Mechanisms of Ohmic Contact Formation of Ti/Al-Based Metal Stacks on p-Doped 4H-SiC
Abstract
:1. Introduction
2. Materials and Methods
3. Results
3.1. Sheet Resistance and Determination of the Acceptor Ionization Energy
3.2. Determination of Schottky Barrier Height
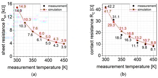
3.3. Numerical Simulation
4. Discussion
Author Contributions
Funding
Institutional Review Board Statement
Informed Consent Statement
Data Availability Statement
Conflicts of Interest
Appendix A
| Equation | Parameter | Unit | Electrons | Holes |
|---|---|---|---|---|
| (4) | cm2/Vs | 950 | 125 | |
| (4) | 1 | 2.4 | 2.15 | |
| (5) | cm2/Vs | 40 | 0 | |
| (5) | 1 | −1.536 | −0.57 | |
| (5) | cm2/Vs | 910 | 113.5 | |
| (5) | 1 | −2.397 | −2.6 | |
| (5) | cm−3 | 2.0 × 1017 | 2.4 × 1018 | |
| (5) | 1 | 0.75 | 2.9 | |
| (5) | 1 | 0.76 | 0.69 | |
| (5) | 1 | 0.722 | −0.2 |
| Equation | Parameter | Unit | Nitrogen | Aluminum |
|---|---|---|---|---|
| (7) | 1 | 2 | --- | |
| (7) | eV | 0.0709 | --- | |
| (7) | cm−3 | 1.7193 × 1019 | --- | |
| (8) | 1 | --- | 4 | |
| (8) | eV | --- | 0.265 | |
| (8) | cm−3 | --- | 1.0752 × 1020 |
References
- Kimoto, T.; Cooper, J.A. Fundamentals of Silicon Carbide Technology: Growth, Characterization, Devices and Applications; IEEE Xplore: Singapore; Piscataway, NJ, USA, 2014; ISBN 978-1-118-31352-7. [Google Scholar]
- Roccaforte, F.; Frazzetto, A.; Greco, G.; Giannazzo, F.; Fiorenza, P.; Lo Nigro, R.; Saggio, M.; Leszczyński, M.; Pristawko, P.; Raineri, V. Critical issues for interfaces to p-type SiC and GaN in power devices. Appl. Surf. Sci. 2012, 258, 8324–8333. [Google Scholar] [CrossRef]
- Abi-Tannous, T.; Soueidan, M.; Ferro, G.; Lazar, M.; Raynaud, C.; Toury, B.; Beaufort, M.-F.; Barbot, J.-F.; Dezellus, O.; Planson, D. A Study on the Temperature of Ohmic Contact to p-Type SiC Based on Ti3SiC2 Phase. IEEE Trans. Electron. Devices 2016, 63, 2462–2468. [Google Scholar] [CrossRef] [Green Version]
- Fisher, C.A. On the Schottky Barrier Height Lowering Effect of Ti3SiC2 in Ohmic Contacts to P-Type 4H-SiC. IJFPS 2014, 4, 95–100. [Google Scholar] [CrossRef]
- Gao, M.; Tsukimoto, S.; Goss, S.H.; Tumakha, S.P.; Onishi, T.; Murakami, M.; Brillson, L.J. Role of Interface Layers and Localized States in TiAl-Based Ohmic Contacts to p-Type 4H-SiC. J. Electron. Mater. 2007, 36, 277–284. [Google Scholar] [CrossRef]
- Jennings, M.R.; Fisher, C.A.; Walker, D.; Sanchez, A.; Pérez-Tomás, A.; Hamilton, D.P.; Gammon, P.M.; Burrows, S.E.; Thomas, S.M.; Sharma, Y.K.; et al. On the Ti3SiC2 Metallic Phase Formation for Robust p-Type 4H-SiC Ohmic Contacts. Mater. Sci. Forum 2014, 778-780, 693–696. [Google Scholar] [CrossRef]
- Johnson, B.J.; Capano, M.A. The effect of titanium on Al–Ti contacts to p-type 4H-SiC. Solid-State Electron. 2003, 47, 1437–1441. [Google Scholar] [CrossRef]
- Johnson, B.J.; Capano, M.A. Mechanism of ohmic behavior of Al/Ti contacts to p-type 4H-SiC after annealing. Solid-State Electron. 2004, 95, 5616–5620. [Google Scholar] [CrossRef]
- Nakatsuka, O.; Takei, T.; Koide, Y.; Murakami, M. Low Resistance TiAl Ohmic Contacts with Multi-Layered Structure for p-Type 4H-SiC. Mater. Trans. 2002, 43, 1684–1688. [Google Scholar] [CrossRef] [Green Version]
- Tang, Y.D.; Shen, H.J.; Zhang, X.F.; Guo, F.; Bai, Y.; Peng, Z.Y.; Liu, X.Y. Effect of Annealing on the Characteristics of Ti/Al Ohmic Contacts to p-Type 4H-SiC. Mater. Sci. Forum 2017, 897, 395–398. [Google Scholar] [CrossRef]
- Tsukimoto, S.; Nitta, K.; Sakai, T.; Moriyama, M.; Murakami, M. Correlation between the electrical properties and the interfacial microstructures of TiAl-based ohmic contacts to p-type 4H-SiC. J. Electron. Mater. 2004, 33, 460–466. [Google Scholar] [CrossRef]
- Tsukimoto, S.; Ito, K.; Wang, Z.; Saito, M.; Ikuhara, Y.; Murakami, M. Growth and Microstructure of Epitaxial Ti3SiC2 Contact Layers on SiC. Mater. Trans. 2009, 50, 1071–1075. [Google Scholar] [CrossRef] [Green Version]
- Ideguchi, K.; Maeda, M.; Takahashi, Y. Nucleation and growth of Ti3SiC2 on SiC by interfacial reaction. IOP Conf. Ser. Mater. Sci. Eng. 2014, 61, 12032. [Google Scholar] [CrossRef] [Green Version]
- Maeda, M.; Takahashi, Y. Formation of Ti3SiC2 on SiC by Control of Interfacial Reaction between SiC and Ti/Al Multilayer. Prepr. Natl. Meet. JWS 2008, 2008, 105. [Google Scholar] [CrossRef]
- Wang, Z.; Tsukimoto, S.; Saito, M.; Ito, K.; Murakami, M.; Ikuhara, Y. Ohmic contacts on silicon carbide: The first monolayer and its electronic effect. Phys. Rev. B 2009, 80, 245303. [Google Scholar] [CrossRef] [Green Version]
- Vivona, M.; Greco, G.; Bongiorno, C.; Lo Nigro, R.; Scalese, S.; Roccaforte, F. Electrical and structural properties of surfaces and interfaces in Ti/Al/Ni Ohmic contacts to p-type implanted 4H-SiC. Appl. Surf. Sci. 2017, 420, 331–335. [Google Scholar] [CrossRef]
- Buchholt, K.; Ghandi, R.; Domeij, M.; Zetterling, C.-M.; Lu, J.; Eklund, P.; Hultman, L.; Spetz, A.L. Ohmic contact properties of magnetron sputtered Ti3SiC2 on n-and p-type 4H-silicon carbide. Appl. Phys. Lett. 2011, 98, 042108. [Google Scholar] [CrossRef]
- Kocher, M.; Rommel, M.; Erlbacher, T.; Bauer, A.J. Influence of Al Doping Concentration and Annealing Parameters on TiAl Based Ohmic Contacts on 4H-SiC. Mater. Sci. Forum 2018, 924, 393–396. [Google Scholar] [CrossRef]
- Synopsys, Inc. Sentaurus™ Device User Guide: Version O-2018.06; Synopsys, Inc.: Mountain View, CA, USA, 2018. [Google Scholar]
- Koizumi, A.; Suda, J.; Kimoto, T. Temperature and doping dependencies of electrical properties in Al-doped 4H-SiC epitaxial layers. J. Appl. Phys. 2009, 106, 13716. [Google Scholar] [CrossRef] [Green Version]
- Sze, S.M.; Ng, K.K.; Ng, K.K. Physics of Semiconductor Devices/Physics of Semiconductor Devices, 3rd ed.; Wiley-Interscience: Hoboken, NJ, USA, 2007; ISBN 0-471-14323-5. [Google Scholar]
- Roccaforte, F.; Vivona, M.; Greco, G.; Lo Nigro, R.; Giannazzo, F.; Di Franco, S.; Bongiorno, C.; Iucolano, F.; Frazzetto, A.; Rascunà, S.; et al. Ti/Al-based contacts to p-type SiC and GaN for power device applications. Phys. Status Solidi A 2017, 214, 1600357. [Google Scholar] [CrossRef]
- Frazzetto, A.; Giannazzo, F.; Lo Nigro, R.; Raineri, V.; Roccaforte, F. Structural and transport properties in alloyed Ti/Al Ohmic contacts formed on p-type Al-implanted 4H-SiC annealed at high temperature. J. Phys. D Appl. Phys. 2011, 44, 255302. [Google Scholar] [CrossRef] [Green Version]
- Thierry-Jebali, N.; Vo-Ha, A.; Carole, D.; Lazar, M.; Ferro, G.; Planson, D.; Henry, A.; Brosselard, P. Very low specific contact resistance measurements made on a highly p-type doped 4H-SiC layer selectively grown by vapor-liquid-solid transport. Appl. Phys. Lett. 2013, 102, 212108. [Google Scholar] [CrossRef] [Green Version]
- Colinge, J.P.; Colinge, C.A. Physics of Semiconductor Devices; Kluwer Academic Publishers: Boston, MA, USA, 2002; ISBN 978-0-306-47622-8. [Google Scholar]
- Roccaforte, F.; Frazzetto, A.; Greco, G.; Lo Nigro, R.; Giannazzo, F.; Leszczyński, M.; Prystawko, P.; Zanetti, E.; Saggio, M.; Raineri, V. Microstructure and Transport Properties in Alloyed Ohmic Contacts to P-Type SiC and GaN for Power Devices Applications. Mater. Sci. Forum 2012, 711, 203–207. [Google Scholar] [CrossRef]
- Zhang, Y.; Guo, T.; Tang, X.; Yang, J.; He, Y.; Zhang, Y. Thermal stability study of n-type and p-type ohmic contacts simultaneously formed on 4H-SiC. J. Alloys Compd. 2018, 731, 1267–1274. [Google Scholar] [CrossRef]
- Michałowski, P.P.; Kozdra, S.; Pasternak, I.; Sitek, J.; Wójcik, A.; Strupiński, W. Precise localization of contaminants in graphene with secondary ion mass spectrometry. Measurement 2021, 110308. [Google Scholar] [CrossRef]
- Michałowski, P.P.; Maciążek, D.; Postawa, Z.; Caban, P.A.; Kozdra, S.; Wójcik, A.; Baranowski, J.M. Defect-mediated sputtering process of boron nitride during high incident angle low-energy ion bombardment. Measurement 2021, 179, 109487. [Google Scholar] [CrossRef]
- Parisini, A.; Nipoti, R. Analysis of the hole transport through valence band states in heavy Al doped 4H-SiC by ion implantation. J. Appl. Phys. 2013, 114, 243703. [Google Scholar] [CrossRef]
- Kocher, M.; Yao, B.T.; Weisse, J.; Rommel, M.; Xu, Z.W.; Erlbacher, T.; Bauer, A. Determination of Compensation Ratios of Al-Implanted 4H-SiC by TCAD Modelling of TLM Measurements. Mater. Sci. Forum 2019, 963, 445–448. [Google Scholar] [CrossRef]
- Weiße, J.; Hauck, M.; Sledziewski, T.; Tschiesche, M.; Krieger, M.; Bauer, A.J.; Mitlehner, H.; Frey, L.; Erlbacher, T. Analysis of Compensation Effects in Aluminum-Implanted 4H-SiC Devices. Mater. Sci. Forum 2018, 924, 184–187. [Google Scholar] [CrossRef]






| A | B | C | |
|---|---|---|---|
| Implanted Al surface concentration [1019 cm−3] | 5.0 | 5.0 | 0.33 to 5.0 (14 different Al surface conc.) |
| Implanted Al dose [1014 cm−2] | 9.0 | 6.0 | 0.34 to 5.1 (14 different Al doses) |
| High temperature implantation annealing | 1700 °C, 30 min, Ar atmosphere | ||
Publisher’s Note: MDPI stays neutral with regard to jurisdictional claims in published maps and institutional affiliations. |
© 2021 by the authors. Licensee MDPI, Basel, Switzerland. This article is an open access article distributed under the terms and conditions of the Creative Commons Attribution (CC BY) license (https://creativecommons.org/licenses/by/4.0/).
Share and Cite
Kocher, M.; Rommel, M.; Michałowski, P.P.; Erlbacher, T. Mechanisms of Ohmic Contact Formation of Ti/Al-Based Metal Stacks on p-Doped 4H-SiC. Materials 2022, 15, 50. https://doi.org/10.3390/ma15010050
Kocher M, Rommel M, Michałowski PP, Erlbacher T. Mechanisms of Ohmic Contact Formation of Ti/Al-Based Metal Stacks on p-Doped 4H-SiC. Materials. 2022; 15(1):50. https://doi.org/10.3390/ma15010050
Chicago/Turabian StyleKocher, Matthias, Mathias Rommel, Paweł Piotr Michałowski, and Tobias Erlbacher. 2022. "Mechanisms of Ohmic Contact Formation of Ti/Al-Based Metal Stacks on p-Doped 4H-SiC" Materials 15, no. 1: 50. https://doi.org/10.3390/ma15010050
APA StyleKocher, M., Rommel, M., Michałowski, P. P., & Erlbacher, T. (2022). Mechanisms of Ohmic Contact Formation of Ti/Al-Based Metal Stacks on p-Doped 4H-SiC. Materials, 15(1), 50. https://doi.org/10.3390/ma15010050

