org/10.3390/ma15103439
APA StylePérez, N., Sahoo, M., Schierning, G., Nielsch, K., & Nolas, G. S. (2022). Europium Clustering and Glassy Magnetic Behavior in Inorganic Clathrate-VIII Eu8Ga16Ge30. Materials, 15(10), 3439. https://doi.org/10.3390/ma15103439

