Microstructure and Magnetocaloric Effect by Doping C in La-Fe-Si Ribbons
Abstract
:1. Introduction
2. Experimental Details
3. Result and Discussions
3.1. Nucleation Rate and Phase Structure
3.2. LaFe11.5Si1.5C0.2 Heat Treatment
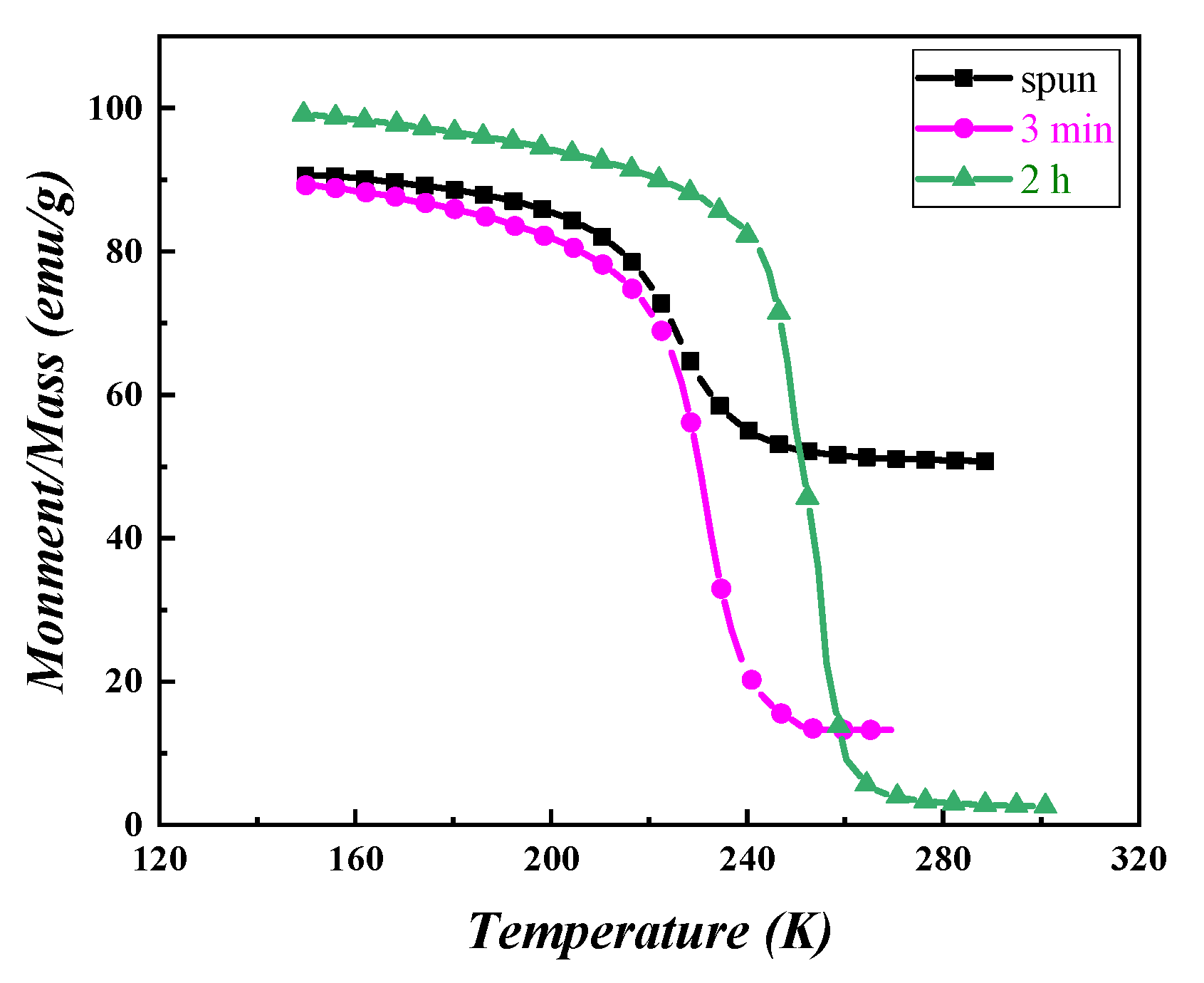
3.3. Effects on the Magnetic Properties
4. Conclusions
- The doping of C promotes the formation of La (Fe, Si)13 phases in the La-Fe-Si series alloy. Compared with La-Fe-Si alloy without C doping, the LaFe11.5Si1.5Cx (x = 0.1, 0.2, 0.3) alloy obtained more of the La (Fe, Si)13 phase without heat treatment.
- The process of heat treatment for 2 h at 1273 K facilitates a large isothermal variation of LaFe11.5Si1.5C0.2 entropy of alloy. With the extended thermal treatment time, the maximum isothermal magnetic entropy change of the LaFe11.5Si1.5C0.2 alloy fast strip tends to increase first before decreasing, reaching a maximum at 2 h of thermal treatment of 9.45 J/(kg·K).
- The characteristic quadrangle morphology in the LaFe11.5Si1.5C0.2 alloy fast quenching strip with 2 h pf heat treatment is benefitted by obtaining a higher magneto-thermal effect. Through the transmission analysis, the quadrilateral convex appearance in the 2 h heat treatment is the uniformly distributed La (Fe, Si)13 phase, and also the uniformly staggered distributed α-(Fe, Si) phase in the fast quenching band and the La-Fe-Si phase, which facilitates the contact between the α-(Fe, Si) phase and the La-Fe-Si phase, and promotes the packet analysis reaction. The uneven α-(Fe, Si) phase white large particles distributed in the alloy strip during 3 min heat treatment are difficult to contact using La-Fe-Si during heat treatment, which is not conducive to the packet analysis reaction, so the magneto-thermal effect is poor.
Author Contributions
Funding
Institutional Review Board Statement
Informed Consent Statement
Data Availability Statement
Conflicts of Interest
References
- Hou, X.; Lampen-Kelley, P.; Xue, Y.; Liu, C.; Xu, H.; Han, N.; Ma, C.; Srikanth, H.; Phan, M.H. Formation mechanisms of NaZn13-type phase in giant magnetocaloric La-Fe-Si compounds during rapid solidification and annealing. J. Alloys Compd. 2015, 646, 503–511. [Google Scholar] [CrossRef] [Green Version]
- Xiao, S.; Chen, Y.; Guan, D.; Yang, T.; Tu, M. Thermodynamical evaluation on magnetocaloric effect of magnetic refrigerating materials near room temperature. J. Chin. Rare Earth Soc. 2003, 21, 648–653. [Google Scholar]
- Hou, X.L.; Xue, Y.; Liu, C.Y.; Xu, H.; Han, N.; Ma, C.W.; Phan, M.H. Nucleation mechanism of nano-sized NaZn13-type and α-(Fe,Si) Phase in La-Fe-Si alloys during rapid solidification. Nanoscale Res. Lett. 2015, 10, 143. [Google Scholar] [CrossRef] [PubMed] [Green Version]
- Chen, Z.; Pingkerton, F.E.; Herbst, J.F. High Curie temperature of Ce-Fe-Si compounds with ThMn12 structure. Scripta Mater. 2015, 95, 66. [Google Scholar]
- Xie, K.; Song, X.; Lü, W. Magnetic entropy change in LaFe11.5Si1.5 ribbons. Raremetal Mater. Eng. 2005, 34, 1910. [Google Scholar]
- Zhang, Z.; He, C.; Zhang, M.; Liu, J. Influence of extra La and annealing temperature on microstructure and magnetocaloric properties of La-Fe-Co-Si alloys. Phys. B Condens. Matter 2015, 476, 167–170. [Google Scholar] [CrossRef]
- Hu, F.X.; Qian, X.L.; Sun, J.R.; Wang, G.J.; Zhang, X.X.; Cheng, Z.H.; Shen, B.G. Magnetic entropy change and its temperature variation in compounds La(Fe1−xCox)11.2Si1.8. J. Appl. Phys. 2002, 92, 3620–3623. [Google Scholar] [CrossRef]
- Chen, X.; Chen, Y.; Tang, Y. The effect of different temperature annealing on phase relation of LaFe11.5Si1.5 and the magnetocaloric effects of La0.8Ce0.2Fe11.5−xCoxSi1.5 alloys. J. Magn. Magn. Mater. 2011, 323, 3177–3183. [Google Scholar] [CrossRef]
- Zhang, H.; Long, Y.; Cao, Q.; Mudryk, Y.; Zou, M.; Gschneidner, K.A., Jr.; Pecharsky, V.K. Microstructure and magnetocaloric effect in cast LaFe11.5Si1.5Bx (x = 0.5, 1.0). J. Magn. Magn. Mater. 2010, 322, 1710–1714. [Google Scholar] [CrossRef]
- Fujita, A.; Fujieda, S.; Hasegawa, Y.; Fukamichi, K. Itinerant-electron metamagnetic transition and large magnetocaloric effects in La(FexSi1−x)13 compounds and their hydrides. Phys. Rev. B 2003, 67, 104416. [Google Scholar] [CrossRef] [Green Version]
- Bao, B.; Long, Y.; Fu, B.; Wang, C.; Ye, R.; Chang, Y.; Zhao, J.; Shen, J. The study on the microstructure and the magnetocaloric effects in LaFe10.8Co0.7Si1.5C0.2 compound at different annealing times. J. Appl. Phys. 2010, 107, 9. [Google Scholar] [CrossRef]
- Chen, Y.F.; Wang, F.; Shen, B.G.; Sun, J.R.; Wang, G.J.; Hu, F.X.; Cheng, Z.H.; Zhu, T. Effects of carbon on magnetic properties and magnetic entropy change of the LaFe11.5Si1.5 compound. J. Appl. Phys. 2003, 93, 6981–6983. [Google Scholar] [CrossRef]
- Hu, F.X.; Chen, L.; Wang, J.; Bao, L.F.; Sun, J.R.; Shen, B.G. Particle size dependent hysteresis loss in La0.7Ce0.3Fe11.6Si1.4C0.2 first-order systems. Appl. Phys. Lett. 2012, 100, 072403. [Google Scholar] [CrossRef] [Green Version]
- Hu, F.X.; Gao, J.; Qian, X.L.; Ilyn, M.; Tishin, A.M.; Sun, J.R.; Shen, B.G. Magnetocaloric effect in itinerant electron metamagnetic systems. J. Appl. Phys. 2005, 97, 10M303. [Google Scholar] [CrossRef] [Green Version]
- Zheng, H.; Tang, Y.; Chen, Y.; Wu, J.; Wang, H.; Xue, X.; Wang, J.; Pang, W. The high-temperature hydrogenation behavior of LaFe11.6Si1.4 and splitting of LaFe11.6Si1.4Hy magnetocaloric transition. J. Alloys Compd. 2015, 646, 124–128. [Google Scholar] [CrossRef]
- Phejar, M.; Paul-Boncour, V.; Bessais, L. Investigation on structural and magnetocaloric properties of LaFe13−x Six (H, C)y compounds. Solid State Chem. 2016, 233, 95–102. [Google Scholar] [CrossRef]
- Balli, M.; Fruchart, D.; Gignoux, D. The LaFe11.2Co0.7Si1.1Cx carbides for magnetic refrigeration close to room temperature. Appl. Phys. Lett. 2008, 93, 232505. [Google Scholar] [CrossRef]
- Christian, J.W. The Theory of Transformations in Metals and Alloys; Pergamon Press: Oxford, UK, 1981; p. 12. [Google Scholar]
- Spaepen, F. The Temperature Dependence of the Crystal-melt Iinterfacial Tension: A Simple Model. Mater. Sci. Eng. 1994, 178, 15–18. [Google Scholar] [CrossRef]
- Hou, X.; Liu, C.; Xue, Y.; Han, N.; Xu, H.; Ma, C.; Phan, M.H. Formation of NaZn13-type phase in LaFe11.5Si1.5 alloy during solidification process. Mater. Res. Soc. Symp. Proc. 2014, 1708, 696. [Google Scholar] [CrossRef]
- Xiang, J. Study on Magnetothermal Performance and Phase Transformation of LaFe11.5Si1.5 by Fast Quenching. Master’s Thesis, Shanghai University, Shanghai, China, 2013. [Google Scholar]
- Fu, S.; Long, Y.; Sun, Y.; Hu, J. Microstructural evolution and phase transition dependent on annealing temperature and carbon content for LaFe11.5Si1.5Cx compounds prepared by arc-melting. Intermetallics 2013, 39, 79–83. [Google Scholar] [CrossRef]
- Gong, M. Met-Nuclear Dynamics of the Crystal Phase in Lanthanide Ferrosilicon Alloy Deep Super-Cooled Melt. Master’s Thesis, Northeastern University, Boston, MA, USA, 2008. [Google Scholar]










| C Content | Lattice Parameters (Å) | 
|---|---|
| x = 0 | 11.4883 | 
| x = 0.1 | 11.4931 | 
| x = 0.2 | 11.4985 | 
| x = 0.3 | 11.5024 | 
| Chemical Composition | La (at %) | Fe (at %) | Si (at %) | Phase | |
|---|---|---|---|---|---|
| x = 0 | white point | 14.28 | 70.58 | 15.14 | La (Fe, Si)13 | 
| dark gray | 0 | 94.48 | 5.52 | α-(Fe, Si) | |
| gray white | 34.26 | 32.65 | 33.09 | LaFeSi | |
| x = 0.2 | white point | 13.87 | 71.14 | 14.99 | La (Fe, Si)13 | 
| dark gray | 0 | 94.45 | 5.55 | α-(Fe, Si) | |
| gray white | 33.64 | 32.97 | 33.39 | LaFeSi | |
| Annealing Time | Lattice Parameters (Å) | 
|---|---|
| as spun | 11.4985 | 
| 3 min | 11.5036 | 
| 2 h | 11.5107 | 
| Heat Treatment Time | Area | La (at%) | Fe (at%) | Si (at%) | O (at%) | C (at%) | Phase | 
|---|---|---|---|---|---|---|---|
| 0 min | I (white particles) | 9.11 | 74.82 | 7.43 | 4.97 | 3.66 | La2O3 | 
| II (intracrystalline) | 11.84 | 72.56 | 10.94 | 0.08 | 4.58 | La (Fe, Si)13 | |
| 3 min | I (white particles) | 15.28 | 49.74 | 6.36 | 21.63 | 6.99 | La2O3 | 
| II (intracrystalline) | 11.73 | 71.62 | 11.01 | 1.33 | 4.31 | La (Fe, Si)13 | |
| 2 h | I (white particles) | 18.97 | 25.93 | 4.96 | 36.88 | 13.26 | La2O3 | 
| II (intracrystalline) | 11.33 | 69.10 | 11.14 | 4.37 | 4.06 | La (Fe, Si)13 | 
| Publisher’s Note: MDPI stays neutral with regard to jurisdictional claims in published maps and institutional affiliations. | 
© 2022 by the authors. Licensee MDPI, Basel, Switzerland. This article is an open access article distributed under the terms and conditions of the Creative Commons Attribution (CC BY) license (https://creativecommons.org/licenses/by/4.0/).
Share and Cite
Song, H.; Hu, Y.; Zhang, J.; Fang, J.; Hou, X. Microstructure and Magnetocaloric Effect by Doping C in La-Fe-Si Ribbons. Materials 2022, 15, 343. https://doi.org/10.3390/ma15010343
Song H, Hu Y, Zhang J, Fang J, Hou X. Microstructure and Magnetocaloric Effect by Doping C in La-Fe-Si Ribbons. Materials. 2022; 15(1):343. https://doi.org/10.3390/ma15010343
Chicago/Turabian StyleSong, Huihui, Yuhu Hu, Jiale Zhang, Jinyu Fang, and Xueling Hou. 2022. "Microstructure and Magnetocaloric Effect by Doping C in La-Fe-Si Ribbons" Materials 15, no. 1: 343. https://doi.org/10.3390/ma15010343
APA StyleSong, H., Hu, Y., Zhang, J., Fang, J., & Hou, X. (2022). Microstructure and Magnetocaloric Effect by Doping C in La-Fe-Si Ribbons. Materials, 15(1), 343. https://doi.org/10.3390/ma15010343
 
         
                                                

 
       