Characteristics of the Surface Topography and Tribological Properties of Reinforced Aluminum Matrix Composite
Abstract
:1. Introduction
2. Materials and Methods
2.1. Material Characteristics—Manufacturing Process and Properties
2.2. Research Methodology—Experimental and Measurement Methods
3. Results and Discussion
4. Conclusions
Author Contributions
Funding
Institutional Review Board Statement
Informed Consent Statement
Data Availability Statement
Acknowledgments
Conflicts of Interest
References
- Gupta, N.; Sano, T. Metal and Polymer Matrix Composites. JOM 2020, 72, 2269–2271. [Google Scholar] [CrossRef] [Green Version]
- Zhang, Z.F.; Zhang, L.C.; Mai, Y.W. Particle effects on friction and wear of aluminium matrix composites. J. Mater. Sci. 1995, 30, 5999–6004. [Google Scholar] [CrossRef]
- Pramanik, A. Effects of reinforcement on wear resistance of aluminum matrix composites. Trans. Nonferrous Met. Soc. China 2016, 26, 348–358. [Google Scholar] [CrossRef] [Green Version]
- Kumaran, S.T.; Uthayakumar, M.; Slota, A.; Zajac, J. Application of grey relational analysis in high speed machining of AA (6351)-SiC-B4C hybrid composite. Int. J. Mater. Prod. Technol. 2015, 51, 17–31. [Google Scholar] [CrossRef]
- Nieto, A.; Yang, H.; Jiang, L.; Schoenung, J.M. Reinforcement size effects on the abrasive wear of boron carbide reinforced aluminum composites. Wear 2017, 390–391, 228–235. [Google Scholar] [CrossRef]
- Bisane, V.; Sable, Y.; Dhobe, M.; Sonawane, P. Recent development and challenges in processing of ceramics reinforced Al matrix composite through stir casting process: A Review. Int. J. Eng. Appl. Sci. (IJEAS) 2015, 2, 11–16. [Google Scholar]
- Verma, A.S.; Cheema, M.S.; Kant, S.; Suri, N.M. Porosity study of developed Al–Mg–Si/Bauxite residue metal matrix composite using advanced stir casting process. Arab. J. Sci. Eng. 2019, 44, 1543–1552. [Google Scholar] [CrossRef]
- Sreeraj, P.; Thirumalai Kumaran, S.; Suresh Kumar, S.; Uthayakumar, M.; Pethuraj, M. Measurement of microchannels produced in AA6351/rutile composite by wire-EDM. Surf. Rev. Lett. 2021, 28, 2050034. [Google Scholar] [CrossRef]
- Kumar, C.R.; Malarvannan, R.R.R.; JaiGanesh, V. Role of SiC on mechanical, tribological and thermal expansion characteristics of B4C/Talc-reinforced Al-6061 hybrid composite. Silicon 2020, 12, 1491–1500. [Google Scholar] [CrossRef]
- Palanikumar, K.; Rajkumar, S.E.; Pitchandi, K. Influence of Primary B4C particles and secondary mica particles on the wear performance of Al6061/B4C/Mica hybrid composites. J. Bio-Tribo-Corros. 2019, 5, 77. [Google Scholar] [CrossRef]
- Singh, M.; Mondal, D.P.; Jha, A.K.; Das, S.; Yegneswaran, A.H. Preparation and properties of cast aluminium alloy-sillimanite particle composite. Compos.-Part A Appl. Sci. Manuf. 2001, 32, 787–795. [Google Scholar] [CrossRef]
- Singh, M.; Mondal, D.P.; Dasgupta, R.; Prasad, B.K.; Jha, A.K.; Yegneswaran, A.H. Effect of sillimanite particle reinforcement on dry sliding wear behaviour of aluminium alloy composite. Mater. Sci. Technol. 2003, 19, 303–312. [Google Scholar] [CrossRef]
- Singh, M.; Mondal, D.P.; Modi, O.P.; Jha, A.K. Two-body abrasive wear behaviour of aluminium alloy-sillimanite particle reinforced composite. Wear 2002, 253, 357–368. [Google Scholar] [CrossRef]
- Sharma, S.; Nanda, T.; Pandey, O.P. Effect of particle size on dry sliding wear behaviour of sillimanite reinforced aluminium matrix composites. Ceram. Int. 2018, 44, 104–114. [Google Scholar] [CrossRef]
- Kurt, H.; Arik, H.; Bagci, C. Abrasive wear, structure, and mechanical aspects of Al–Al2O3 composites fabricated using various mixing media during P/M routes. Powder Metall. Met. Ceram. 2016, 55, 141–151. [Google Scholar] [CrossRef]
- Baradeswaran, A.; Elayaperumal, A.; Issac, R.F. A Statistical analysis of optimization of wear behaviour of Al- Al2O3 composites using Taguchi technique. Procedia Eng. 2013, 64, 973–982. [Google Scholar] [CrossRef] [Green Version]
- Baradeswaran, A.; Vettivel, S.C.; Elaya Perumal, A.; Selvakumar, N.; Franklin Issac, R. Experimental investigation on mechanical behaviour, modelling and optimization of wear parameters of B4C and graphite reinforced aluminium hybrid composites. Mater. Des. 2014, 63, 620–632. [Google Scholar] [CrossRef]
- Singh, S.; Prakash, C.; Antil, P.; Singh, R.; Królczyk, G.; Pruncu, C.I. Dimensionless analysis for investigating the quality characteristics of Aluminium Matrix Composites prepared through fused deposition modelling assisted investment casting. Materials 2019, 12, 1907. [Google Scholar] [CrossRef] [Green Version]
- Plyushch, A.; Macutkevič, J.; Sokal, A.; Lapko, K.; Kudlash, A.; Adamchuk, D.; Ksenevich, V.; Bychanok, D.; Selskis, A.; Kuzhir, P.; et al. The phosphate-based composite materials filled with nano-sized BaTiO3 and Fe3O4: Toward the unfired multiferroic materials. Materials 2021, 14, 133. [Google Scholar] [CrossRef]
- Shinde, D.M.; Sahoo, P.; Davim, J.P. Tribological characterization of particulate-reinforced aluminum metal matrix nanocompositesL A review. Adv. Compos. Lett. 2020, 29, 1–28. [Google Scholar] [CrossRef]
- Jha, N.; Badkul, A.; Mondal, D.P.; Das, S.; Singh, M. Sliding wear behavior of aluminum syntactic foam: A comparison with Al-10 wt% SiC composites. Tribol. Int. 2011, 44, 220–231. [Google Scholar] [CrossRef]
- Kowalski, S.; Cygnar, M. The application of TiSiN/TiAlN coatings in the mitigation of fretting wear in push fit joints. Wear 2019, 426, 725–734. [Google Scholar] [CrossRef]
- Henker, B.; Myalski, J.; Pawlik, T.; Sopicka-Lizer, M. Effect of carbon in fabrication Al-SiC nanocomposites for tribological application. Materials 2017, 10, 679. [Google Scholar]
- Du, A.; Lattanzi, L.; Wollmar, A.; Jarfors, E.; Zheng, J.; Wang, K.; Yu, G. On the hardness and elastic modulus of phases in SiC-reinforced Al composite: Role of La and Ce addition. Materials 2021, 14, 6287. [Google Scholar] [CrossRef]
- Agarwal, M.; Singh, M.K.; Srivastava, R.; Gautam, R.K. Microstructural measurement and artificial neural network analysis for adhesion of tribolayer during sliding wear of powder-chip reinforcement based composites. Measurement 2021, 168, 108417. [Google Scholar] [CrossRef]
- Brown, C.A.; Hansen, H.N.; Jiang, X.J.; Blateyron, F.; Berglund, J.; Senin, N.; Bartkowiak, T.; Dixon, B.; Goïc, G.L.; Quinsat, Y.; et al. Multiscale analyses and characterizations of surface topographies. CIRP Ann. 2018, 67, 839–862. [Google Scholar] [CrossRef]
- Leach, R. (Ed.) Characterization of Areal Surface Texture; Springer: Berlin, Germany, 2013. [Google Scholar]
- Niemczewska-Wójcik, M.; Wójcik, A. The multi-scale analysis of ceramic surface topography created in abrasive machining process. Measurement 2020, 166, 108217. [Google Scholar] [CrossRef]
- Whitehouse, D.J. Handbook of Surface and Nanometrology; CRC Press: Boca Raton, FL, USA; London, UK; New York, NY, USA, 2011. [Google Scholar]
- Meignanamoorthy, M.; Ravichandran, M.; Mohanavel, V.; Afzal, A.; Sathish, T.; Alamri, S.; Khan, S.A.; Saleel, C.A. Microstructure, mechanical properties, and corrosion behavior of boron carbide reinforced aluminum alloy (al-Fe-Si-Zn-Cu) matrix composites produced via powder metallurgy route. Materials 2021, 14, 4315. [Google Scholar] [CrossRef]
- Saleh, B.; Jiang, J.; Fathi, R.; Xu, Q.; Li, Y.; Ma, A. Influence of gradient structure on wear characteristics of centrifugally cast functionally graded magnesium matrix composites for automotive applications. Arch. Civ. Mech. Eng. 2021, 21, 12. [Google Scholar] [CrossRef]
- Seah, K.H.W.; Sharma, S.C.; Ramesh, A. Mechanical properties of cast aluminium alloy 6061-albite particulate composites. Proc. Inst. Mech. Eng. Part L J. Mater. Des. Appl. 2000, 214, 2000. [Google Scholar]
- Kiyak, M.; Kaner, B.; Sahin, I.; Aldemir, B.; Cakir, O. The dependence of tool overhang on surface quality and tool wear in the turning process. Int. J. Adv. Manuf. Technol. 2010, 51, 431–438. [Google Scholar] [CrossRef]
- Abdizadeh, H.; Baharvandi, H.R.; Moghaddam, K.S. Comparing the effect of processing temperature on microstructure and mechanical behavior of (ZrSiO4 or TiB2)/aluminum composites. Mater. Sci. Eng. A 2008, 498, 53–58. [Google Scholar] [CrossRef]
- Ünlü, B.S. Investigation of tribological and mechanical properties Al2O3–SiC reinforced Al composites manufactured by casting or P./M method. Mater. Des. 2008, 29, 2002–2008. [Google Scholar] [CrossRef]
- Available online: http://www.tribologia.eu/ptt/inst/rad/T-05_en.pdf (accessed on 12 November 2021).
- Kaczor, G.; Machno, M. A study on the effect adhesive cavities on the scuffing initiation in a sliding contact. Materials 2021, 14, 4296. [Google Scholar] [CrossRef]
- Niemczewska-Wójcik, M.; Wójcik, A. Stereometric and tribometric studies of polymeric pin and ceramic plate friction pair components. Materials 2021, 14, 83. [Google Scholar] [CrossRef]
- Niemczewska-Wójcik, M.; Piekoszewski, W. The surface texture and its influence on the tribological characteristics of a friction pair: Metal-polymer. Arch. Civ. Mech. Eng. 2017, 17, 344–353. [Google Scholar] [CrossRef]
- Niemczewska-Wójcik, M.; Piekoszewski, W. The surface topography of a metallic femoral head and its influence on the wear mechanism of a polymeric acetabulum. Arch. Civ. Mech. Eng. 2017, 17, 307–317. [Google Scholar] [CrossRef]







| Sample | Density (g/cm3) | Microhardness (HV) | Tensile Strength (MPa) | Impact Strength (J) |
|---|---|---|---|---|
| Pure Al | 2.6871 | 40.53 | 70.67 | 9.70 |
| Al-10%Al2SiO5 | 2.6763 | 41.87 | 89.20 | 11.75 |
| Tribotester [36] | Sliding Joint | Parameters |
|---|---|---|
![]() | ![]() | Contact geometry: non-conformal (line) |
| Type of movement: sliding | ||
| Friction pair (materials): composite ASRC (block)—steel 100Cr6 (ring) | ||
| Normal load: P = 20 N | ||
| Sliding velocity: v = 0.1 m/s | ||
| Sliding distance (test cycle): d = 1000 m | ||
| Lubrication: without or with lubricant PAO8 (polyalphaolefin, synthetic oil) |
| Surface A | Surface B | |
| Photo | ![]() | ![]() |
| Surface map | ![]() | ![]() |
| Surface axonometric | ![]() | ![]() |
| Surface A | Surface B | |
|---|---|---|
| Surface map | ![]() | ![]() |
| Surface axonometric | ![]() | ![]() |
| Inversion of surface axonometric | ![]() | ![]() |
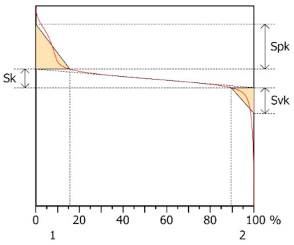
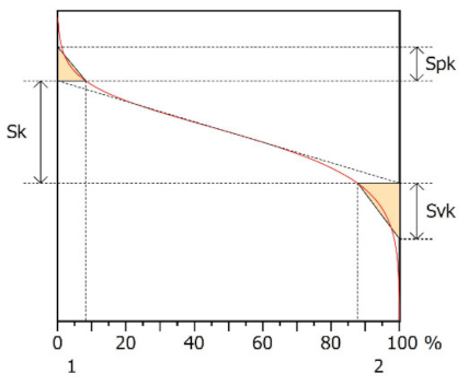
| Surface A | Surface B | ||||||||
|---|---|---|---|---|---|---|---|---|---|
![]() | ![]() | ||||||||
| Abbott–Firestone curve—Sk parameters | |||||||||
| Sk [µm] | Spk [µm] | Svk [µm] | Smr1 [%] | Smr2 [%] | Sk [µm] | Spk [µm] | Svk [µm] | Smr1 [%] | Smr2 [%] |
| 0.329 | 0.109 | 0.180 | 8.24 | 87.7 | 0.574 | 1.38 | 0.796 | 15.6 | 89.5 |
| Surface texture—3D parameters | |||||||||
| Sq [µm] | Ssk [-] | Sku [-] | Sp [µm] | Sv [µm] | Sq [µm] | Ssk [-] | Sku [-] | Sp [µm] | Sv [µm] |
| 0.136 | −0.462 | 3.69 | 0.400 | 0.598 | 0.542 | 0.527 | 9.89 | 2.16 | 4.01 |
| Lubrication | Surface A | Surface B |
|---|---|---|
| – | µ = 0.7632 ± 0.0416 | µ = 0.7507 ± 0.0429 |
| I = 0.2498 ± 0.0210 [µm/cycle] | I = 0.21033 ± 0.0168 [µm/cycle] | |
| PAO8 | µ = 0.0802 ± 0.0122 | µ = 0.0294 ± 0.0165 |
| I = 0.0099 ± 0.0018 [µm/cycle] | I = 0.0075 ± 0.0041 [µm/cycle] |
Publisher’s Note: MDPI stays neutral with regard to jurisdictional claims in published maps and institutional affiliations. |
© 2022 by the authors. Licensee MDPI, Basel, Switzerland. This article is an open access article distributed under the terms and conditions of the Creative Commons Attribution (CC BY) license (https://creativecommons.org/licenses/by/4.0/).
Share and Cite
Niemczewska-Wójcik, M.; Pethuraj, M.; Uthayakumar, M.; Abdul Majid, M.S. Characteristics of the Surface Topography and Tribological Properties of Reinforced Aluminum Matrix Composite. Materials 2022, 15, 358. https://doi.org/10.3390/ma15010358
Niemczewska-Wójcik M, Pethuraj M, Uthayakumar M, Abdul Majid MS. Characteristics of the Surface Topography and Tribological Properties of Reinforced Aluminum Matrix Composite. Materials. 2022; 15(1):358. https://doi.org/10.3390/ma15010358
Chicago/Turabian StyleNiemczewska-Wójcik, Magdalena, Manickaraj Pethuraj, Marimuthu Uthayakumar, and Mohd Shukry Abdul Majid. 2022. "Characteristics of the Surface Topography and Tribological Properties of Reinforced Aluminum Matrix Composite" Materials 15, no. 1: 358. https://doi.org/10.3390/ma15010358
APA StyleNiemczewska-Wójcik, M., Pethuraj, M., Uthayakumar, M., & Abdul Majid, M. S. (2022). Characteristics of the Surface Topography and Tribological Properties of Reinforced Aluminum Matrix Composite. Materials, 15(1), 358. https://doi.org/10.3390/ma15010358

















