Diels–Alder Cycloaddition with CO, CO2, SO2, or N2 Extrusion: A Powerful Tool for Material Chemistry
Abstract
1. Introduction
2. Cyclopentadienones for the Multisubstituted Benzene Ring and Naphthalene System Formation
2.1. Cyclopentadienones for the Multisubstituted Benzene Ring Formation
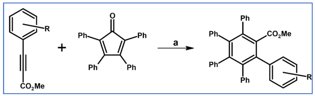
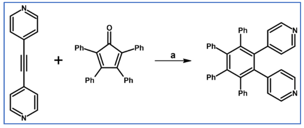
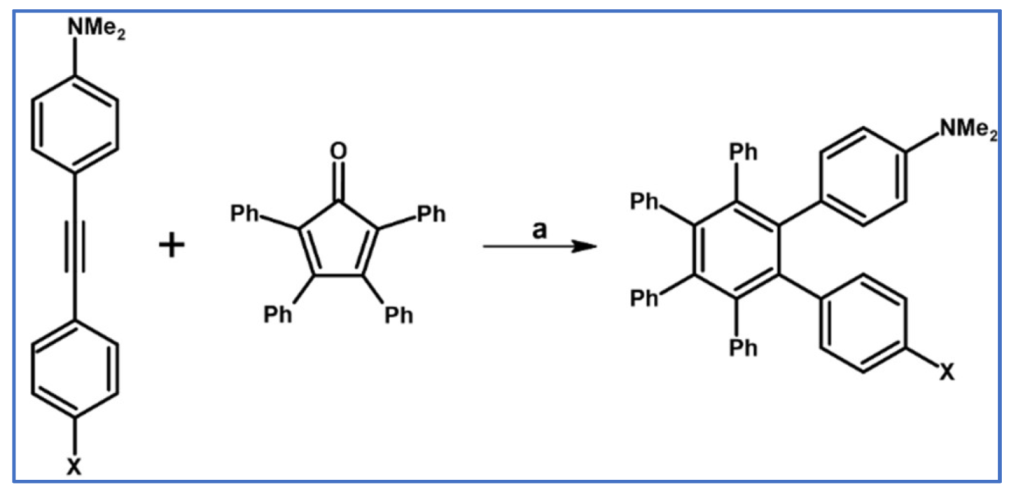
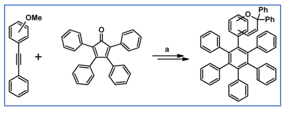
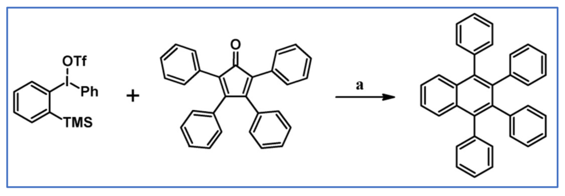
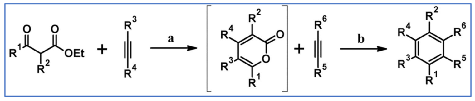
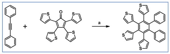
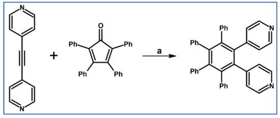
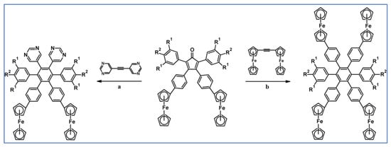
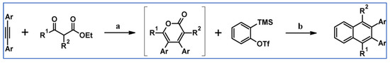
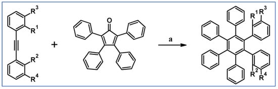
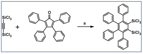
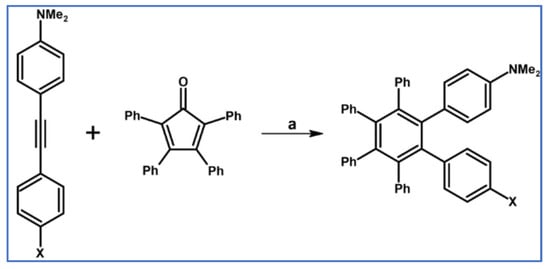
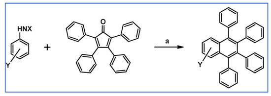
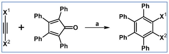
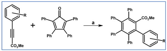
2.1.1. Cycloaddition of Cyclopentadienones and Monoynes
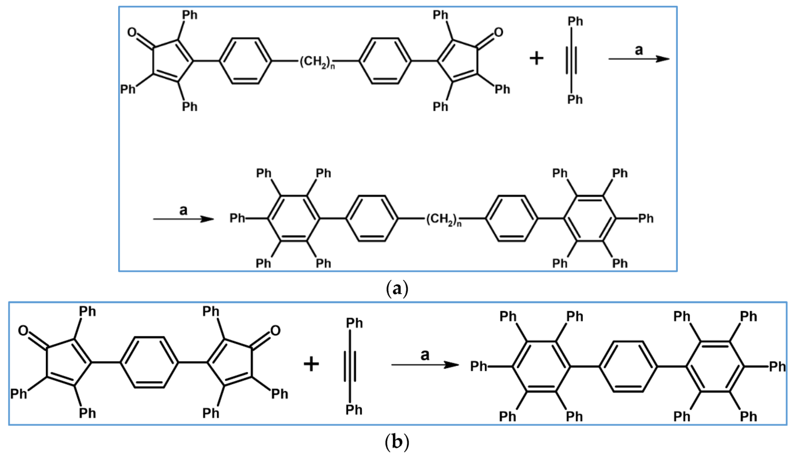
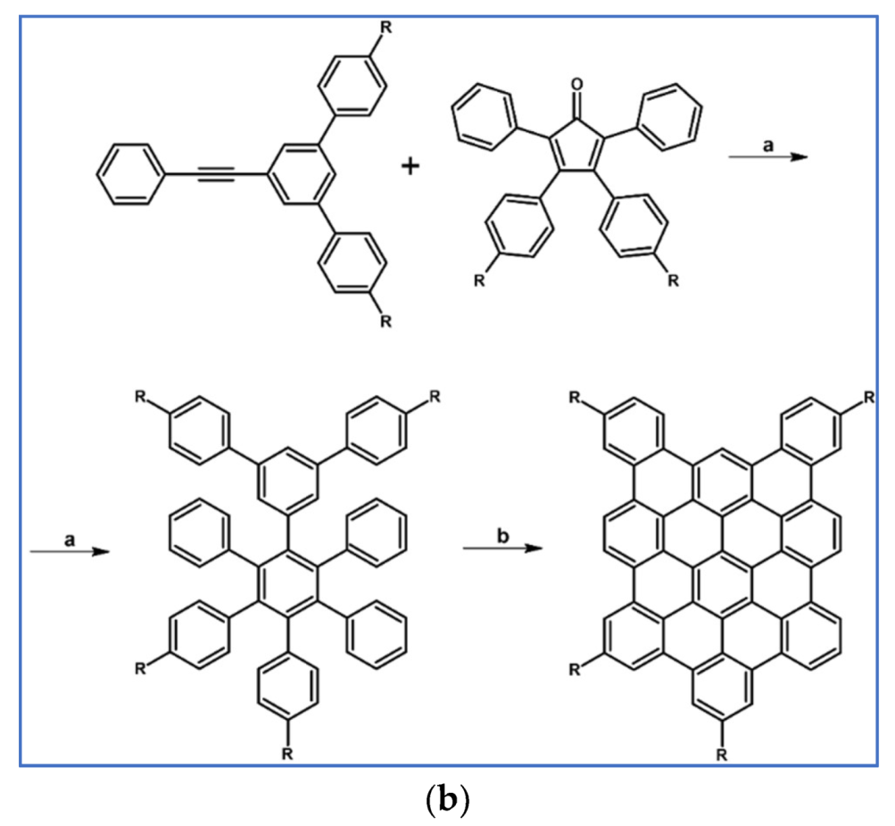
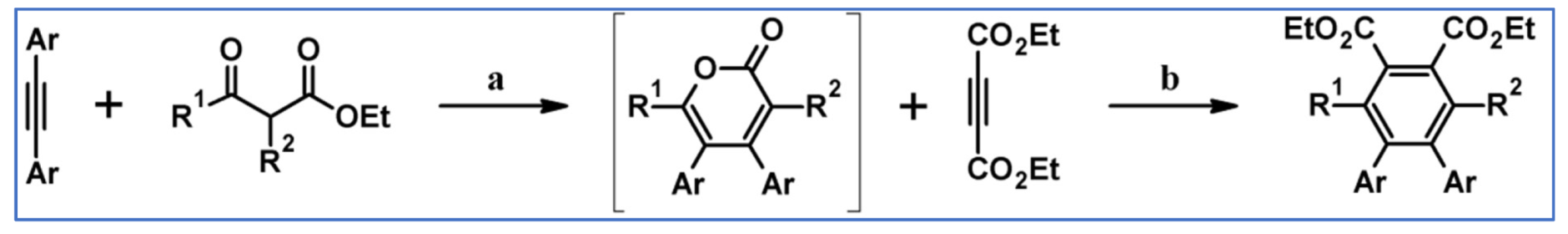
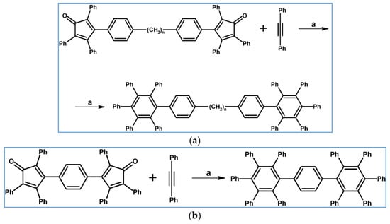
2.1.2. Cycloaddition of Cyclopentadienones and Diynes
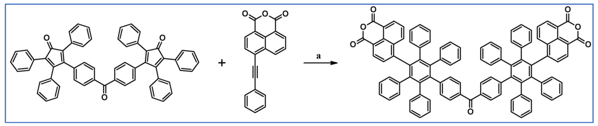
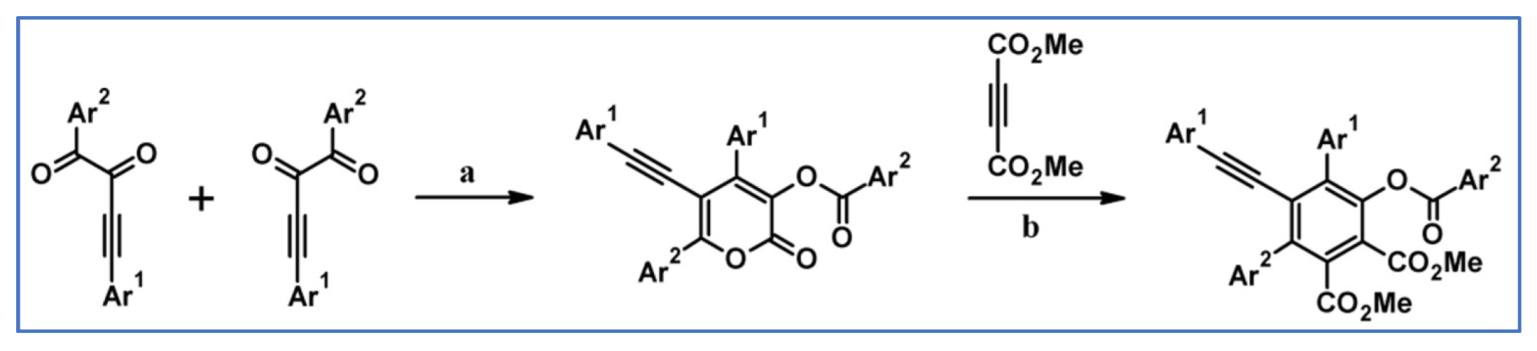
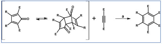
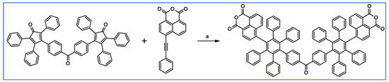
2.1.3. Cycloaddition of Cyclopentadienones and Dienophiles with Multiple Triple Bonds
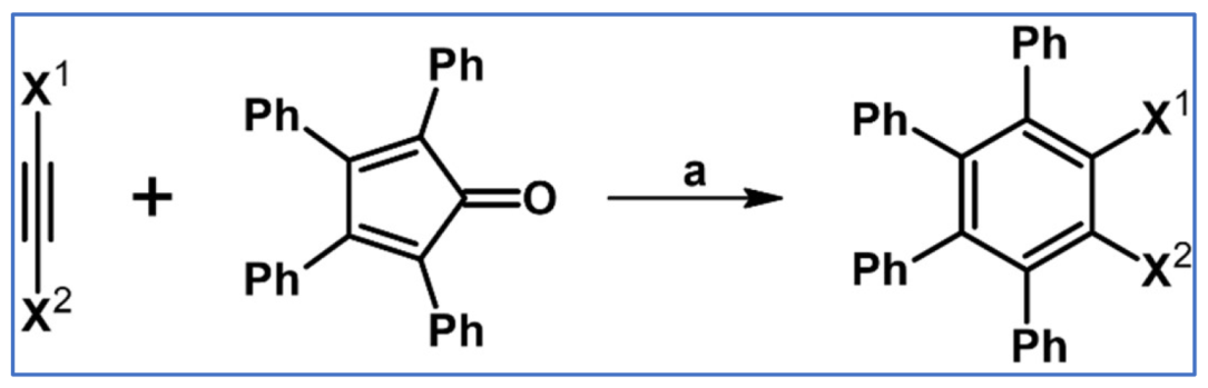
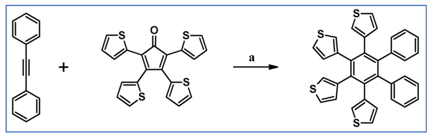
2.1.4. Cycloaddition of Cyclopentadienones and Mixed Acetylenes
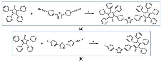
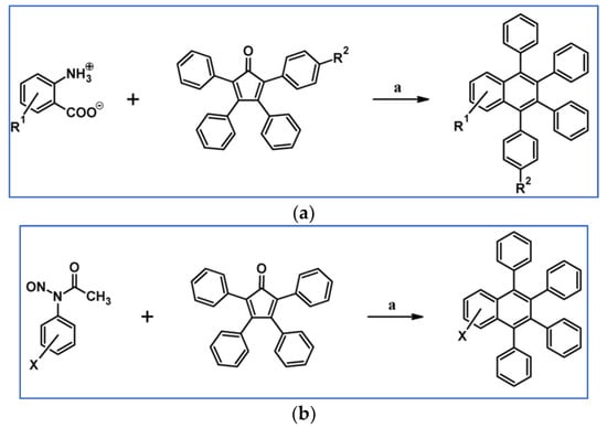
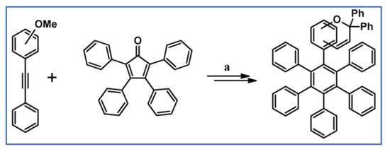
2.1.5. Cycloaddition of Cyclopentadienones and Non-Acetylenic Dienophiles
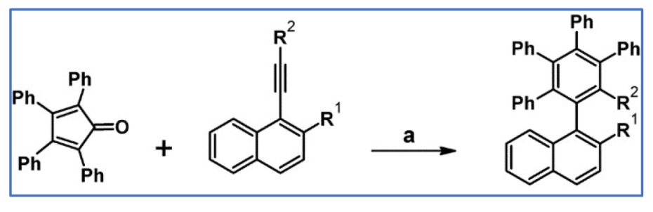
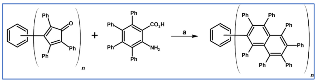
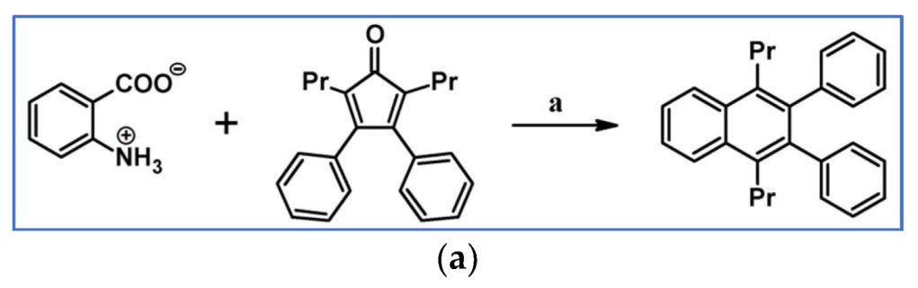
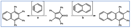
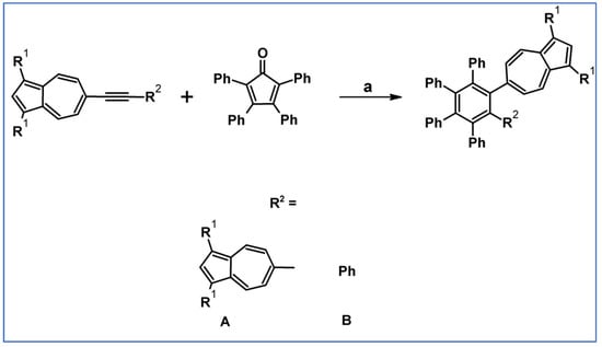
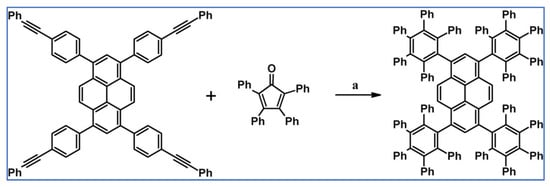
2.2. Cyclopentadienones for the Multisubstituted Naphthalene System Formation
3. 2-Pyranones for the Multisubstituted Benzene Ring and Naphthalene System Formation/Creation
3.1. 2-Pyranones for the Multisubstituted Benzene Ring Formation
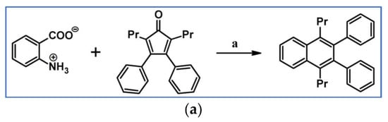
3.2. 2-Pyranones for the Multisubstituted Naphthalene System Formation/Creation
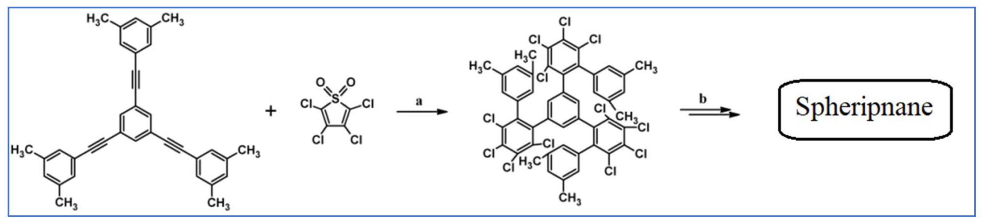
4. 1,1-. Dioxothiophene for the Benzene and Naphthalene Ring Formation
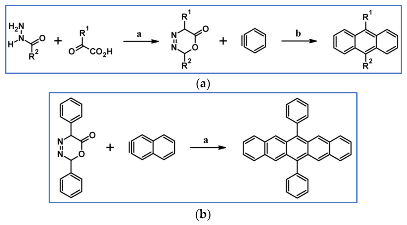
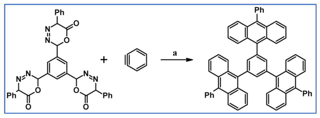
5. 1,2-. Diazines and 1,2,4,5-Tetrazines for the Benzene Ring Formation
6. Conclusions
- Unwrapped HBC derivative forming a stable columnar liquid crystalline mesophase and characterized by good solution processability, long-range order, possessing the great potential to be an active component in organic electronic devices (Scheme 48).
- Ar5Ph-L-PhAr5 type and star-shaped hexarylbenzene derivatives belonging to donor-acceptor-donor type nanomaterials is characterized by antenna effect, high glass transition temperature, and efficient electroluminescence (Scheme 49).
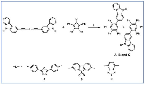
- Hexaphenylbenzene derivatives bearing diphenylamine or N-carbazole moieties have high triplet energy levels and were tested in blue organic electrophosphorescent devices, i.e., a blue OLED (Scheme 59). The device with a blue phosphorescent emitter, iridium(III) bis[(4,6-difluorophenyl)pyridinato-N,C2′]-picolinate, exhibit a high external quantum efficiency of 11% (24 cd/A) and a high power efficiency of 12 lm/W at 100 cd/m2.
- Sizeable colloidal graphene quantum dots with a uniform and tunable size through solution chemistry (Scheme 70). Above-mentioned quantum dots have significant extinction coefficients in a wide spectral range from UV to near-infrared and, thus, can serve as a new type of light-harvesting media for photovoltaics.
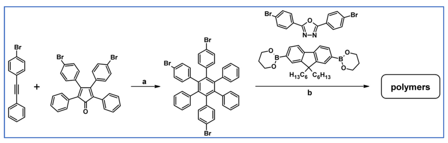
- Hyperbranched polymers containing HPB were characterized by good solubility in organic liquids, by film-forming ability and thermal stability, and by emitting pure, deep-blue light in a stable manner in air and at increased temperatures (Scheme 72). Two-layer PLED devices fabricated from the polymer mentioned above were promising as far as their electroluminescence, luminance efficiency, and brightness are concerned.
- Hybrid materials featuring the dipolar fragment 6H-indolo[2,3-b]quinoxaline were attached to the bulkier polyaromatic hydrocarbons such as fluoranthene, triphenylene, or polyphenylated benzene (Scheme 84). Optical, electrochemical, and other properties suggest that obtained compounds are promising electron-transporting and emitting materials suitable for double layer organic light-emitting diodes.
- Free-base porphyrin with two HBC moieties and its Zn2+ derivative was obtained (Scheme 108). Due to the substantial electron transfer between the two chromophores, HBC-porphyrin conjugate exhibits excellent absorption and emission, making it a potential building block for carbon-rich supramolecular functional architectures in the field of organic electronics.
- Attractive for OFET polymeric-PAHs possessing t-butyl peripheral groups were obtained (Scheme 129). The obtained polymeric PAHs (before Scholl reaction) were characterized by increasing degree of planarity and decreasing bandgaps, varied weight-average molecular weights, and intermolecular π–π-stacking. As far as polymers after Scholl dehydrocondensation are concerned, the differences between bandgaps and oxidation onset increase.
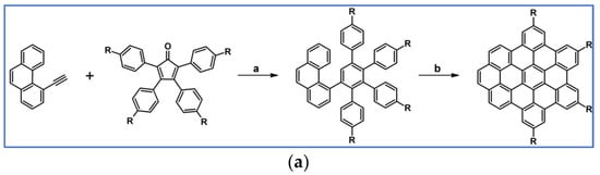
- The APEX-bottom-up strategy application in the synthetic route leads/led to a carbon nanoring-shaped-nanographene containing four HBC moieties equipped with mesityl-peripheral groups (Scheme 130). The obtained large π-expanded [4]HBC was characterized by unique photophysical properties, especially by forming a 1:1 host-guest complex with fullerene C70.
- Luminescent HBC derivatives equipped with donor and acceptor motifs were synthesized (Scheme 134). The obtained functionalized nanographene is characterized by significant dipole moment, remarkable solvatochromic emission and high fluorescence quantum yield, atypical as far as other HBCs is concerned. Due to the properties mentioned above, the obtained compound can be attractive for optoelectronics.
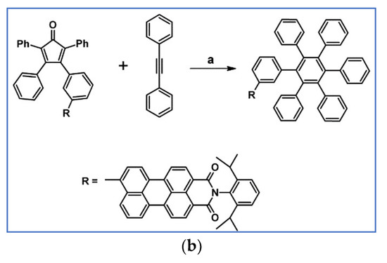
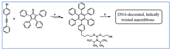
- Attractive optoelectronics HBCs bearing alkyl chain-DNA fragment were reported (Scheme 135). The presence of both hydrophobic and amphiphilic fragments results in powerful self-assembly ability and finally leads to 2D micrometre-size sheets. Amphiphilic properties of DNA fragment mainly drive sheet creation, but π-stacking of HBC fragments and van der Waals interaction between alkyl chains are also important for photophysical properties.
- The synthesis of a distorted carbonyl group and t-butyl end-groups containing ribbon-shaped nanographene was reported (Scheme 138). This nanomaterial is characterized by extraordinary properties, namely: two-photon absorption-based up-conversion, circularly polarized luminescence, and long emission lifetime.
- Indeno[2,1-c]fluorene-based with a narrow full width strong blue fluorescent oligomers and polymers were synthesized for UV light-emitting devices (Scheme 141).
- Syntheses of porphyrin bearing two Ph5Ph or two HBC motifs and their Zn-complexes (Scheme 155). The obtained nanomaterials are characterized by intense and long-distant electronic communication and a small HOMO–LUMO gap. Due to the above-mentioned advantages, such porphyrins are attractive for light-harvesting and charge transport in optoelectronic devices.
- The family of distorted ribbon-shaped nanographenes is characterized by non-linear optical properties (Scheme 188). The idea of introducing distortions on nanographenes in a well-defined manner is a viable molecular engineering strategy to tune their properties for optoelectronic devices.
- Three-dimensional non-planar perylene bisimide derivative (PBI-derivative) with fluorinated shell was obtained (Scheme 196). Thanks to their properties, namely high luminescent quantum yield, excellent amorphous and thermal stability, and electrochemical features, the obtained compound can be qualified as a potential multifunctional material, i.e., n-type red emitter for non-doped OLEDs and electron acceptor for solar cells.
- A thieno-[3,4-b]-pyrazine derivative bearing four –C6H4–C6H(2,3,4,5–C6F5)4 groups Scheme 199. These groups perform several important functions: ensure good thermal stability, significant Stokes shift, prevent emission quenching, and facilitate electron injection. Due to the above-mentioned advantages, the commented compound is an attractive OLED material characterized by red electroluminescence and good brightness and luminance.
- Atomically precise bottom-up synthesized graphene nanoribbons (GNRs) are considered promising candidates for next-generation electronic materials (Scheme 207). Cutting-edge synthetic tools applied in this procedure allowed to fully control the implementation of the obtained semiconductors into devices characterized by complex architectures. Controlling or tuning the size, sequence of structural elements, types of end-groups, and hierarchical assemblies turned out to be essential. Moreover, using a copolymer templating strategy will enable integration leading to well-defined heterojunctions and single-graphene nanoribbons transistors.
- Application of bottom-up strategy for syntheses of attractive for OLED technology, flat nanographenes equipped with peripheral groups thanks to such picket-fence-type substituents exhibit almost the same emissive properties both in solid state and solution (Scheme 220). Importantly, the steric effect of peripheral groups plays a crucial role in reducing aggregation, narrowing EL band, increasing emission in the solid state.
- An N-doped oligophenylene derivative aggregates can act as reactors and stabilizers for the generation of palladium nanoparticles in the Sonogashira coupling under aerial conditions, at room temperature (Scheme 117).
- HBCs bearing DNA fragment attached through C4-alkyl chain were reported (Scheme 135). The presence of both hydrophobic and amphiphilic fragments results in powerful self-assembly ability and finally leads to 2D micrometre-size sheets. Amphiphilic properties of DNA fragments mainly drive sheet creation, but π-stacking of HBC fragments are also important for applaying in biocatalysis.
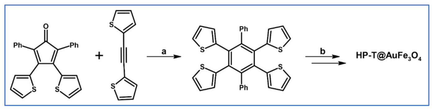
- Preparation of Au-Fe3O4 containing nanocomposites encapsulated inside AIE-active, supramolecular, porous hetero-oligophenylene nanomaterial (Scheme 150). This precursor was utilized to develop photo-active, easily separated, and reusable catalysts for aniline reactions with propiolate, leading to quinoline or aminoacrylate derivatives in mild and eco-friendly conditions. AIE activity of supporting material (for Au-Fe3O4) plays a crucial role in the significant increase in the efficiency of the photocatalytic system.
- Reusable, highly active in mild, aerial conditions and visible light irradiation supramolecular catalytic system (HP-T@Au-Fe3O4) for Kumada cross-coupling and Heck reaction, containing magnetic Fe3O4 (Scheme 159).
- AIEE active hexarylbenzene derivative forms fluorescent aggregates in aqueous media (Scheme 176). The obtained aggregates are applied as reactors and stabilizers to prepare in situ generated copper nanoparticles (CuNPs). The CuNPs served as effective catalysts for the alkyl–azide ‘click’ reactions to synthesize 1,2,3-triazoles could be recycled and reused five times without substantial loss of their catalytic activity.
- A new class of polyaromatic heterocycles is characterized by tunable emission from the neutral and protonated form in the wide visible spectrum range. Therefore, they are interesting, i.e., as fluorophores for bioimaging.
- Promisingly for molecular recognition, HBCs bearing DNA fragment attached through C4-alkyl chain were reported (Scheme 135). The presence of both hydrophobic and amphiphilic fragments results in powerful self-assembly ability and finally leads to 2D micrometre-size sheets. Amphiphilic properties of DNA fragment mainly drive sheet creation, but π-stacking of HBC fragments and van der Waals interaction between alkyl chains are also important and decisive as far as application for molecular recognition.
- Imidazolium-based amphiphilic hexa-peri-hexabenzocoronenes are characterized by ordered columnar self-assembly in solid and solution, leading to well-defined nanofibers (Scheme 61). Due to the above-mentioned phenomena, one should expect that those nanofibers will exhibit satisfying ion conductivity and charge mobility.
- Penta- and hexaarylbenzenes equipped with specific chromophores exhibit AIE (Scheme 88). Both compounds were envisioned as perfect selective sensors for TNT in solution, solid, and vapour state (at the picogram level).
- N-doped, hetero-oligophenylene easily create aggregates, which in H2O + THF solution exhibits the AIEE phenomenon (Scheme 93). These aggregates can be used as a selective biological probe for particular proteins and the selective indication of some metal ions.
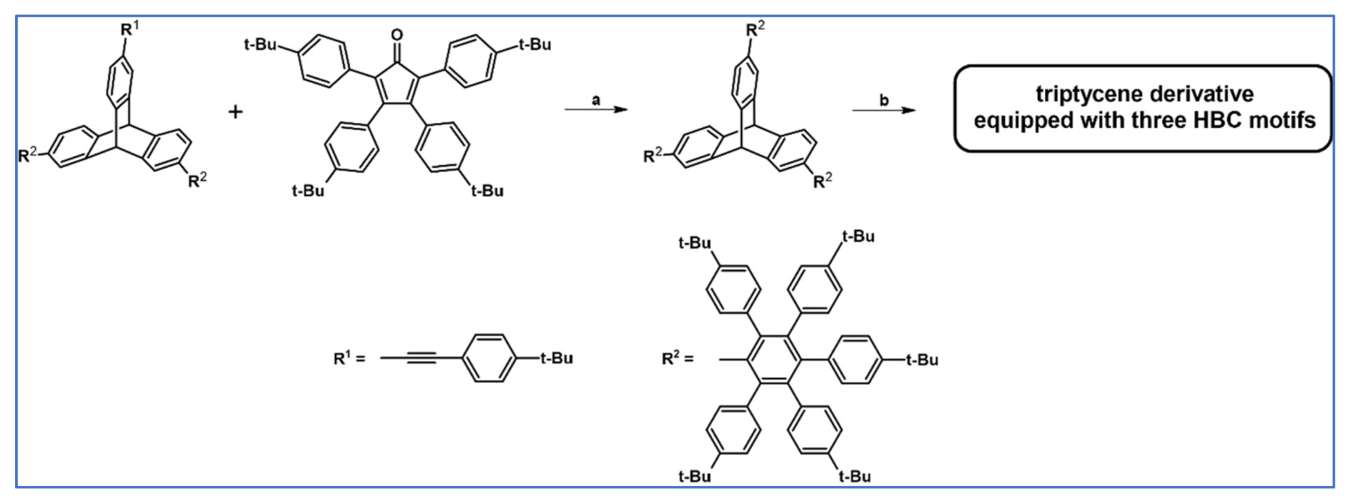
- A tripticene derivative possessing three HBC motifs constitute an example of 3D nanographene (Scheme 96). After appropriate functionalization, it can be used as an in vivo and in vitro bioimaging agent characterized by low toxicity and good anti-photobleaching properties.
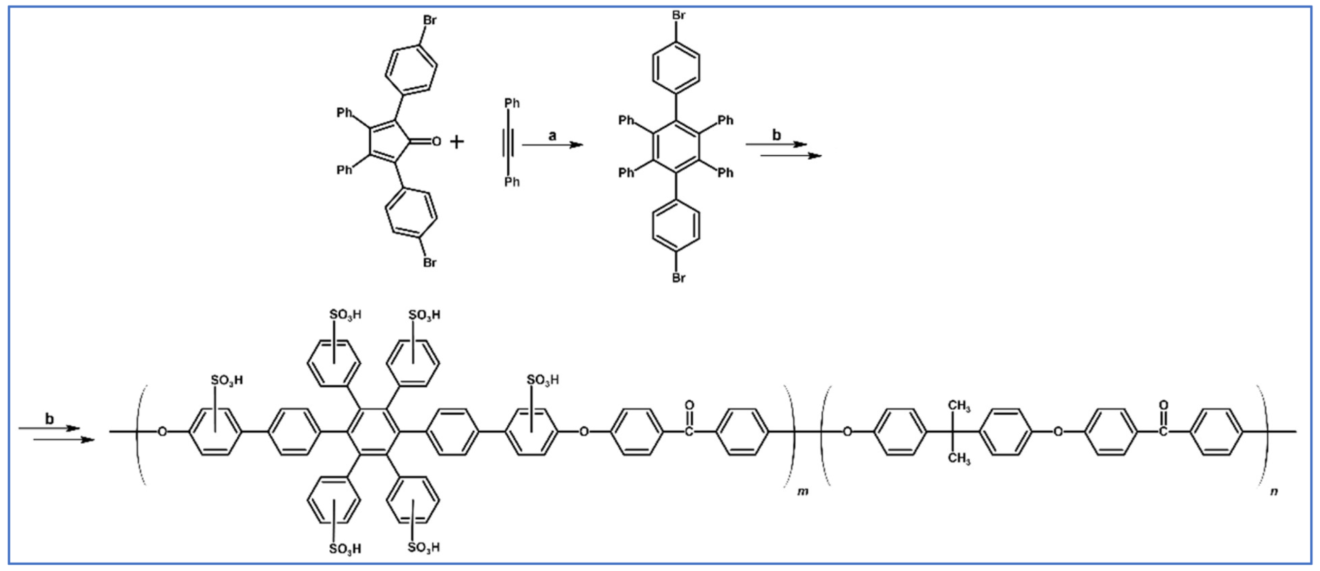
- Sterically encumbered sulfonated, poly(arylene ether) copolymers were prepared for membranes manufacturing (Scheme 111). The membranes parameters are as follows: (a) ion exchange capacities: 1.9 to 2.7 mmol/g; (b) proton conductivities: 0.24 to 16 mS/cm at 80 °C/60% RH, and 3 to 167 mS/cm at 80 °C/95% RH; excellent mechanical strength.
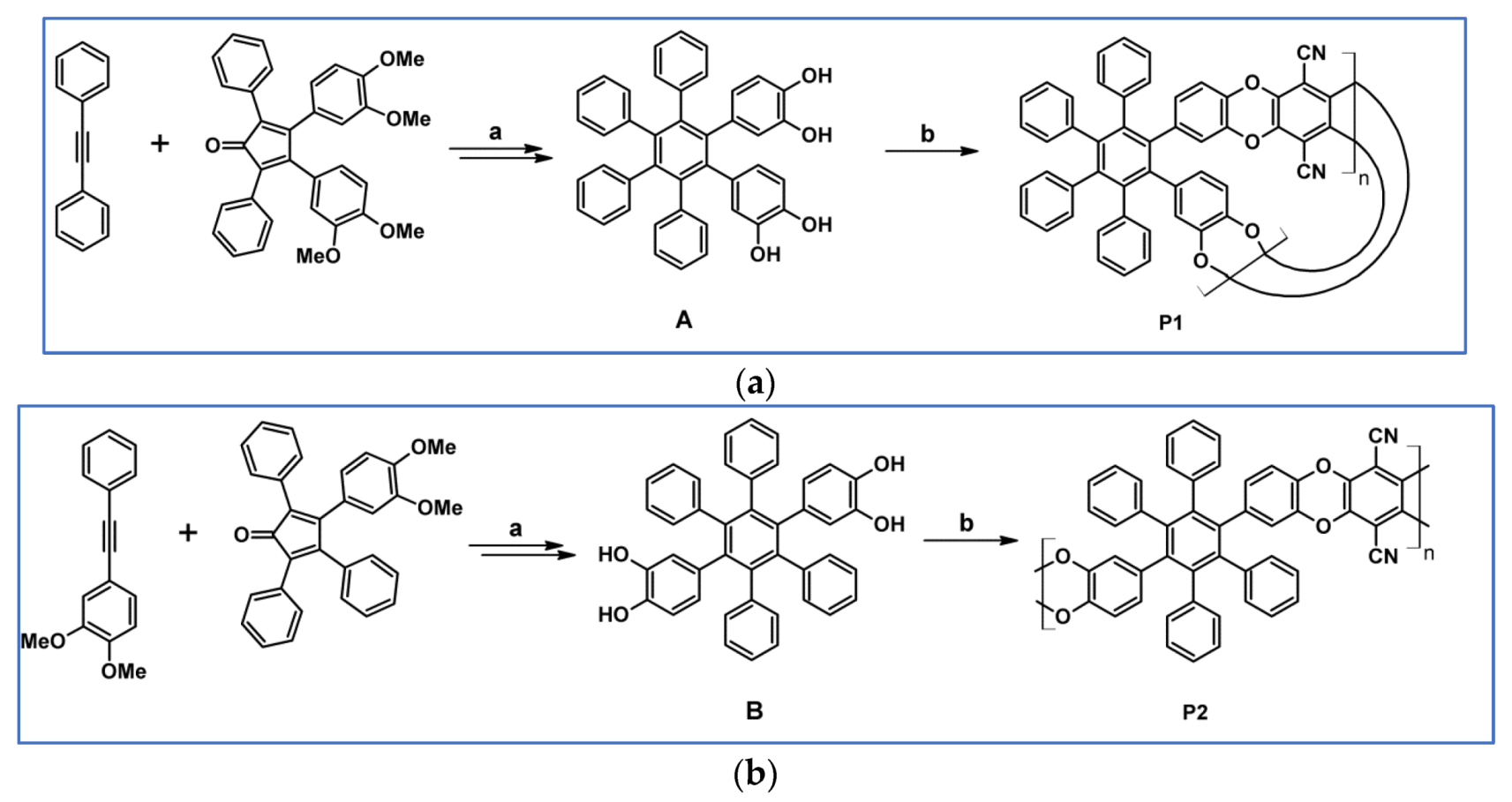
- HPB-based polymers is characterized by intrinsic microporosity with methyl, bromine, and nitrile substituents (Scheme 112). Modifying polymer structures by introducing the polar groups allows effective tuning of membrane properties. In particular, it increases the selectivity towards specific gases, especially carbon dioxide.
- N-doped heterooligophenylene possessing carbazole and 2-pirydyl moieties can act as the super-effective threonine detectors in aqueous solution and the presence of Zn2+ ions (Scheme 115).
- The derivative of HPB bearing two imine-quinoline motifs can selectively complex Zn2+ ions (Scheme 127). This ligand exhibits aggregation-induced emission enhancement (AIEE) characteristics and undergoes fluorescence enhancement in the presence of only Zn2+ ions in aqueous media. Significantly, the in situ synthesized Ligand–Zn2+ combination was employed as a valuable tool for selective detection of pyrophosphate ions in aqueous media.
- The syntheses of HBC with two permethylated-β-cyclodextrin moieties were executed (Scheme 131). Self-assembly of this molecule is characterized by a specific fluorescence response as far as exploders are concerned. Detection of 2,4,6-trinitrophenol can be reached at 306 and 2 ppb in solution and on the test paper, respectively, what seems to meet practical requirements of exploder detectors.
- Hexabenzoperylenes possessing special peripheral groups exhibit semiconductivity (Scheme 137). This nanomaterial is charecterized by the ability to π-stacking and are attractive as a supramolecular platform for sensing applications. Such HBPs used in devices integrating an OFET channel and a microfluidic channel enable the detection of diverse chemical and biological objects.
- Methyl acetate functionalized HBP (hexabenzoperylene) self-assembles into a π-stacked supramolecular nanosheet (Scheme 152). Such active ester-functionalized HBP could be used for manufacturing analytical devices for effective differentiation between primary, secondary, and tertiary amines in water solutions.
7. Remaining Challenges
Author Contributions
Funding
Acknowledgments
Conflicts of Interest
Abbreviations
| A–D–A | Acceptor-Donor-Acceptor |
| AIE | aggregation-induced emission |
| AIEE | aggregation-induced emission enhancement |
| APEX | annulative π-extension |
| Bpin | bis(pinacolato)diboron |
| Bt | 2,2′ -bithiophene-5-yl group |
| CPME | cyclopentyl methyl ether |
| CuNPs | copper nanoparticles |
| CV | cyclic voltammetry |
| DA | Diels–Alder |
| DAC | Diels–Alder cycloaddition |
| D–A–D | donor-acceptor-donor |
| DAT | 2,4-diamino-1,3,5-triazin-6-yl |
| DBTF | dibromoterfluorene |
| DDQ | 2,3-dichloro-5,6-dicyano-1,4-benzoquinone |
| DFT | density functional theory |
| DMC | dimethyl carbonate |
| DNA | deoxyribonucleic acid |
| DPhA | decaphenylphenanthrene |
| DSSC | dye-sensitized solar cell |
| EA | electron acceptor |
| ED | electron donor |
| EDG | electron-donating group |
| EL | electroluminescence |
| EQE | external quantum efficiency |
| EWG | electron-withdrawing group |
| FHBC | fluorenylhexabenzocoronene |
| FMO | frontier molecular orbital |
| FWHM | full width at half maximum |
| GNR | graphene nanoribbon |
| HAB | hexaarylbenzene |
| HBC | hexabenzocoronene |
| HBP | hexabenzoperylene |
| HEHBC | heptagon-embedded hexabenzocoronene |
| HOMO | highest occupied molecular orbital |
| HPB | hexaphenylbenzene |
| HPLC | high-performance liquid chromatography |
| L | ligand |
| LUMO | lowest unoccupied molecular orbital |
| m-CPBA | meta-chloroperoxybenzoic acid |
| MDM | molecular dipole moment |
| MOF | metal-organic framework |
| MW | microwaves |
| NBS | n-bromosuccinimide |
| NG | nanographene |
| NHC | N-heterocyclic |
| NLO | nonlinear optical |
| NMR | nuclear magnetic resonance |
| NP | nanoparticle |
| OFET | organic field-effect transistor |
| OLED | organic light-emitting diode |
| PAH | polycyclic aromatic hydrocarbon |
| PBI | perylene bisimide |
| Pc | phthalocyanine |
| PEG | poly(ethylene glycol) |
| PLED | polymer organic light-emitting diode |
| PMCD | permethylated-β-cyclodextrin |
| RH | relative humidity |
| ROMP | ring-opening metathesis polymerization |
| SBQ | superbenzoquinone |
| SubPc | boron subphthalocyanine |
| TADF | thermally activated delayed fluorescence |
| TBTQ | tribenzotriquinacene |
| TFT | thin-film transistor |
| THF | tetrahydrofuran |
| TIPS | triisopropylsilyl group |
| TMS | trimethylosilyl group |
| TNT | trinitrotoluene |
| tpy | 2,2′:6′,2′′-terpyridine |
| TSCT | through-space charge transfer |
| UV | ultraviolet |
References
- Murata, C.M.; Wakamiya, A.; Murata, Y. Unsymmetric Twofold Scholl Cyclization of a 5,11-Dinaphthyltetracene: Selective Formation of Pentagonal and Hexagonal Rings via Dicationic Intermediates. Angew. Chem. Int. Ed. 2017, 56, 5082–5086. [Google Scholar]
- Grzybowski, M.; Skonieczny, K.; Butenschön, H.; Gryko, D.T. Comparison of Oxidative Aromatic Coupling and the Scholl Reaction. Angew. Chem. Int. Ed. 2013, 52, 9900–9930. [Google Scholar] [CrossRef]
- Wu, J.; Pisula, W.; Müllen, K. Graphenes as Potential Material for Electronics. Chem. Rev. 2007, 107, 718–747. [Google Scholar] [CrossRef]
- Żyła-Karwowska, M.; Zhylitskaya, H.; Cybińska, J.; Lis, T.; Chmielewski, P.J.; Stępień, M. An Electron-Deficient Azacoronene Obtained by Radial π Extension. Angew. Chem. Int. Ed. 2016, 55, 14658–14662. [Google Scholar] [CrossRef] [PubMed]
- Little, M.S.; Yeates, S.G.; Alwattar, A.A.; Heard, K.W.J.; Raftery, J.; Edwards, A.C.; Parry, A.V.S.; Quayle, P. Insights into the Scholl Coupling Reaction: A Key Transformation of Relevance to the Synthesis of Graphenes and Related Systems. Eur. J. Org. Chem. 2017, 2017, 1694–1703. [Google Scholar] [CrossRef]
- Stępień, M.; Gońska, E.; Żyła, M.; Sprutta, N. Heterocyclic Nanographenes and Other Polycyclic Heteroaromatic Compounds: Synthetic Routes, Properties, and Applications. Chem. Rev. 2017, 117, 3479–3716. [Google Scholar] [CrossRef]
- Zhai, L.; Shukla, R.; Wadumethrige, S.H.; Rathore, R. Probing the Arenium-Ion (ProtonTransfer) versus the Cation-Radical (Electron Transfer) Mechanism of Scholl Reaction Using DDQ as Oxidant. J. Org. Chem. 2010, 75, 4748–4760. [Google Scholar] [CrossRef]
- King, B.T.; Kroulík, J.; Robertson, C.R.; Rempala, R.; Hilton, C.L.; Korinek, J.D.; Gortari, L.M. Controlling the Scholl Reaction. J. Org. Chem. 2007, 72, 2279–2288. [Google Scholar] [CrossRef]
- Hackelöer, K.; Schnakenburg, G.; Waldvogel, S.R. Oxidative Coupling Reactions of 1,3-Diarylpropene Derivatives to Dibenzo[a,c]cycloheptenes by PIFA. Eur. J. Org. Chem. 2011, 2011, 6314–6319. [Google Scholar] [CrossRef]
- Watson, M.D.; Fechtenkötter, A.; Müllen, K. Big Is Beautiful—“Aromaticity” Revisited from the Viewpoint of Macromolecular and Supramolecular Benzene Chemistry. Chem. Rev. 2001, 101, 1267–1300. [Google Scholar] [CrossRef]
- Zou, Y.; Han, Y.; Wu, S.; Hou, X.; Chow, C.H.E.; Wu, J. Scholl Reaction of Perylene-Based Polyphenylene Precursors under Different Conditions: Formation of Hexagon or Octagon? Angew. Chem. Int. Ed. 2021, 60, 2–12. [Google Scholar] [CrossRef] [PubMed]
- Grzybowski, M.; Sadowski, B.; Butenschön, H.; Gryko, D.T. Synthetic applications of oxidative aromatic coupling—From biphenols to nanographenes. Angew. Chem. Int. Ed. 2020, 59, 2998–3027. [Google Scholar] [CrossRef] [PubMed]
- Reger, D.; Schöll, K.; Hampel, F.; Maid, H.; Jux, N. Pyridinic Nanographenes by Novel Precursor Design. Chem. Eur. J. 2021, 27, 1984–1989. [Google Scholar] [CrossRef] [PubMed]
- Chen, Z.; Wang, H.I.; Teyssandier, J.; Mali, K.S.; Dumslaff, T.; Ivanov, I.; Zhang, W.; Ruffieux, P.; Fasel, R.; Räder, H.J.; et al. Chemical Vapor Deposition Synthesis and Terahertz Photoconductivity of Low-Band-Gap N = 9 Armchair Graphene Nanoribbons. J. Am. Chem. Soc. 2017, 139, 3635–3638. [Google Scholar] [CrossRef] [PubMed]
- Zhou, F.; Huang, H.; Xiao, C.; Zheng, S.; Shi, X.; Qin, J.; Fu, Q.; Bao, X.; Feng, X.; Müllen, K.; et al. Electrochemically Scalable Production of Fluorine-Modified Graphene for Flexible and High-Energy Ionogel-Based Microsupercapacitors. J. Am. Chem. Soc. 2018, 140, 8198–8205. [Google Scholar] [CrossRef]
- Koga, Y.; Kaneda, T.; Saito, Y.; Murakami, K.; Itami, K. Synthesis of partially and fully fused polyaromatics by annulative chlorophenylene dimerization. Science 2018, 359, 435–439. [Google Scholar] [CrossRef]
- Lv, L.; Roberts, J.; Xiao, C.; Jia, Z.; Jiang, W.; Zhang, G.; Risko, C.; Zhang, L. Triperyleno[3,3,3]propellane triimides: Achieving a new generation of quasi-D3h symmetric nanostructures in organic electronics. Chem. Sci. 2019, 10, 4951–4958. [Google Scholar] [CrossRef]
- Narita, A.; Chen, Z.; Chen, Q.; Müllen, K. Solution and on-surface synthesis of structurally defined graphene nanoribbons as a new family of semiconductors. Chem. Sci. 2019, 10, 964–975. [Google Scholar] [CrossRef]
- Kato, K.; Lin, H.-A.; Kuwayama, M.; Nagase, M.; Segawa, Y.; Scott, L.T.; Itami, K. Two-step synthesis of a red-emissive warped nanographene derivative via a ten-fold C–H borylation. Chem. Sci. 2019, 10, 9038–9041. [Google Scholar] [CrossRef]
- Liu, X.; Chen, S.-Y.; Chen, Q.; Yao, X.; Gelléri, M.; Ritz, S.; Kumar, S.; Cremer, C.; Landfester, K.; Müllen, K.; et al. Nanographenes: Ultrastable, Switchable, and Bright Probes for Super-Resolution Microscopy. Angew. Chem. Int. Ed. 2020, 59, 496–502. [Google Scholar] [CrossRef] [PubMed]
- Jin, E.; Yang, Q.; Ju, C.-W.; Chen, Q.; Landfester, K.; Bonn, M.; Müllen, K.; Liu, X.; Narita, A. A Highly Luminescent Nitrogen-Doped Nanographene as an Acid- and Metal-Sensitive Fluorophore for Optical Imaging. J. Am. Chem. Soc. 2021, 143, 10403–10412. [Google Scholar] [CrossRef]
- Qiu, Z.; Narita, A.; Müllen, K. Carbon nanostructures by macromolecular design—From branched polyphenylenes to nanographenes and graphene nanoribbons. Faraday Discuss. 2021, 227, 8–45. [Google Scholar] [CrossRef]
- Castro-Fernández, S.; Cruz, C.M.; Mariz, I.F.A.; Márquez, I.R.; Jiménez, V.G.; Palomino-Ruiz, L.; Cuerva, J.M.; Maçôas, E.; Campaña, A.G. Two-Photon Absorption Enhancement by the Inclusion of a Tropone Ring in Distorted Nanographene Ribbons. Angew. Chem. Int. Ed. 2020, 59, 7139–7145. [Google Scholar] [CrossRef]
- Kato, K.; Takaba, K.; Maki-Yonekura, S.; Mitoma, N.; Nakanishi, Y.; Nishihara, T.; Hatakeyama, T.; Kawada, T.; Hijikata, Y.; Pirillo, J.; et al. Double-Helix Supramolecular Nanofibers Assembled from Negatively Curved Nanographenes. J. Am. Chem. Soc. 2021, 143, 5465–5469. [Google Scholar] [CrossRef] [PubMed]
- Zhang, Y.; Zhu, Y.; Lan, D.; Pun, S.H.; Zhou, Z.; Wei, Z.; Wang, Y.; Lee, H.K.; Lin, C.; Wang, J.; et al. Charging a Negatively Curved Nanographene and Its Covalent Network. J. Am. Chem. Soc. 2021, 143, 5231–5238. [Google Scholar] [CrossRef]
- Qiu, Z.; Asako, S.; Hu, Y.; Ju, C.-W.; Liu, T.; Rondin, L.; Schollmeyer, D.; Lauret, J.-S.; Müllen, K.; Narita, A. Negatively Curved Nanographene with Heptagonal and [5]Helicene Units. J. Am. Chem. Soc. 2020, 142, 14814–14819. [Google Scholar] [CrossRef] [PubMed]
- Medel, M.A.; Tapia, R.; Blanco, V.; Miguel, D.; Morcillo, S.P.; Campaña, A.G. Octagon-Embedded Carbohelicene as a Chiral Motif for Circularly Polarized Luminescence Emission of Saddle-Helix Nanographenes. Angew. Chem. 2021, 133, 6159–6165. [Google Scholar] [CrossRef]
- Wang, X.-Y.; Yao, X.; Narita, A.; Müllen, K. Heteroatom-Doped Nanographenes with Structural Precision. Acc. Chem. Res. 2019, 52, 2491–2505. [Google Scholar] [CrossRef]
- Suresh, S.M.; Hall, D.; Beljonne, D.; Olivier, Y.; Zysman-Colman, E. Multiresonant Thermally Activated Delayed Fluorescence Emitters Based on Heteroatom-Doped Nanographenes: Recent Advances and Prospects for Organic Light-Emitting Diodes. Adv. Funct. Mater. 2020, 30, 1908677. [Google Scholar] [CrossRef]
- Ando, N.; Yamada, T.; Narita, H.; Oehlmann, N.N.; Wagner, M.; Yamaguchi, S. Boron-Doped Polycyclic π-Electron Systems with an Antiaromatic Borole Substructure That Forms Photoresponsive B–P Lewis Adducts. J. Am. Chem. Soc. 2021, 143, 9944–9951. [Google Scholar] [CrossRef]
- Wu, Y.-T.; Siegel, J.S. Aromatic Molecular-Bowl Hydrocarbons: Synthetic Derivatives, Their Structures, and Physical Properties. Chem. Rev. 2006, 106, 4843–4867. [Google Scholar] [CrossRef]
- Juríček, M.; Strutt, N.L.; Barnes, J.C.; Butterfield, A.M.; Dale, E.J.; Baldridge, K.K.; Stoddart, J.F.; Siegel, J.S. Induced-fit catalysis of corannulene bowl-to-bowl inversion. Nat. Chem. 2014, 6, 222–228. [Google Scholar] [CrossRef] [PubMed]
- Ball, M.; Zhong, Y.; Wu, Y.; Schenck, C.; Ng, F.; Steigerwald, M.; Xiao, S.; Nuckolls, C. Contorted Polycyclic Aromatics. Acc. Chem. Res. 2015, 48, 267–276. [Google Scholar] [CrossRef] [PubMed]
- Wang, C.; Qiao, G.-Y.; Qin, J.-S.; Yu, J. Discrete nanographene implanted in zirconium metal-organic framework for electrochemical energy storage. J. Solid State Chem. 2020, 287, 121377. [Google Scholar] [CrossRef]
- Pun, S.H.; Miao, Q. Toward Negatively Curved Carbons. Acc. Chem. Res. 2018, 51, 1630–1642. [Google Scholar] [CrossRef] [PubMed]
- Schuster, N.J.; Sánchez, R.H.; Bukharina, D.; Kotov, N.A.; Berova, N.; Ng, F.; Steigerwald, M.L.; Nuckolls, C. A Helicene Nanoribbon with Greatly Amplified Chirality. J. Am. Chem. Soc. 2018, 140, 6235–6239. [Google Scholar] [CrossRef]
- Fan, W.; Winands, T.; Doltsinis, N.L.; Li, Y.; Wang, Z. A Decatwistacene with an Overall 170° Torsion. Angew. Chem. Int. Ed. 2017, 56, 15373–15377. [Google Scholar] [CrossRef]
- Liu, G.; Koch, T.; Li, Y.; Doltsinis, N.L.; Wang, Z. Nanographene Imides Featuring Dual-Core Sixfold [5]Helicenes. Angew. Chem. Int. Ed. 2019, 58, 178–183. [Google Scholar] [CrossRef]
- Wang, Y.; Yin, Z.; Zhu, Y.; Gu, J.; Li, Y.; Wang, J. Hexapole [9]Helicene. Angew. Chem. Int. Ed. 2019, 58, 587–591. [Google Scholar] [CrossRef]
- Meng, D.; Liu, G.; Xiao, C.; Shi, Y.; Zhang, L.; Jiang, L.; Baldridge, K.K.; Li, Y.; Siegel, J.S.; Wang, Z. Corannurylene Pentapetalae. J. Am. Chem. Soc. 2019, 141, 5402–5408. [Google Scholar] [CrossRef]
- Coroş, M.; Pruneanu, S.; Stefan-van Staden, R.-I. Review—Recent Progress in the Graphene-Based Electrochemical Sensors and Biosensors. J. Electrochem. Soc. 2020, 167. [Google Scholar] [CrossRef]
- Pal, K.; Asthana, N.; Aljabali, A.A.; Bhardwaj, S.K.; Kralj, S.; Penkova, A.; Thomas, S.; Zaheer, T.; Gomes de Souza, F. A critical review on multifunctional smart materials ‘nanographene’ emerging avenue: Nano-imaging and biosensor applications. Crit. Rev. Solid State Mater. 2021. [Google Scholar] [CrossRef]
- Matsuoka, W.; Ito, H.; Sarlah, D.; Itami, K. Diversity-oriented synthesis of nanographenes enabled by dearomative annulative π-extension. Nat. Commun. 2021, 12, 3940. [Google Scholar] [CrossRef] [PubMed]
- Zhang, Z.; Liang, L.; Deng, L.; Ren, L.; Zhao, N.; Huang, J.; Yu, Y.; Gao, P. Fused Dithienopicenocarbazole Enabling High Mobility Dopant-Free Hole-Transporting Polymers for Efficient and Stable Perovskite Solar Cells. ACS Appl. Mater. Interfaces 2021, 13, 6688–6698. [Google Scholar] [CrossRef] [PubMed]
- Haines, P.; Reger, D.; Träg, J.; Strauss, V.; Lungerich, D.; Zahn, D.; Jux, N.; Guldi, D.M. On the photophysics of nanographenes—Investigation of functionalized hexa-peri-hexabenzocoronenes as model systems. Nanoscale 2021, 13, 801–809. [Google Scholar] [CrossRef] [PubMed]
- Sasaki, Y.; Takase, M.; Kobayashi, N.; Mori, S.; Ohara, K.; Okujima, T.; Uno, H. Radially π-Extended Pyrrole-Fused Azacoronene: A Series of Crystal Structures of HPHAC with Various Oxidation States. J. Org. Chem. 2021, 86, 4290–4295. [Google Scholar] [CrossRef]
- Shen, C.; Zhang, G.; Ding, Y.; Yang, N.; Gan, F.; Crassous, J.; Qiu, H. Oxidative cyclo-rearrangement of helicenes into chiral nanographenes. Nat. Commun. 2021, 12, 2786. [Google Scholar] [CrossRef]
- Ðorđević, L.; Valentini, C.; Demitri, N.; Mézière, C.; Allain, M.; Sallé, M.; Folli, A.; Murphy, D.; Mañas-Valero, S.; Coronado, E.; et al. O-Doped Nanographenes: A Pyrano/Pyrylium Route Towards Semiconducting Cationic Mixed-Valence Complexes. Angew. Chem. Int. Ed. 2020, 59, 4106–4114. [Google Scholar] [CrossRef]
- Yang, M.; Park, I.S.; Yasuda, T. Full-Color, Narrowband, and High-Efficiency Electroluminescence from Boron and Carbazole Embedded Polycyclic Heteroaromatics. J. Am. Chem. Soc. 2020, 142, 19468–19472. [Google Scholar] [CrossRef]
- Dubey, R.K.; Melle-Franco, M.; Mateo-Alonso, A. Twisted Molecular Nanoribbons with up to 53 Linearly-Fused Rings. J. Am. Chem. Soc. 2021, 143, 6593–6600. [Google Scholar] [CrossRef]
- Ju, C.-W.; Li, B.; Li, L.; Yan, W.; Cui, C.; Ma, X.; Zhao, D. Modular Synthesis of Pentagonal and Hexagonal Ring-Fused NBN-Phenalenes Leading to an Excited-State Aromatization-Induced Structural Planarization Molecular Library. J. Am. Chem. Soc. 2021, 143, 5903–5916. [Google Scholar] [CrossRef] [PubMed]
- Matsumoto, K.; Onoda, A.; Kitano, T.; Sakata, T.; Yasuda, H.; Campidelli, S.; Hayashi, T. Thermally Controlled Construction of Fe–Nx Active Sites on the Edge of a Graphene Nanoribbon for an Electrocatalytic Oxygen Reduction Reaction. ACS Appl. Mater. Interfaces 2021, 13, 15101–15112. [Google Scholar] [CrossRef]
- Niu, W.; Fu, Y.; Komber, H.; Ma, J.; Feng, J.; Mai, Y.; Liu, J. Sulfur-Doped Nanographenes Containing Multiple Subhelicenes. Org. Lett. 2021, 23, 2069–2073. [Google Scholar] [CrossRef]
- Kurpanik, A.; Matussek, M.; Lodowski, P.; Szafraniec-Gorol, G.; Krompiec, M.; Krompiec, S. Diels–Alder Cycloaddition to the Bay Region of Perylene and Its Derivatives as an Attractive Strategy for PAH Core Expansion: Theoretical and Practical Aspects. Molecules 2020, 25, 5373. [Google Scholar] [CrossRef]
- Kurpanik, A.; Matussek, M.; Szafraniec-Gorol, G.; Filapek, M.; Lodowski, P.; Marcol-Szumilas, B.; Ignasiak, W.; Małecki, J.G.; Machura, B.; Małecka, M.; et al. APEX strategy represented by Diels-Alder cycloadditions—New opportunities for the syntheses of functionalised PAHs. Chem. Eur. J. 2020, 26, 12150–12157. [Google Scholar] [CrossRef]
- Allen, C.F.H.; Scheps, L.J. Tetraphenylcyclopentadienone in the diene synthesis. Can. J. Res. 1934, 11, 171–175. [Google Scholar] [CrossRef]
- Dilthey, W.; Hurtig, G. Hocharylierte aromatische verbidungen (IV. Mitteil.). Chem. Ber. 1934, 67, 2004–2006. [Google Scholar] [CrossRef]
- Blomquist, A.T.; Maitlis, P.M. Reactions of palladium compounds with acetylene. I. tetraphenylcyclobutadienepalladium(II) chloride. J. Am. Chem. Soc. 1962, 84, 2329–2334. [Google Scholar] [CrossRef]
- Fieser, L.F.F.; Haddadin, M.J. Isobenzofurane, a transient intermediate. Can. J. Res. 1965, 43, 1599–1606. [Google Scholar] [CrossRef]
- Dutkowski, J.J.; Becker, E.I. Electronic effect and rates in the Diels-Alder reaction. J. Org. Chem. 1952, 17, 201–206. [Google Scholar] [CrossRef]
- Bonner, E.F.; Finkensieper, A.G.; Becker, E.I. Reactivity of tetraphenyl-o-xylylene-α,α′-diol as related to that tetraphenylphthalic anhydride. J. Org. Chem. 1953, 18, 426–431. [Google Scholar] [CrossRef]
- Doering, R.F.; Miner, R.S., Jr.; Rotham, L.; Becker, E.I. Aromatization of the Diels-Alder Adduct of Tetraphenylcyclopentadienone and Fumaronitrile. J. Org. Chem. 1958, 23, 520–523. [Google Scholar] [CrossRef]
- Benghiat, I.; Becker, E. Electronic Effects and Rates in the Diels-Alder Reaction. J. Org. Chem. 1958, 23, 885–890. [Google Scholar] [CrossRef]
- Ogliaruso, M.A.; Shadoff, L.A.; Becker, E.I. “Bistetracyclones” and “Bishexaphenylbenzenes”. J. Org. Chem. 1963, 28, 2725–2728. [Google Scholar] [CrossRef]
- Seyferth, D.; Sarafidis, C.; Evnin, A.B. Preparations and reactions of 1,2-bis(trimethyltin)tetraphenylbenzene and related compounds. A novel bimolecular elimination of trimethyltin iodide. J. Organomet. Chem. 1964, 2, 417–424. [Google Scholar] [CrossRef]
- Ogliaruso, M.A.; Becker, E.I. Bistetracyclones and Bishexaphenylbenzenes. II. J. Org. Chem. 1965, 30, 3354–3360. [Google Scholar] [CrossRef]
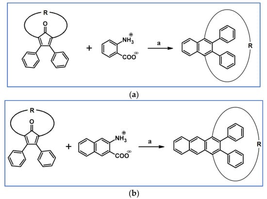
- Miller, J.B. Synthesis of 9-arylantracenes. J. Org. Chem. 1966, 31, 4082–4085. [Google Scholar] [CrossRef]
- Cookson, R.C.; Henstock, J.B.; Hudec, J.; Whitear, B.R.D. Reaction of Dimethyl Acetylenedicarboxylate with Derivatives of Malonic Acid: Pentamethoxycarbonylcyclopentadienide Anion, tetramethoxycarbonyl-cyclopentadienone, Cyanotetramethoxyfulvenolate Anion, and Related Compounds. J. Chem. Soc. C Org. 1967, 1986–1993. [Google Scholar] [CrossRef]
- Bergmann, P.; Paul, H. Zur Synthese gemischter Hexa-hetaryl-aryl-benzole und ahnlicher Verbindungen. Chem. Ber. 1967, 100, 828–835. [Google Scholar] [CrossRef]
- Filler, R.; Heffern, E.W. Bis(pentafluorophenyl)acetylene and 2,3,4,5,6-pentafluorodiphenylacetylene. J. Org. Chem. 1967, 32, 3249–3251. [Google Scholar] [CrossRef]
- Broser, W.; Siegle, P.; Kurreck, H. Uber substituierte Pentaphenyl-cyclopentadienyl-Verbmdungen und Tetracyclone, IV. Unsymmetrisch p-methyl- und p-phenyl-substituierte Pentaphenylcyclopentadienyl-Kationen und -Radikale. Chem. Ber. 1968, 101, 69–83. [Google Scholar] [CrossRef]
- Kuehne, M.E.; Sheeran, P.J. Reactions of ynamines. J. Org. Chem. 1968, 33, 4406–4413. [Google Scholar] [CrossRef]
- Broser, W.; Reusch, J.; Kurreck, H.; Siegle, P. Uber substituierte Pentaphenyl-cyclopentadienyl-Verbindungen und Tetracyclone, VI. Zur Frage des Mechanismus der Kondensation mono-p-substituierter Benzile und Dibenzylketone zu Tetracyclonen. Chem. Ber. 1969, 102, 1715–1724. [Google Scholar] [CrossRef]
- Ried, W.; Wagner, R. Darstellung und Reaktionen von triarylcyclopentadienoncarbonsaureestern. Liebigs Ann. Chem. 1970, 741, 181–188. [Google Scholar] [CrossRef]
- Freeburger, M.E.; Spialter, L. Vinyl-, Allyl-, and Phenylethynylsilanes. The Effect of Silicon on Their Reactions as Dienophiles and the Synthesis of Phenylated Phenyl- and Benzylsilanes. J. Org. Chem. 1970, 35, 652–657. [Google Scholar] [CrossRef]
- Ried, W.; Olschewski, P.B. Ringverengung substituierter 5-Brom-cyclohexen-(2)-dione-(1 A) zu Cyclopentadienonen. Liebigs Ann. Chem. 1970, 739, 150–154. [Google Scholar] [CrossRef]
- Szilagyi, S.; Ross, J.A.; Lemal, D.M. Perfluorotetramethylcyclopentadienone as a Diels-Alder Diene. J. Am. Chem. Soc. 1975, 97, 5586–5588. [Google Scholar] [CrossRef]
- Hanack, M.; Massa, F. Reaktivitat von acetylenperfluoroalkylsulfonen. Tetrahedron Lett. 1977, 18, 661–664. [Google Scholar] [CrossRef]
- Gust, D. Restricted Rotation in Hexaarylbenzenes. J. Am. Chem. Soc. 1977, 99, 6980–6982. [Google Scholar] [CrossRef]
- Gust, D.; Patton, A. Dynamic stereochemistry of hexaarylbenzenes. J. Am. Chem. Soc. 1978, 100, 8175–8181. [Google Scholar] [CrossRef]
- Patton, A.; Dirks, J.W.; Gust, D. Conformational Dynamics of Polyarylbenzenes. Buttressing Effects. J. Org. Chem. 1979, 44, 4749–4752. [Google Scholar] [CrossRef]
- Weissensteiner, W.; Gutiérrez, A.; Radcliffe, M.D.; Siegel, J.; Singh, M.D.; Tuohey, P.J.; Mislow, K. Conformations and Internal Mobility of Side Chains in Heterosubstituted Hexaalkylbenzenes. Isopropyl/Ethyl and Isopropyl/Cyclopropyl Systems. J. Org. Chem. 1985, 50, 5822–5827. [Google Scholar] [CrossRef]
- Yoshida, H.; Tamai, T.; Ogata, T.; Matsumoto, K. The Reaction of 1-Amino-2, 3-diphenylcyclopropenium Ions with 1, 3-Diketones to Afford 2, 4-Cyclopentadien-1-ols: The Regioselective Ring-Opening of 1-Aminocyclopropene Intermediates. Bull. Chem. Soc. Jpn. 1988, 61, 2891–2896. [Google Scholar] [CrossRef]
- Haas, A.; Krachter, H.-U. Darstellung und Reaktionen Trifluormethylchalkogenyl-substituierter Alkine. Chem. Ber. 1988, 121, 1833–1840. [Google Scholar] [CrossRef]
- Nezis, A.; Fayn, J.; Cambon, A. Synthese d’homocycles F-alkylks par reaction de Diels-Alder sur les 3-F-akylpropynoates. J. Fluor. Chem. 1992, 56, 29–36. [Google Scholar] [CrossRef]
- Kawase, T.; Ohsawa, T.; Enomoto, T.; Oda, M. Synthesis of 2,3,4,5-Tetra(2-thienyl)cyclopentadienone Exhibiting Considerable Substituent Effects and Synthetic Utility. Chem. Lett. 1994, 23, 1333–1336. [Google Scholar] [CrossRef]
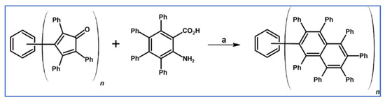
- Tong, L.; Ho, D.M.; Vogelaar, N.J.; Schutt, C.E.; Pascal, R.A.J. The Albatrossenes: Large, Cleft-Containing, Polyphenyl Polycyclic Aromatic Hydrocarbons. J. Am. Chem. Soc. 1997, 119, 7291–7302. [Google Scholar] [CrossRef]
- Tovar, J.D.; Jux, N.; Jarrosson, T.; Khan, S.I.; Rubin, Y. Synthesis and X-ray Characterization of an Octaalkynyldibenzooctadehydro[12]-annulene. J. Org. Chem. 1997, 62, 3432–3433. [Google Scholar] [CrossRef]
- Keshtov, M.L.; Rasanov, A.L.; Petrovskii, P.V.; Shchegolikhin, A.N.; Belomoina, N.M.; Keshtova, S.V.; Kirillov, A.A.; Kireev, V.V. Novel aromatic tetracarboxylic acid dianhydrides. Russ. Chem. Bull. 1999, 48, 1942–1945. [Google Scholar] [CrossRef]
- Ito, S.; Wehmeier, M.; Brand, J.D.; Kübel, C.; Epsch, R.; Rabe, J.P.; Müllen, K. Sythesis and Self-Assembly of Functionalised Hexa-peri-benzocoronenes. Chem. Eur. J. 2000, 6, 4327–4342. [Google Scholar] [CrossRef]
- Doltz, F.; Brand, J.D.; Ito, S.; Gherghel, L.; Müllen, K. Synthesis of Large Polycyclic Aromatic Hydrocarbons: Variation of Size and Periphery. J. Am. Chem. Soc. 2000, 122, 7707–7717. [Google Scholar] [CrossRef]
- Ito, S.; Inabe, H.; Okujima, T.; Morita, N.; Watanabe, M.; Harada, N.; Imafuku, K. Synthesis and Redox Behavior of Azulene-Substituted Benzene Derivatives and (η5-Cyclopentadienyl)[tetra- and di(6-azulenyl)cyclobutadiene]cobalt Complexes. J. Org. Chem. 2001, 66, 7090–7101. [Google Scholar] [CrossRef]
- Pascal, R.A.; Hayashi, N.; Ho, D.M. Conformational subtlety in large polyphenylene molecules. Tetrahedron 2001, 57, 3549–3555. [Google Scholar] [CrossRef]
- Li, H.; Ren, K.; Neckers, D.C. Photochemical Reactions of Substituted Cyclopropenium Salts. J. Org. Chem. 2001, 66, 8556–8562. [Google Scholar] [CrossRef] [PubMed]
- Fechtenkötter, Z.; Tchebotareva, N.; Watson, M.; Müllen, K. Discotic liquid crystalline hexabenzocoronenes carrying chiral and racemic branched alkyl chains: Supramolecular engineering and improved synthetic methods. Tetrahedron 2001, 57, 3769–3783. [Google Scholar] [CrossRef]
- Ito, S.; Nomura, A.; Morita, N.; Kabuto, C.; Kobayashi, H.; Maejima, S.; Fujimori, K.; Yasunami, M. Synthesis and Two-Electron Redox Behavior of Diazuleno[2,1-a:1,2-c]naphthalenes. J. Org. Chem. 2002, 67, 7295–7302. [Google Scholar] [CrossRef]
- Steel, P.J.; Webb, N.C. Diels-Alder Synthesis of Rigid 60° Angular Bridging Ligands and X-ray Crystal Structures of their Silver Nitrate Complexes. Eur. J. Inorg. Chem. 2002, 2002, 2257–2260. [Google Scholar] [CrossRef]
- Merlet, S.; Birau, M.; Wang, Z.W. Synthesis and Characterization of Highly Fluorescent Indenofluorenes. Org. Lett. 2002, 4, 2157–2159. [Google Scholar] [CrossRef]
- Pearson, A.J.; Kim, J.B. Cyclopentadienones as intermediates for the synthesis of highly functionalized biaryls. Tetrahedron Lett. 2003, 44, 8525–8527. [Google Scholar] [CrossRef]
- Yang, Y.; Petersen, J.F.; Wang, K.K. Cascade Radical Cyclizations of Benzannulated Enyne-Allenes. Unusual Cleavage of a Benzene Ring Leading to Twisted 1,1′-Dialkyl-9,9′-bifluorenylidenes and Spiro[1H-cyclobut[a]indene-1,9′-[9H]fluorenes]. J. Org. Chem. 2003, 68, 5832–5837. [Google Scholar] [CrossRef] [PubMed]
- Liddell, P.A.; Kodis, G.; de la Garza, L.; Moore, A.L.; Moore, T.A.; Gust, D. Benzene-Templated Model Systems for Photosynthetic Antenna-Reaction Center Function. J. Phys. Chem. B 2004, 108, 10256–10265. [Google Scholar] [CrossRef]
- Wang, Z.; Watson, M.D.; Wu, J.; Müllen, K. Partially stripped insulated nanowires: A lightly substituted hexa-peri-hexabenzocoronene-based columnar liquid crystal. Chem. Commun. 2004, 2004, 336–337. [Google Scholar] [CrossRef] [PubMed]
- Thomas, K.R.J.; Velusamy, M.; Lin, J.T.; Sun, S.-S.; Taoa, Y.-T.; Chuena, C.-H. Energy harvesting star-shaped molecules for electroluminescence applications. Chem. Commun. 2004, 2004, 2328–2329. [Google Scholar] [CrossRef] [PubMed]
- Keshtov, M.L.; Rusanov, A.L.; Belomoina, N.M.; Peregudov, A.S.; Tkhakakho, E.R. New hexaarylbenzene containing di- and tetrafluoroarenes. Russ. Chem. Bull. Int. Ed. 2005, 54, 1939–1941. [Google Scholar] [CrossRef]
- Sun, D.; Rosokha, S.V.; Kochi, J.K. Through-Space (Cofacial) p-Delocalization among Multiple Aromatic Centers: Toroidal Conjugation in Hexaphenylbenzene-like Radical Cations. Angew. Chem. Int. Ed. 2005, 44, 5133–5136. [Google Scholar] [CrossRef]
- Thomas, K.R.J.; Velusamy, M.; Lin, J.T.; Chuena, C.H.; Tao, Y.-T. Hexaphenylphenylene dendronised pyrenylamines for efficient organic light-emitting diodes. J. Mater. Chem. 2005, 15, 4453–4459. [Google Scholar] [CrossRef]
- Pei, J.; Zhang, W.-Y.; Mao, J.; Zhou, X.-H. Helical polycyclic aromatics containing thiophenes: Synthesis and properties. Tetrahedron Lett. 2006, 47, 1551–1554. [Google Scholar] [CrossRef]
- Gregg, D.J.; Ollagnier, C.M.A.; Fitchett, C.M.; Draper, S.M. Structurally Characterized Hetero-Oligopolyphenylenes: Synthetic Advances Toward Next-Generation Heterosuperbenzenes. Chem. Eur. J. 2006, 12, 3043–3052. [Google Scholar] [CrossRef]
- Kastler, M.; Schmidt, J.; Pisula, W.; Sebastiani, D.; Müllen, K. From Armchair to Zigzag Peripheries in Nanographenes. J. Am. Chem. Soc. 2006, 128, 9526–9534. [Google Scholar] [CrossRef]
- Terazono, Y.; Kodis, G.; Liddell, P.A.; Garg, V.; Gervaldo, M.; Moore, T.A.; Moore, A.L.; Gust, D. Photoinduced Electron Transfer in a Hexaphenylbenzene-based Self-assembled Porphyrin-fullerene Triad. Photochem. Photobiol. 2007, 83, 464–469. [Google Scholar] [CrossRef]
- Kikuzawa, Y.; Tomohiko Mori, T.; Takeuchi, H. 2,5,8,11,14,17-Hexafluoro-hexa-perihexabenzocoronene for n-Type Organic Field-Effect Transistors. Organic Lett. 2007, 9, 4817–4820. [Google Scholar] [CrossRef]
- Potter, R.G.; Hughes, T.S. Synthesis of Heterosubstituted Hexaarylbenzenes via Asymmetric Carbonylative Couplings of Benzyl Halides. Org. Lett. 2007, 9, 1187–1190. [Google Scholar] [CrossRef] [PubMed]
- Watanabe, S.; Kido, J. Hexaphenylbenzene Derivatives for Blue Organic Light-emitting Devices. Chem. Lett. 2007, 36, 590–591. [Google Scholar] [CrossRef]
- Maly, K.E.; Gagnon, E.; Maris, T.; Wuest, J.D. Engineering Hydrogen-Bonded Molecular Crystals Built from Derivatives of Hexaphenylbenzene and Related Compounds. J. Am. Chem. Soc. 2007, 129, 4306–4322. [Google Scholar] [CrossRef]
- Hamaoui, B.E.; Zhi, L.; Pisula, W.; Kolb, U.; Wu, J.; Müllen, K. Self-assembly of amphiphilic imidazolium-based hexa-peri-hexabenzocoronenes into fibreous aggregates. Chem. Commun. 2007, 2384–2386. [Google Scholar] [CrossRef]
- Thiemann, T.; Iniesta, J.; Walton, D.J. Thermal oxidation of tetracyclones (2,3,4,5-tetraarylcyclopentadienones). J. Chem. Res. 2008, 2008, 173–180. [Google Scholar] [CrossRef]
- Iwasawa, T.; Kamei, T.; Hama, K.; Nishimoto, Y.; Nishiuchi, M.; Kawamura, Y. Straightforward access to functionalized pentaarylbenzene derivatives through a quick lithiation. Tetrahedron Lett. 2008, 49, 5244–5246. [Google Scholar] [CrossRef]
- Jin, W.; Yamamoto, Y.; Fukushima, T.; Ishii, N.; Kim, J.; Kato, K.; Takata, M.; Aida, T. Systematic Studies on Structural Parameters for Nanotubular Assembly of Hexa-peri-hexabenzocoronenes. J. Am. Chem. Soc. 2008, 130, 9434–9440. [Google Scholar] [CrossRef] [PubMed]
- Yamamoto, T.; Fukushima, T.; Kosaka, A.; Jin, W.; Yamamoto, Y.; Ishii, N.; Aida, T. Conductive One-Handed Nanocoils by Coassembly of Hexabenzocoronenes: Control of Morphology and Helical Chirality. Angew. Chem. Int. Ed. 2008, 47, 1672–1675. [Google Scholar] [CrossRef]
- Wong, W.W.H.; Jones, D.J.; Yan, C.; Watkins, S.E.; King, S.; Haque, S.A.; Wen, X.; Ghiggino, K.P.; Holmes, A.B. Synthesis, Photophysical, and Device Properties of Novel Dendrimers Based on a Fluorene-Hexabenzocoronene (FHBC) Core. Org. Lett. 2009, 11, 975–978. [Google Scholar] [CrossRef] [PubMed]
- Nagarajan, S.; Barthes, C.; Gourdon, A. Cyclodehydrogenation of hetero-oligophenylenes. Tetrahedron 2009, 65, 3767–3772. [Google Scholar] [CrossRef]
- Pearson, A.J.; Zhou, Y. Diels-Alder Reactions of Cyclopentadienones with Aryl Alkynes to Form Biaryl Compound. J. Org. Chem. 2009, 74, 4242–4245. [Google Scholar] [CrossRef] [PubMed]
- Yang, J.-S.; Huang, H.-H.; Lin, S.-H. Facile Multistep Synthesis of Isotruxene and Isotruxenone. J. Org. Chem. 2009, 74, 3974–3977. [Google Scholar] [CrossRef] [PubMed]
- Yan, X.; Cui, X.; Li, L. Synthesis of Large, Stable Colloidal Graphene Quantum Dots with Tunable Size. J. Am. Chem. Soc. 2010, 132, 5944–5945. [Google Scholar] [CrossRef]
- Hapke, M.; Gutnov, A.; Weding, N.; Spannenberg, A.; Fischer, C.; Benkhäuser-Schunk, C.; Heller, B. Use of the Diels–Alder Cycloaddition of Tetracyclone and Internal Aryl Acetylenes for the Synthesis of Functionalized Atropisomeric Biaryls. Eur. J. Org. Chem. 2010, 2010, 509–514. [Google Scholar] [CrossRef]
- Li, Z.; Ye, S.; Liu, Y.; Yu, G.; Wu, W.; Qin, J.; Li, Z. New Hyperbranched Conjugated Polymers Containing Hexaphenylbenzene and Oxadiazole Units: Convenient Synthesis and Efficient Deep Blue Emitters for PLEDs Application. J. Phys. Chem. B 2010, 114, 9101–9108. [Google Scholar] [CrossRef] [PubMed]
- Lin, S.-H.; Hsu, Y.-C.; Lin, J.T.; Lin, C.-K.; Yang, J.-S. Isotruxene-Derived Cone-Shaped Organic Dyes for Dye-Sensitized Solar Cells. J. Org. Chem. 2010, 75, 7877–7886. [Google Scholar] [CrossRef]
- Gagnon, E.; Rochefort, A.; Métivaud, V.; Wuest, J.D. Hexaphenylbenzenes as Potential Acetylene Sponges. Org. Lett. 2010, 12, 380–383. [Google Scholar] [CrossRef]
- Gagnon, E.; Halperin, S.D.; Métivaud, V.; Maly, K.E.; Wuest, J.D. Tampering with Molecular Cohesion in Crystals of Hexaphenylbenzenes. J. Org. Chem. 2010, 75, 399–406. [Google Scholar] [CrossRef]
- Tanaka, Y.; Koike, T.; Akita, M. 2-Dimensional molecular wiring based on toroidal delocalization of hexaarylbenzene. Chem. Commun. 2010, 46, 4529–4531. [Google Scholar] [CrossRef]
- Short, R.; Carta, M.; Bezzu, C.G.; Fritsch, D.; Kariukia, B.M.; McKeown, N.B. Hexaphenylbenzene-based polymers of intrinsic microporosity. Chem. Commun. 2011, 47, 6822–6824. [Google Scholar] [CrossRef]
- Martin, C.J.; Gil, B.; Pereraab, S.D.; Draper, S.M. Thienyl directed polyaromatic C–C bond fusions: S-doped hexabenzocoronenes. Chem. Commun. 2011, 47, 3616–3618. [Google Scholar] [CrossRef] [PubMed][Green Version]
- Morisue, M.; Suzuki, W.; Kuroda, Y. Hexameric subphthalocyanine rosette. Dalton Trans. 2011, 40, 10047–10054. [Google Scholar] [CrossRef]
- Martin, C.J.; Gil, B.; Perera, S.D.; Draper, S.M. Oxidative Bond Formation in Dithienyl Polyphenylenes: Optical and Electrochemical Consequences. Eur. J. Org. Chem. 2011, 2011, 3491–3499. [Google Scholar] [CrossRef]
- Hogben, H.J.; Sprafke, J.K.; Hoffmann, M.; Pawlicki, M.; Anderson, H.L. Stepwise Effective Molarities in Porphyrin Oligomer Complexes: Preorganization Results in Exceptionally Strong Chelate Cooperativity. J. Am. Chem. Soc. 2011, 133, 20962–20969. [Google Scholar] [CrossRef] [PubMed]
- Mandal, S.; Parida, K.N.; Samanta, S.; Moorthy, J.N. Influence of (2,3,4,5,6-Pentamethyl/phenyl)phenyl Scaffold: Stereoelectronic Control of the Persistence of o-Quinonoid Reactive Intermediates of Photochromic Chromenes. J. Org. Chem. 2011, 76, 7406–7414. [Google Scholar] [CrossRef]
- Amaya, T.; Miyasaka, A.; Hirao, T. Synthesis of three-dimensionally arranged bis-biphenol ligand on hexaaryl benzene scaffold and its application for cross-pinacol coupling reaction. Tetrahedron Lett. 2011, 52, 4567–4569. [Google Scholar] [CrossRef]
- Tyagi, P.; Venkateswararao, A.; Justin Thomas, K.R. Solution Processable Indoloquinoxaline Derivatives Containing Bulky Polyaromatic Hydrocarbons: Synthesis, Optical Spectra, and Electroluminescence. J. Org. Chem. 2011, 76, 4571–4581. [Google Scholar] [CrossRef]
- Steeger, M.; Lambert, C. Charge-Transfer Interactions in Tris-Donor-Tris-Acceptor Hexaarylbenzene Redox Chromophores. Chem. Eur. J. 2012, 18, 11937–11948. [Google Scholar] [CrossRef]
- Roberts, D.J.; Nolan, D.; Máille, G.M.Ó.; Watson, G.W.; Singh, A.; Ledoux-Rakb, I.; Draper, S.M. The synthesis and characterisation of novel ferrocenyl polyphenylenes. Dalton Trans. 2012, 41, 8850–8860. [Google Scholar] [CrossRef]
- Chen, L.; Dou, X.; Pisula, W.; Yang, X.; Wu, D.; Floudas, G.; Feng, X.; Müllen, K. Discotic hexa-peri-hexabenzocoronenes with strong dipole: Synthesis, self-assembly and dynamic studies. Chem. Commun. 2012, 48, 702–704. [Google Scholar] [CrossRef] [PubMed]
- Kumar, M.; Vij, V.; Bhalla, V. Vapor-Phase Detection of Trinitrotoluene by AIEE-Active Heterooligophenylene-Based Carbazole Derivatives. Langmuir 2012, 28, 12417–12421. [Google Scholar] [CrossRef] [PubMed]
- Alameddine, B.; Caba, S.M.; Schindler, M.; Jenny, T.A. Synthesis of Alkyl-Substituted Tribenzopentaphenes as Versatile Polycondensed Aromatic Hydrocarbon π–π Stacking Building Blocks. Synthesis 2012, 44, 1928–1934. [Google Scholar] [CrossRef]
- Lambert, C.; Ehbets, J.; Rausch, D.; Steeger, M. Charge-Transfer Interactions in a Multichromophoric Hexaarylbenzene Containing Pyrene and Triarylamines. J. Org. Chem. 2012, 77, 6147–6154. [Google Scholar] [CrossRef] [PubMed]
- Jones, D.J.; Purushothaman, B.; Ji, S.; Holmes, A.B.; Wong, W.W.H. Synthesis of electron-poor hexa-peri-hexabenzocoronenes. Chem. Commun. 2012, 48, 8066–8068. [Google Scholar] [CrossRef]
- Graczyk, A.; Murphy, F.A.; Nolan, D.; Fernández-Moreira, V.; Lundin, N.J.; Fitchett, C.M.; Draper, S.M. Terpyridine-fused polyaromatic hydrocarbons generated via cyclodehydrogenation and used as ligands in Ru(II) complexes. Dalton Trans. 2012, 41, 7746–7754. [Google Scholar] [CrossRef]
- Bhalla, V.; Vij, V.; Dhir, A.; Kumar, M. Hetero-oligophenylene-Based AIEE Material as a Multiple Probe for Biomolecules and Metal Ions to Construct Logic Circuits: Application in Bioelectronics and Chemionics. Chem. Eur. J. 2012, 18, 3765–3772. [Google Scholar] [CrossRef] [PubMed]
- Miyasaka, A.; Amaya, T.; Hirao, T. Design and synthesis of dinuclear hemisalen complex on hexaarylbenzene scaffold. Tetrahedron Lett. 2012, 53, 5589–5592. [Google Scholar] [CrossRef]
- Miyasaka, A.; Amaya, T.; Hirao, T. Synthesis of Heterodinuclear Hemisalen Complexes on a Hexaarylbenzene Scaffold and their Application for the Cross-Pinacol Coupling Reaction. Chem. Eur. J. 2014, 20, 1615–1621. [Google Scholar] [CrossRef]
- Kopreski, R.P.; Briggs, J.B.; Lin, W.; Jazdzyk, M.; Miller, G.P. Probing Intramolecular CH-π Interactions in o-Quinodimethane Adducts of [60]Fullerene Using Variable Temperature NMR. J. Org. Chem. 2012, 77, 1308–1315. [Google Scholar] [CrossRef]
- Zhang, C.; Liu, Y.; Xiong, X.-Q.; Peng, L.-H.; Gan, L.; Chen, C.-F.; Xu, H.-B. Three-Dimensional Nanographene Based on Triptycene: Synthesis and Its Application in Fluorescence Imaging. Org. Lett. 2012, 14, 5912–5915. [Google Scholar] [CrossRef]
- Luo, J.; Xu, X.; Mao, R.; Miao, Q. Curved Polycyclic Aromatic Molecules That Are π-Isoelectronic to Hexabenzocoronene. J. Am. Chem. Soc. 2012, 134, 13796–13803. [Google Scholar] [CrossRef]
- Gille, M.; Viertel, A.; Weidner, S.; Hecht, S. Modular Synthesis of Monomers for On-Surface Polymerization to Graphene Architectures. Synlett 2013, 24, 259–263. [Google Scholar]
- Brydges, S.; Gildea, B.; Grealis, J.P.; Müller-Bunz, H.; Stradiotto, M.; Casey, M.; McGlinchey, M.J. Organic and organometallic derivatives of pentaphenylbenzene, C6Ph5X: Correlation of peripheral phenyl ring orientations with the steric bulk of “X”. Can. J. Chem. 2013, 91, 1098–1111. [Google Scholar] [CrossRef]
- Bhalla, V.; Vij, V.; Tejpal, R.; Singh, G.; Kumar, M. Solvent dependent competition between fluorescence resonance energy transfer and through bond energy transfer in rhodamine appended hexaphenylbenzene derivatives for sensing of Hg2+ ions. Dalton Trans. 2013, 42, 4456–4463. [Google Scholar] [CrossRef]
- Yamaguchi, R.; Ito, S.; Lee, B.S.; Hiroto, S.; Kim, D.; Shinokubo, H. Functionalization of Hexa-peri-hexabenzocoronenes: Investigation of the Substituent Effects on a Superbenzene. Chem. Asian J. 2013, 8, 178–190. [Google Scholar] [CrossRef] [PubMed]
- Kim, S.; Lee, S.-H.; An, B.-K.; Oh, S.Y.; Kay, K.-Y.; Park, J. New Hole Transporting Materials Based on Tetraphenylbenzene and Aromatic Amine Derivatives for OLEDs. Mol. Cryst. Liq. Cryst. 2013, 584, 69–77. [Google Scholar] [CrossRef]
- Pang, J.; Shen, K.; Ren, D.; Feng, S.; Wang, Y.; Jiang, Z. Polymer electrolyte membranes based on poly(arylene ether)s with penta-sulfonated pendent groups. J. Mater. Chem. A 2013, 1, 1465–1474. [Google Scholar] [CrossRef]
- Englert, J.M.; Malig, J.; Zamolo, V.A.; Hirsch, A.; Jux, N. HBC-porphyrin-close contact chromophores. Chem. Commun. 2013, 49, 4827–4829. [Google Scholar] [CrossRef]
- Xue, L.; Shi, Y.; Zhang, L.; Li, X. Difference in the Photophysical Properties of a Perylenetetracarboxylic Diimide Dimer and a Hexamer Linked by the Same Hexaphenylbenzene Group. ChemPhysChem 2013, 14, 3319–3326. [Google Scholar] [CrossRef]
- Garg, V.; Kodis, G.; Liddell, P.A.; Terazono, Y.; Moore, T.A.; Moore, A.L.; Gust, D. Artificial Photosynthetic Reaction Center with a Coumarin-Based Antenna System. J. Phys. Chem. B 2013, 117, 11299–11308. [Google Scholar] [CrossRef]
- Du, B.; Wang, L.; Yuan, S.-C.; Lei, T.; Pei, J.; Cao, Y. Indeno[2,1-c]fluorene-based blue fluorescent oligomers and polymers: Synthesis, structure, photophysical and electroluminescence properties. Polymer 2013, 54, 2935–2944. [Google Scholar] [CrossRef]
- Lungerich, D.; Hitzenberger, J.F.; Marcia, M.; Hampel, F.; Drewello, T.; Jux, N. Superbenzene–Porphyrin Conjugates. Angew. Chem. Int. Ed. 2014, 53, 12231–12235. [Google Scholar] [CrossRef] [PubMed]
- Wunderlich, K.; Larsen, A.; Marakis, J.; Fytas, G.; Klapper, M.; Müllen, K. Controlled Hydrogel Fiber Formation: The Unique Case of Hexaphenylbenzene-Poly(ethylene glycol) Amphiphiles. Small 2014, 10, 1914–1919. [Google Scholar] [CrossRef] [PubMed]
- Kabe, R.; Feng, X.; Adachi, C.; Müllen, K. Exfoliation of Graphite into Graphene in Polar Solvents Mediated by Amphiphilic Hexa-peri-hexabenzocoronene. Chem. Asian J. 2014, 9, 3125–3129. [Google Scholar] [CrossRef] [PubMed]
- Lee, H.-F.; Wang, P.-H.; Huang, Y.-C.; Su, W.-H.; Gopal, R.; Lee, C.C.; Holdcroft, S.; Huang, W.-Y. Synthesis and Proton Conductivity of Sulfonated, Multi-phenylated Poly(arylene ether)s. J. Polym. Sci. Part A Polym. Chem. 2014, 52, 2579–2587. [Google Scholar] [CrossRef]
- Carta, M.; Bernardo, P.; Clarizia, G.; Jansen, J.C.; McKeown, N.B. Gas Permeability of Hexaphenylbenzene Based Polymers of Intrinsic Microporosity. Macromolecules 2014, 47, 8320–8327. [Google Scholar] [CrossRef]
- Kaur, S.; Bhalla, V.; Vij, V.; Kumar, M. Fluorescent aggregates of hetero-oligophenylene derivative as “no quenching” probe for detection of picric acid at femtogram level. J. Mater. Chem. C 2014, 2, 3936–3941. [Google Scholar] [CrossRef]
- Wijesinghe, L.P.; Lankage, B.S.; Máille, G.M.Ó.; Perera, S.D.; Nolan, D.; Wangab, L.; Draper, S.M. Methoxy functionalisation: Exerting synthetic control of the supramolecular and electronic structure of nitrogen-doped nanographenes. Chem. Commun. 2014, 50, 10637–10640. [Google Scholar] [CrossRef]
- Kaur, S.; Bhalla, V.; Kumar, M. Fluorescent supramolecular metal assemblies as ‘no quenching’ probes for detection of threonine in the nanomolar range. Chem. Commun. 2014, 50, 9725–9728. [Google Scholar] [CrossRef]
- Freudenberg, J.; Rominger, F.; Bunz, U.H.F. New Aggregation-Induced Emitters: Tetraphenyldistyrylbenzenes. Chem. Eur. J. 2015, 21, 16749–16753. [Google Scholar] [CrossRef] [PubMed]
- Walia, P.K.; Pramanik, S.; Bhalla, V.; Kumar, M. Aggregates of a hetero-oligophenylene derivative as reactors for the generation of palladium nanoparticles: A potential catalyst in the Sonogashira coupling reaction under aerial conditions. Chem. Commun. 2015, 51, 17253–17256. [Google Scholar] [CrossRef]
- Zhang, W.; Jin, W.; Fukushima, T.; Mori, T.; Aida, T. Helix Sense-Selective Supramolecular Polymerization Seeded by a One-Handed Helical Polymeric Assembly. J. Am. Chem. Soc. 2015, 137, 13792–13795. [Google Scholar] [CrossRef] [PubMed]
- Nacci, C.; Viertel, A.; Hecht, S.; Grill, L. Covalent Assembly and Characterization of Nonsymmetrical Single-Molecule Nodes. Angew. Chem. Int. Ed. 2016, 55, 13724–13728. [Google Scholar] [CrossRef] [PubMed]
- Yang, Y.; Yuan, L.; Shan, B.; Liu, Z.; Miao, Q. Twisted Polycyclic Arenes from Tetranaphthyldiphenylbenzenes by Controlling the Scholl Reaction with Substituents. Chem. Eur. J. 2016, 22, 18620–18627. [Google Scholar] [CrossRef]
- Freudenberg, J.; Rominger, F.; Bunz, U.H.F. Suppression of Photocyclization: Stabilization of an Aggregation-Induced Tetraaryldistyrylbenzene Emitter. Chem. Eur. J. 2016, 22, 8740–8744. [Google Scholar] [CrossRef]
- Wang, H.; Liang, Y.; Xie, H.; Lu, H.; Zhao, S.; Feng, S. Unexpected SiMe3 effect on color-tunable and fluorescent probes of dendritic polyphenyl naphthalimides with aggregation-induced emission enhancement. J. Mater. Chem. C 2016, 4, 745–750. [Google Scholar] [CrossRef]
- Elliott, A.B.S.; Horvath, R.; Sun, X.-Z.; Gardiner, M.G.; Müllen, K.; Lucas, N.T.; George, M.W.; Gordon, K.C. Long-Lived Charge Transfer Excited States in HBC-Polypyridyl Complex Hybrids. Inorg. Chem. 2016, 55, 4710–4719. [Google Scholar] [CrossRef]
- Delaney, C.; Máille, G.M.Ó.; Twamley, B.; Draper, S.M. One-Pot, High-Yielding, Oxidative Cyclodehydrogenation Route for N-Doped Nanographene Synthesis. Org. Lett. 2016, 18, 88–91. [Google Scholar] [CrossRef] [PubMed]
- Jeong, S.P.; Boyle, C.J.; Venkataraman, D. Poly(methyl methacrylate) end-functionalized with hexabenzocoronene as an effective dispersant for multi-walled carbon nanotubes. RSC Adv. 2016, 6, 6107–6110. [Google Scholar] [CrossRef]
- Rçse, P.; Emge, S.; Kçnig, C.A.; Hilta, G. Efficient Oxidative Coupling of Arenes via Electrochemical Regeneration of 2,3-Dichloro-5,6-dicyano-1,4-benzoquinone (DDQ) under Mild Reaction Conditions. Adv. Synth. Catal. 2017, 359, 1359–1372. [Google Scholar]
- Pramanik, S.; Bhalla, V.; Kumar, M. Hexaphenylbenzene-based fluorescent aggregates for detection of zinc and pyrophosphate ions in aqueous media: Tunable self-assembly behaviour and construction of a logic device. New J. Chem. 2017, 41, 4806–4813. [Google Scholar] [CrossRef]
- Shi, Y.; Li, C.; Ma, S.; Zhang, Y. Synthesis and Properties of Nitrogen-Containing Curved Heterosuperbenzene. Synthesis 2018, 50, 102–106. [Google Scholar] [CrossRef]
- Chen, H.; Zhu, H.; Huang, Y.; Yang, J.; Wang, W. Synthesis and Characterization of Polycyclic Aromatic Hydrocarbons with Different Spatial Constructions Based on Hexaphenylbenzene Derivatives. Chem. Asian J. 2017, 12, 3016–3026. [Google Scholar] [CrossRef]
- Lu, D.; Zhuang, G.; Wu, H.; Wang, S.; Yang, S.; Du, P. A Large π-Extended Carbon Nanoring Based on Nanographene Units: Bottom-Up Synthesis, Photophysical Properties, and Selective Complexation with Fullerene C70. Angew. Chem. Int. Ed. 2017, 56, 158–162. [Google Scholar] [CrossRef]
- Yu, J.; Chen, Y.; Li, J.-J.; Liu, Y. Superbenzene-bridged bis(permethyl-bcyclodextrin) as a convenient and effective probe for trinitrophenol exploder. J. Mater. Chem. C 2017, 5, 799–802. [Google Scholar] [CrossRef]
- Harrington, L.E.; Britten, J.F.; Nikitin, K.; McGlinchey, M.J. A Synthetic, X-ray, NMR Spectroscopy and DFT Study of ß-Naphthil Dihydrazone, Di(ß-naphthyl)acetylene, Tetra(ß-naphthyl) cyclopentadienone, and Hexa(ß-naphthyl)benzene: C6(C10H7)6 Is a Disordered Molecular Propeller. ChemPlusChem 2017, 82, 433–441. [Google Scholar] [CrossRef]
- Chernikova, V.; Shekhah, O.; Spanopoulos, I.; Trikalitis, P.N.; Eddaoudi, M. Liquid phase epitaxial growth of heterostructured hierarchical MOF thin films. Chem. Commun. 2017, 53, 6191–6194. [Google Scholar] [CrossRef]
- Kurata, R.; Kaneda, K.; Ito, A. Luminescent Superbenzene with Diarylamino and Diarylboryl Groups. Org. Lett. 2017, 19, 392–395. [Google Scholar] [CrossRef]
- Albert, S.K.; Sivakumar, I.; Golla, M.; Thelu, H.V.P.; Krishnan, N.; Ashish, J.L.K.L.; Varghese, R. DNA-Decorated Two-Dimensional Crystalline Nanosheets. J. Am. Chem. Soc. 2017, 139, 17799–17802. [Google Scholar] [CrossRef]
- Kaur, M.; Pramanik, S.; Kumar, M.; Bhalla, V. Polythiophene-Encapsulated Bimetallic Au-Fe3O4 Nano-Hybrid Materials: A Potential Tandem Photocatalytic System for Nondirected C(sp2)-H Activation for the Synthesis of Quinoline Carboxylates. ACS Catal. 2017, 7, 2007–2021. [Google Scholar] [CrossRef]
- Li, C.; Wu, H.; Zhang, T.; Liang, Y.; Zheng, B.; Xia, J.; Xu, J.; Miao, Q. Functionalized π-Stacks of Hexabenzoperylenes as a Platform for Chemical and Biological Sensing. Chem 2018, 4, 1416–1426. [Google Scholar] [CrossRef]
- Cruz, C.M.; Márquez, I.R.; Mariz, I.F.A.; Blanco, V.; Sánchez-Sánchez, C.; Sobrado, J.M.; Martín-Gago, J.A.; Cuerva, J.M.; Maçôas, E.; Campaña, A.G. Enantiopure distorted ribbon-shaped nanographene combining two-photon absorption-based upconversion and circularly polarized luminescence. Chem. Sci. 2018, 9, 3917–3924. [Google Scholar] [CrossRef] [PubMed]
- Cruz, C.M.; Castro-Fernández, S.; Maçôas, E.; Cuerva, J.M.; Campaña, A.G. Undecabenzo[7]superhelicene: A Helical Nanographene Ribbon as a Circularly Polarized Luminescence Emitter. Angew. Chem. Int. Ed. 2018, 57, 14782–14786. [Google Scholar] [CrossRef]
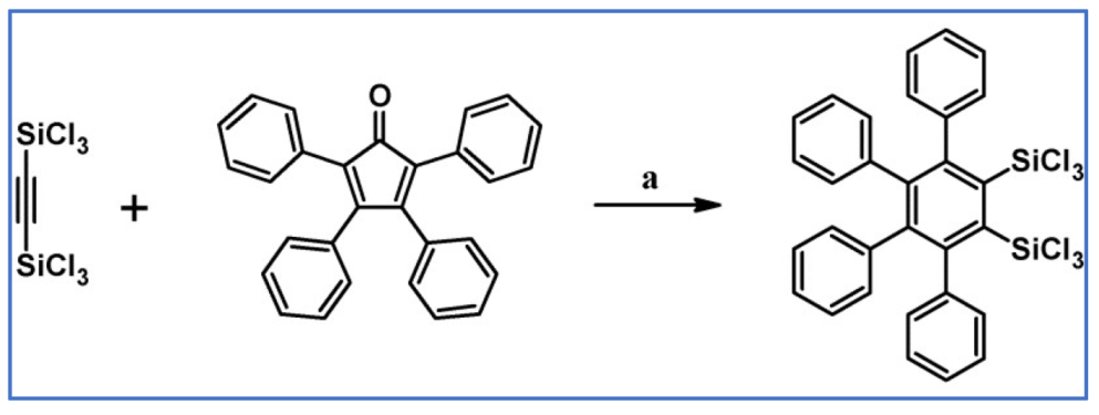
- Georg, I.; Teichmann, J.; Bursch, M.; Tillmann, J.; Endeward, B.; Bolte, M.; Lerner, H.-W.; Grimme, S.; Wagner, M. Exhaustively Trichlorosilylated C1 and C2 Building Blocks: Beyond the Müller-Rochow Direct Process. J. Am. Chem. Soc. 2018, 140, 9696–9708. [Google Scholar] [CrossRef]
- Martin, M.M.; Jux, N. Synthesis of a porphyrin-hexaarylbenzene-hexabenzocoronene triad. J. Porphyr. Phthalocyanines 2018, 22, 454–460. [Google Scholar] [CrossRef]
- Wang, X.; Wang, S.; Lv, J.; Shao, S.; Wang, L.; Jing, X.; Wang, F. Through-space charge transfer hexaarylbenzene dendrimers with thermally activated delayed fluorescence and aggregation-induced emission for efficient solution-processed OLEDs. Chem. Sci. 2019, 10, 2915–2923. [Google Scholar] [CrossRef]
- Batsyts, S.; Hübner, E.G.; Namyslo, J.C.; Gjikaj, M.; Schmidt, A. Synthesis and characterization of propeller-shaped mono- to hexacationic quinolinium-substituted benzene. Org. Biomol. Chem. 2019, 17, 4102–4114. [Google Scholar] [CrossRef]
- Liu, Y.; Zeng, W.; Li, X.; Jin, W.; Zhang, D. Synthesis, characterization and self-assembly of pyridyl-appended Geminishaped hexabenzocoronene amphiphiles. Dyes Pigm. 2019, 163, 553–558. [Google Scholar] [CrossRef]
- Batsyts, S.; Lederle, F.; Hübner, E.G.; Adams, J.; Namyslo, J.C.; Schmidt, A. A propellar shaped mesomeric betaine, tetraphenylbenzene-1-quinolinium-2-benzoate. Heterocycles 2019, 98, 1445–1454. [Google Scholar]
- Martin, M.M.; Haines, P.; Hampel, F.; Jux, N.; Lungerich, D. Electronic Communication across Porphyrin-Hexabenzocoronene Isomers. Angew. Chem. Int. Ed. 2019, 58, 8932–8937. [Google Scholar] [CrossRef]
- Golla, M.; Albert, S.K.; Atchimnaidu, S.; Perumal, D.; Krishnan, N.; Varghese, R. DNA-Decorated, Helically Twisted Nanoribbons: A Scaffold for the Fabrication of One-Dimensional, Chiral, Plasmonic Nanostructures. Angew. Chem. Int. Ed. 2019, 58, 3865–3869. [Google Scholar] [CrossRef] [PubMed]
- Zeng, W.; Liu, Y.; Li, X.; Jin, W.; Zhang, D. Synthesis and self-assembly of chiral Gemini-shaped hexabenzocoronene amphiphiles. Dyes Pigm. 2019, 170, 107624. [Google Scholar] [CrossRef]
- Kaur, H.; Kaur, M.; Walia, P.K.; Kumar, M.; Bhalla, V. Encapsulating Au-Fe3O4 Nanodots into AIE-active Supramolecular Assemblies: Ambient Visible-light Harvesting “Dip-Strip” Photocatalyst for C-C/C-N Bond Formation Reactions. Chem. Asian J. 2019, 14, 809–813. [Google Scholar] [CrossRef] [PubMed]
- Nakagawa, Y.; Sekiguchi, R.; Kuwakami, J.; Ito, S. Preparation of a large-sized highly flexible carbon nanohoop. Org. Biomol. Chem. 2019, 17, 6843–6853. [Google Scholar] [CrossRef]
- Li, C.; Wang, Y.; Zhang, T.; Zheng, B.; Xu, J.; Miao, Q. Tertiary Amines Differentiated from Primary and Secondary Amines by Active Ester-Functionalized Hexabenzoperylene in Field Effect Transistors. Chem. Asian J. 2019, 14, 1676–1680. [Google Scholar] [CrossRef] [PubMed]
- Li, G.; Han, Y.; Zou, Y.; Lee, J.J.C.; Ni, Y.; Wu, J. Dearomatization Approach Toward a Superbenzoquinone-Based Diradicaloid, Tetraradicaloid, and Hexaradicaloid. Angew. Chem. Int. Ed. 2019, 58, 14319–14326. [Google Scholar] [CrossRef]
- Batsyts, S.; Vedmid, R.; Namyslo, J.C.; Nieger, M.; Schmidt, A. 3-Aryl Substituted 1-Methylquinolinium Salts as Carbene Precursors. Eur. J. Org. Chem. 2019, 2019, 1301–1310. [Google Scholar] [CrossRef]
- Nisa, K.; Khatri, V.; Kumar, S.; Arora, S.; Ahmad, S.; Dandia, A.; Thirumal, M.; Kashyap, H.K.; Chauhan, S.M.S. Synthesis and Redox Properties of Superbenzene Porphyrin Conjugates. Inorg. Chem. 2020, 59, 16168–16177. [Google Scholar] [CrossRef]
- Martin, M.M.; Hampel, F.; Jux, N. A Hexabenzocoronene-Based Helical Nanographene. Chem. Eur. J. 2020, 26, 10210–10212. [Google Scholar] [CrossRef]
- Ma, S.; Gu, J.; Lin, C.; Luo, Z.; Zhu, Y.; Wang, J. Supertwistacene: A Helical Graphene Nanoribbon. J. Am. Chem. Soc. 2020, 142, 16887–16893. [Google Scholar] [CrossRef]
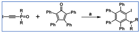
- Marian, A.; Maas, G. Diethyl (iodoethynyl)phosphonate and (iodoethynyl)diphenylphosphane oxide: Crystal structures and some cycloaddition reactions. Z. Naturforsch. 2020, 75, 529–536. [Google Scholar] [CrossRef]
- Kaur, H.; Kumar, M.; Bhalla, V. A photocatalytic ensemble synergistic and balanced operation in Kumada and Heck coupling reactions. Green Chem. 2020, 22, 8036–8045. [Google Scholar] [CrossRef]
- Lorenz, R.; Reger, D.; Weller, R.; Jux, N.; Burzlaff, N. Hexa-peri-hexabenzocoronene decorated with an allenylidene ruthenium complex—Almost a flyswatter. Dalton Trans. 2020, 49, 13134–13141. [Google Scholar] [CrossRef]
- Müller, M.; Iyer, V.S.; Kiibel, C.; Enkelmann, V.; Müllen, K. Polycyclic Aromatic Hydrocarbons by Cyclodehydrogenation and Skeletal Rearrangement of Oligophenylenes. Angew. Chem. Int. Ed. 1997, 36, 1608–1610. [Google Scholar] [CrossRef]
- Iyer, V.S.; Yoshimura, K.; Enkelmann, V.; Epsch, R.; Rabe, J.P.; Müllen, K. A Soluble C60 Graphite Segment. Angew. Chem. Int. Ed. 1998, 37, 2696–2699. [Google Scholar] [CrossRef]
- Ito, S.; Herwig, P.T.; Böhme, T.; Rabe, J.P.; Rettig, W.; Müllen, K. Bishexa-peri-hexabenzocoronenyl: A “Superbiphenyl”. J. Am. Chem. Soc. 2000, 122, 7698–7706. [Google Scholar] [CrossRef]
- Grebel-Koehler, D.; Liu, D.; De Feyter, S.; Enkelmann, V.; Weil, T.; Engels, C.; Samyn, C.; Mü1len, K.; De Schryver, F.C. Synthesis and Photomodulation of Rigid Polyphenylene Dendrimers with an Azobenzene Core. Macromolecules 2003, 36, 578–590. [Google Scholar] [CrossRef]
- Wu, J.; Watson, M.D.; Tchebotareva, N.; Wang, Z.; Müllen, K. Oligomers of Hexa-peri-hexabenzocoronenes as “Super-oligophenylenes”: Synthesis, Electronic Properties, and Self-assembly. J. Org. Chem. 2004, 69, 8194–8204. [Google Scholar] [CrossRef]
- Wasserfallen, D.; Mattersteig, G.; Enkelmann, V.; Müllen, K. Synthesis and crystal structures of extremely crowded oligophenylenes as model precursors to ‘cubic graphite’. Tetrahedron 2006, 62, 5417–5420. [Google Scholar] [CrossRef]
- Zhou, Y.; Liu, W.-J.; Zhang, W.; Cao, X.-Y.; Zhou, Q.-F.; Ma, Y.; Pei, J. Selective Oxidative Cyclization by FeCl3 in the Construction of 10H-Indeno[1,2-b]triphenylene Skeletons in Polycyclic Aromatic Hydrocarbons. J. Org. Chem. 2006, 71, 6822–6828. [Google Scholar] [CrossRef]
- Zhang, B.; Manning, G.P.; Dobrowolski, M.A.; Cyrański, M.K.; Bodwell, G.J. Nonplanar Aromatic Compounds. 9. Synthesis, Structure, and Aromaticity of 1:2,13:14-Dibenzo[2]paracyclo[2](2,7)-pyrenophane-1,13-diene. Org. Lett. 2008, 10, 273–276. [Google Scholar] [CrossRef]
- Liu, W.-J.; Zhou, Y.; Zhou, Q.-F.; Ma, Y.; Pei, J. Shape-Persistent Elliptic Macrocycles Composed of Polycyclic Aromatic Hydrocarbons: Synthesis and Photophysical Properties. Org. Lett. 2008, 10, 2123–2126. [Google Scholar] [CrossRef] [PubMed]
- Sun, X.; Xu, X.; Qiu, W.; Yu, G.; Zhang, H.; Gao, X.; Chen, S.; Song, Y.; Liu, Y. A non-planar pentaphenylbenzene functionalized benzo[2,1,3]thiadiazole derivative as a novel red molecular emitter for non-doped organic light-emitting diodes. J. Mater. Chem. 2008, 18, 2709–2715. [Google Scholar] [CrossRef]
- Budy, S.M.; Nichol, G.S.; Loy, D.A. 2,2″,3,3″,4,4″,5,5″-Octaphenyl-1,1′:4′,1′-terphenyl and 2′,3′,5′,6′-tetrafluoro-2,2″,3,3″,4,4″,5,5″-octaphenyl-1,1′:4′,1″-terphenyl. Acta Cryst. 2012, C68, o23–o27. [Google Scholar] [CrossRef] [PubMed]
- Yu, T.; Tsang, D.P.-K.; Au, V.K.-M.; Lam, W.H.; Chan, M.-Y.; Yam, V.W.-W. Deep Red to Near-Infrared Emitting Rhenium(I) Complexes: Synthesis, Characterization, Electrochemistry, Photophysics, and Electroluminescence Studies. Chem. Eur. J. 2013, 19, 13418–13427. [Google Scholar] [CrossRef] [PubMed]
- Löser, P.; Winzenburg, A.; Faust, R. A perfluorous polyphenyl dendritic shell for the protection of a photosensitizing porphyrazine core. Chem. Commun. 2013, 49, 9413–9415. [Google Scholar] [CrossRef] [PubMed]
- Kaur, S.; Bhalla, V.; Kumar, M. Copper nanoparticles generated from aggregates of a hexarylbenzene derivative: A reusable catalytic system for ‘click’ reactions. Chem. Commun. 2015, 51, 526–529. [Google Scholar] [CrossRef]
- Singh, G.; Bhalla, V.; Kumar, M. Carbazole-functionalized polyphenylenedecorated solid state emissive D-A-D molecules: Reduced donor-acceptor interaction and enhanced emission in the solid state. Phys. Chem. Chem. Phys. 2015, 17, 22079–22089. [Google Scholar] [CrossRef]
- An, P.; Chow, H.-F.; Kuck, D. A Polycyclic Aromatic Hydrocarbon Bearing an All-cis Tetrabenzo-[5.5.5.5]fenestrane (Fenestrindane) Core Merged with Two Hexaperi-hexabenzocoronene Units. Synlett 2016, 27, 1255–1261. [Google Scholar]
- Zhang, B.; Pascal, R.A., Jr.; Zhao, Y.; Bodwell, G.J. Generation of an Extremely Bent Pyrene System Using Kinetic Stabilization. Can. J. Res. 2018, 95, 460–481. [Google Scholar] [CrossRef]
- Evans, P.J.; Ouyang, J.; Favereau, L.; Crassous, J.; Fernμndez, I.; Perles, J.; Martín, N. Synthesis of a Helical Bilayer Nanographene. Angew. Chem. Int. Ed. 2018, 57, 6774–6779. [Google Scholar] [CrossRef]
- Reger, D.; Haines, P.; Heinemann, F.W.; Guldi, D.M.; Jux, N. Oxa[7]superhelicene: A π-Extended Helical Chromophore Based on Hexa-peri-hexabenzocoronene. Angew. Chem. Int. Ed. 2018, 57, 5938–5942. [Google Scholar] [CrossRef] [PubMed]
- Stężycki, R.; Regerc, D.; Hoelzelc, H.; Jux, N.; Gryko, D.T. Synthesis and Photophysical Properties of Hexaphenylbenzene-Pyrrolo[3,2-b]pyrroles. Synlett 2018, 29, 2529–2534. [Google Scholar]
- Yang, X.; Hoffmann, M.; Rominger, F.; Kirschbaum, T.; Dreuw, A.; Mastalerz, M. Functionalized Contorted Polycyclic Aromatic Hydrocarbons by a One-Step Cyclopentannulation and Regioselective Triflyloxylation. Angew. Chem. Int. Ed. 2019, 58, 10650–10654. [Google Scholar] [CrossRef]
- Nguyen, H.T.T.; Mague, J.T.; Zhao, Q.; Kraml, C.M.; Byrne, N.; Pascal, R., Jr. A. The structure and racemization of 1,2-bis(pentaphenylphenyl)benzene. Tetrahedron 2019, 75, 2778–2784. [Google Scholar] [CrossRef]
- Wada, Y.; Shinohara, K.; Ikai, T. Optically active triptycenes containing hexa-peri- hexabenzocoronene units. Chem. Commun. 2019, 55, 11386–11389. [Google Scholar] [CrossRef]
- Rietsch, P.; Soyka, J.; Brülls, S.; Er, J.; Hoffmann, K.; Beerhues, J.; Sarkar, B.; Resch-Genger, U.; Eigler, S. Fluorescence of a chiral pentaphene derivative derived from the hexabenzocoronene Motif. Chem. Commun. 2019, 55, 10515–10518. [Google Scholar] [CrossRef]
- Han, Y.; Xue, Z.; Li, G.; Gu, Y.; Ni, Y.; Dong, S.; Chi, C. Formation of Azulene-Embedded Nanographene: Naphthalene to Azulene Rearrangement During the Scholl Reaction. Angew. Chem. Int. Ed. 2020, 59, 9026–9031. [Google Scholar] [CrossRef]
- Leitner, T.D.; Gmeinder, Y.; Rohricht, F.; Herges, R.; Mena-Osteritz, E.; Baurle, P. Twisted Thienylene–Phenylene Structures: Through-Space, Orbital Coupling in Toroidal and Catenated Topologies. Eur. J. Org. Chem. 2020, 2020, 285–294. [Google Scholar] [CrossRef]
- Dusold, C.; Weiss, C.; Hampel, F.; Hirsch, A. Synthesis and crystal packing of perylene-derivatives with extreme sterically demanding pentaphenylbenzene bay-substituents. Chem. Commun. 2021, 57, 583–586. [Google Scholar] [CrossRef] [PubMed]
- Bauer, R.E.; Enkelmann, V.; Wiesler, U.M.; Berresheim, A.J.; Müllen, K. Single-Crystal Structures of Polyphenylene Dendrimers. Chem. Eur. J. 2002, 8, 3858–3864. [Google Scholar] [CrossRef]
- Simpson, C.D.; Brand, J.D.; Berresheim, A.J.; Przybilla, L.; Räder, H.J.; Müllen, K. Synthesis of a Giant 222 Carbon Graphite Sheet. Chem. Eur. J. 2002, 8, 1424–1429. [Google Scholar] [CrossRef]
- Mastalerz, M.; Dyker, G.; Flörke, U.; Henkel, G.; Oppel, I.M.; Merz, K. Oligophenylcalix[4]arenes as Potential Precursors for Funnelenes and Calix[4]triphenylenes: Syntheses and Preliminary Cyclodehydration Studies. Eur. J. Org. Chem. 2006, 2006, 4951–4962. [Google Scholar] [CrossRef]
- Bernhardt, S.; Kastler, M.; Enkelmann, V.; Baumgarten, M.; Müllen, K. Pyrene as Chromophore and Electrophore: Encapsulation in a Rigid Polyphenylene Shell. Chem. Eur. J. 2006, 12, 6117–6128. [Google Scholar] [CrossRef]
- Komber, H.; Stumpe, K.; Voit, B. The rotation of pentaphenylphenyl groups and their terminal phenyl groups: A variable-temperature 1H NMR study on an albatrossene and a three-bladed molecular propeller. Tetrahedron Lett. 2007, 48, 2655–2659. [Google Scholar] [CrossRef]
- Liu, D.; Ren, H.; Li, J.; Tao, Q.; Gao, Z. Novel perylene bisimide derivative with fluorinated shell: A multifunctional material for use in optoelectronic devices. Chem. Phys. Lett. 2009, 482, 72–76. [Google Scholar] [CrossRef]
- Gagnon, E.; Maris, T.; Wuest, J.D. Triarylamines Designed to Form Molecular Glasses. Derivatives of Tris(p-terphenyl-4-yl)amine with Multiple Contiguous Phenyl Substituents. Org. Lett. 2010, 12, 404–407. [Google Scholar] [CrossRef]
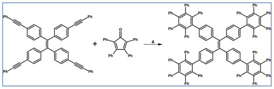
- Vyas, V.S.; Rathore, R. Preparation of a tetraphenylethylene-based emitter: Synthesis, structure and optoelectronic properties of tetrakis(pentaphenylphenyl)ethylene. Chem. Commun. 2010, 46, 1065–1067. [Google Scholar] [CrossRef]
- Liu, D.; Li, Q.; Wang, R. Synthesis and Electroluminescence of Thieno-[3,4-b]-pyrazine-cored Molecule with Fluorinated Shell. Aust. J. Chem. 2013, 66, 594–599. [Google Scholar] [CrossRef]
- Zhu, P.-C.; Liu, Y.; Peng, L.-H.; Zhang, C. Synthesis and structures of Hexa-peri-hexabenzocoronene-based triptycenes. Tetrahedron Lett. 2014, 55, 521–524. [Google Scholar] [CrossRef]
- Mughal, E.U.; Neumann, B.; Stammler, H.-G.; Kuck, D. Tribenzotriquinacenes that Bear Three Peripheral Pentaphenylphenyl Residues: Steric Crowding at a Bowl-Shaped Core. Eur. J. Org. Chem. 2014, 2014, 7469–7480. [Google Scholar] [CrossRef]
- Zhang, C.; Zhu, P.-C.; Tan, L.; Luo, L.-N.; Liu, Y.; Liu, J.-M.; Ding, S.-Y.; Tan, B.; Yang, X.-L.; Xu, H.-B. Synthesis and properties of organic microporous polymers from the monomer of hexaphenylbenzene based triptycene. Polymer 2016, 82, 100–104. [Google Scholar] [CrossRef]
- Sale, A.C.; Murray, A.H.; Prenzel, D.; Hampel, F.; De Luca, L.; Tykwinski, R.R. Diels–Alder Cycloaddition of Tetraphenylcyclopentadienone and 1,3,5-Hexatriynes. Eur. J. Org. Chem. 2016, 2016, 2274–2283. [Google Scholar] [CrossRef]
- Marinelli, D.; Fasano, F.; Najjari, B.; Demitri, N.; Bonifazi, D. Borazino-Doped Polyphenylenes. J. Am. Chem. Soc. 2017, 139, 5503–5519. [Google Scholar] [CrossRef]
- Smith, J.N.; Hook, J.M.; Lucas, N.T. Superphenylphosphines: Nanographene-Based Ligands That Control, Coordination Geometry and Drive Supramolecular Assembly. J. Am. Chem. Soc. 2018, 140, 1131–1141. [Google Scholar] [CrossRef]
- Von Kugelgen, S.; Piskun, I.; Griffin, J.H.; Eckdahl, C.T.; Jarenwattananon, N.N.; Fischer, F.R. Templated Synthesis of End-Functionalized Graphene Nanoribbons through Living Ring-Opening Alkyne Metathesis Polymerization. J. Am. Chem. Soc. 2019, 141, 11050–11058. [Google Scholar] [CrossRef]
- Vyas, V.S.; Lindeman, S.V.; Rathore, R. Photophysical properties of 1,3,6,8-tetraarylpyrenes and their cation radicals. J. Photochem. Photobiol. A 2019, 375, 209–218. [Google Scholar] [CrossRef]
- Urieta-Mora, J.; Krug, M.; Alex, W.; Perles, J.; Fernández, I.; Molina-Ontoria, A.; Guldi, D.M.; Martín, N. Homo and Hetero Molecular 3D Nanographenes Employing a Cyclooctatetraene Scaffold. J. Am. Chem. Soc. 2020, 142, 4162–4172. [Google Scholar] [CrossRef]
- Morgenroth, F.; Reuther, E.; Müllen, K. Polyphenylene Dendrimers: From Three-Dimensional to Two-Dimensional Structures. Angew. Chem. Int. Ed. 1997, 36, 631–634. [Google Scholar] [CrossRef]
- Iyer, V.S.; Wehmeier, M.; Brand, J.D.; Keegstra, M.A.; Müllen, K. From Hexa-peri-hexabenzocoronene to “Superacenes”. Angew. Chem Int. Ed. Engl. 1997, 36, 1604–1607. [Google Scholar] [CrossRef]
- Tobe, Y.; Kubota, K.; Naemura, K. Diels-Alder Reactions of Tetraethynylcyclopentadienones. An Approach to Differentially Substituted Hexaethynylbenzenes of C2v Symmetry. J. Org. Chem. 1997, 62, 3430–3431. [Google Scholar] [CrossRef]
- Gensch, T.; Hofkens, J.; Heirmann, A.; Tsuda, K.; Verheijen, W.; Vosch, T.; Christ, T.; Basché, T.; Müllen, K.; De Schryver, F.C. Fluorescence Detection from Single Dendrimers with Multiple Chromophores. Angew. Chem. Int. Ed. 1999, 38, 3752–3756. [Google Scholar] [CrossRef]
- Cao, X.-Y.; Zi, H.; Zhang, W.; Lu, H.; Pei, J. Star-Shaped and Linear Nanosized Molecules Functionalized with Hexa-peri-hexabenzocoronene: Synthesis and Optical Properties. J. Org. Chem. 2005, 70, 3645–3653. [Google Scholar] [CrossRef] [PubMed]
- Chen, S.; Xu, X.; Liu, Y.; Qiu, W.; Yu, G.; Sun, X.; Zhang, H.; Qi, T.; Lu, K.; Gao, X.; et al. Highly efficient blue electrophosphorescent devices with a new series of host materials: Polyphenylene-dendronized oxadiazole derivatives. J. Mater. Chem. 2007, 17, 3788–3795. [Google Scholar] [CrossRef]
- Barattin, R.; Gourdon, A. Synthesis of Two Complementary Molecular Moulds. Eur. J. Org. Chem. 2009, 2009, 1022–1026. [Google Scholar] [CrossRef]
- Roberts, D.J.; Gregg, D.J.; Fitchett, C.M.; Draper, S.M. Ferrocenyl-polyphenylenes: Toward Metallo-organic Polyaromatics. Organometallics 2010, 29, 6541–6547. [Google Scholar] [CrossRef]
- Hu, R.; Lam, J.W.Y.; Liu, Y.; Zhang, X.; Tang, B.Z. Aggregation-Induced Emission of Tetraphenylethene–Hexaphenylbenzene Adducts: Effects of Twisting Amplitude and Steric Hindrance on Light Emission of Nonplanar Fluorogens. Chem. Eur. J. 2013, 19, 5617–5624. [Google Scholar] [CrossRef]
- Jana, D.; Ghora, B.K. Hexaphenylbenzene end-capped tri(p-phenylenevinylenes): Synthesis and properties. Tetrahedron Lett. 2014, 55, 5203–5206. [Google Scholar] [CrossRef]
- Thompson, C.M.; McCandless, G.T.; Wijenayake, S.N.; Alfarawati, O.; Jahangiri, M.; Kokash, A.; Tran, Z.; Smaldone, R.A. Substituent Effects on the Gas Sorption and Selectivity Properties of Hexaphenylbenzene and Hexabenzocoronene Based Porous Polymers. Macromolecules 2014, 47, 8645–8652. [Google Scholar] [CrossRef]
- Cho, H.; Kim, S.W.; Kim, S.; Lee, S.; Lee, J.; Cho, Y.; Lee, Y.; Lee, T.-W.; Shin, H.-J.; Song, C. Suppressing π-π stacking interactions for enhanced solid-state emission of flat aromatic molecules via edge functionalization with picket-fence-type groups. J. Mater. Chem. C 2020, 8, 17289–17296. [Google Scholar] [CrossRef]
- Doetz, F.; Schwalm, R.; Roesch, J. Synthesis of Phenyl-Substituted Fluoranthenes by A Diesel-Alder Reaction and The Use Thereof. International Patent WO2005033051A1, 14 April 2005. [Google Scholar]
- Nakasugi, S.; Yanagita, H.; Kurosawa, K.; Sekito, T.; Hama, Y.; Matsuura, Y. New Compound, Semiconductor Materials, and a Manufacturing Method of a Semiconductor Film Using the Same. International Patent WO2018/115043A1, 28 June 2018. [Google Scholar]
- Stoessel, P.; Ehrenreich, C.; Harbach, P. Compounds with an Acceptor and a Donor Group. U.S. Patent US2020/0203624A1, 25 June 2020. [Google Scholar]
- Kim, B.; Kim, H.S.; Yu, E.S.; Lee, S.; Jang, Y.; Jang, C.; Jung, S.-H.; Jung, H.-K. Compound for Organic Optoelectronic Device, Organic Optoelectronic Device and Display Apparatus. U.S. Patent US2018/0339967A1, 29 November 2018. [Google Scholar]
- Begue, D.; Hiorns, R.C.; Santos-Silva, H.; Guille, E.; Boussiron, C.; Dagron-Lartigau, C.; Iratcabal, P. Hexabenzocoronene-Based Compound for Organic Photovoltaic Cells. International Patent WO2016/142923A1, 15 September 2016. [Google Scholar]
- Schwab, M.G.S.; Muellen, K.; Feng, X.; Doessel, L. Graphene Nanoribbon Precursors and Monomers Suitable for Preparation Thereof. International Patent WO2013/061258A1, 2 May 2013. [Google Scholar]
- Pauchard, V.O. Synthetic Alkylated Graphenes and Solutions Thereof as Multiphase Flow Test Fluids to be Used by the Oil and Gas Industry. International Patent WO2013/162381A1, 31 October 2013. [Google Scholar]
- Schäfer, T.; Murer, P.; Wendeborn, F.; Schmidhalter, B.; Bardon, K.; Ricci, A.; Pommerehne, J. Heterocyclic Bridged Biphenyls. International Patent WO2008/119666A1, 8 October 2008. [Google Scholar]
- Pavicic, D.; Ganier, J.; Jankus, V.; Kim, H.; Kim, B. Organic Electroluminescent Device Comprising a Redox-Doped Electron Transport Layer and an Auxiliary Electron Transport Layer. U.S. Patent US2018/0114940A1, 26 April 2018. [Google Scholar]
- Holmes, A.; Jones, D.; Wong, W.H.W.; Ma, C.-Q.; Bauerle, P. Novel Compounds, Derivatives Thereof and Their Use in Heterojunction Devices. International Patent WO2010/060160A1, 3 June 2010. [Google Scholar]
- Ishar, M.P.S.; Singh, K.; Kumar, K. Thermal cycloaddition of tetraphenylcyclopentadienone to allenic esters: Investigations on peri-, regio-, and stereo-selectivities. Indian J. Chem. 1998, 378, 742–748. [Google Scholar]
- Beringer, F.M.; Huang, S.J. Rearrangement and Cleavage of 2-Aryliodoniobenzoates. Trapping Agents for Benzyne. J. Org. Chem 1964, 29, 445–448. [Google Scholar] [CrossRef]
- Ogliaruso, M.A.; Romanelli, M.G.; Becker, E.I. Chemistry of cyclopentadienones. Chem. Rev. 1965, 65, 262–366. [Google Scholar] [CrossRef]
- Dignan, J.C.; Miller, J.B. Fused Ring Derivatives of [12]Paracyclophane. J. Org. Chem. 1967, 32, 490–492. [Google Scholar] [CrossRef]
- Brydon, D.L.; Cadogan, J.I.G.; Cook, J.; Harger, M.J.P.; Sharp, J.T. Acylarylnitrosamines. Part IV. Aryne participation in decompositions of N-nitrosoacetanilide and its m- and p-t-butyl-, o-, m-, and p-chloro-derivatives in benzene. J. Chem. Soc. B 1971, 1971, 1996–2006. [Google Scholar] [CrossRef]
- Baigrie, B.; Cadogan, J.I.G.; Mitchell, J.R.; Robertson, A.K.; Sharp, J.T. Simple, Convenient, and Direct Conversion of Anilines and Anilides into Arynes. J. Chem. Soc. Perkin Trans. 1 1972, 2563–2567. [Google Scholar] [CrossRef]
- Rausch, M.D.; Gastinger, R.G. The Reaction of (h5-Cyclopentadienyl)carbonyl(triphenyl-phosphine)iridium and Bis(pentafluorophenyl)acetylene. Z. Naturforsch. 1979, 34b, 700–705. [Google Scholar] [CrossRef]
- Kitamura, T.; Yamane, M. Phenyl)[o-(Trimethylsilyl)phenyl]iodonium Triflate. A New and Efficient Precursor of Benzyne. J. Chem. Soc. Chem. Commun. 1995, 983–984. [Google Scholar] [CrossRef]
- Qiao, X.; Padula, M.A.; Ho, D.M.; Vogelaar, N.J.; Schutt, C.E.; Pascal, R.A. Octaphenylnaphthalene and Decaphenylanthracene. J. Am. Chem. Soc. 1996, 118, 741–745. [Google Scholar] [CrossRef]
- Kitamura, T.; Yamane, M.; Inoue, K.; Todaka, M.; Eukatsu, N.; Meng, Z.; Fujiwara, Y. A New and Efficient Hypervalent Iodine-Benzyne Precursor, (Phenyl)[o-(trimethylsilyl)phenyl]iodonium Triflate: Generation, Trapping Reaction, and Nature of Benzyne. J. Am. Chem. Soc. 1999, 121, 11674–11679. [Google Scholar] [CrossRef]
- Pascal, R.A.; Barnett, L.; Qiao, X.; Ho, D.M. Giant Cyclophanes Built from Polyphenyl Aromatic Substructures. J. Org. Chem. 2000, 65, 7711–7717. [Google Scholar] [CrossRef]
- Mellakpour, S.E. Synthesis of naphthalene and binaphthyl derivatives via arynes intermediates. Indian J. Chem. 2002, 41B, 376–378. [Google Scholar]
- Thiemann, T.; Fujii, H.; Ohira, D.; Arima, K.; Lib, Y.; Matakaa, S. Cycloaddition of thiophene S-oxides to allenes, alkynes and to benzyne. New J. Chem. 2003, 27, 1377–1384. [Google Scholar] [CrossRef]
- Kitamura, T.; Abe, T.; Fujiwara, Y.; Yamaji, T. Improved Solubility of Hypervalent Iodine-Benzyne Precursors: Synthesis and Reaction of (Phenyl)[2-(trimethylsilyl)phenyl]iodonium Salts Bearing Long Alkyl Chains. Synthesis 2003, 2, 213–216. [Google Scholar] [CrossRef]
- Yoshida, S.; Uchida, K.; Hosoya, T. Generation of Arynes Triggered by Sulfoxide Metal Exchange Reaction of ortho-Sulfinylaryl Triflates. Chem. Lett. 2014, 43, 116–118. [Google Scholar] [CrossRef]
- Nishiyama, Y.; Kamada, S.; Yoshida, S.; Hosoya, T. Generation of Arynes by Selective Cleavage of a Carbon–Phosphorus Bond of o-(Diarylphosphinyl)aryl Triflates Using a Grignard Reagent. Chem. Lett. 2018, 47, 1216–1219. [Google Scholar] [CrossRef]
- Li, L.; Li, Y.; Fu, N.; Zhang, L.; Luo, S. Catalytic Asymmetric Electrochemical α-Arylation of Cyclic beta-Ketocarbonyls with Anodic Benzyne Intermediates. Angew. Chem. Int. Ed. 2020, 59, 14347–14351. [Google Scholar] [CrossRef]
- Ahmed, S.A.; Bardshiri, E.; Simpson, T.J. Synthesis of substituted benzenoids and biphenyls via Diels-Alder cycloaddition of 6-methoxy-2-pyranons. Tetrahedron Lett. 1988, 29, 1595–1596. [Google Scholar] [CrossRef]
- Kuninobu, Y.; Takata, H.; Kawata, A.; Takai, K. Rhenium-Catalyzed Synthesis of Multisubstituted Aromatic Compounds via C-C Single-Bond Cleavage. Org. Lett. 2008, 10, 3133–3135. [Google Scholar] [CrossRef] [PubMed]
- Kuninobu, Y.; Nishi, M.; Kawata, A.; Takata, H.; Hanatani, Y.; Salprima, Y.S.; Iwai, A.; Takai, K. Rhenium- and Manganese-Catalyzed Synthesis of Aromatic Compounds from 1,3-Dicarbonyl Compounds and Alkynes. J. Org. Chem. 2010, 75, 334–341. [Google Scholar] [CrossRef] [PubMed]
- Kim, E.S.; Kim, K.H.; Kim, S.H.; Kim, J.N. Expedient synthesis of highly substituted a-pyrones from Baylis–Hillman adducts and their conversion to poly-substituted aromatics. Tetrahedron Lett. 2009, 50, 5098–5101. [Google Scholar] [CrossRef]
- Yeh, P.-P.; Daniels, D.S.B.; Cordes, D.B.; Slawin, A.M.Z.; Smith, A.D. Isothiourea-Mediated One-Pot Synthesis of Trifluoromethyl Substituted 2-Pyrones. Org. Lett. 2014, 16, 964–967. [Google Scholar] [CrossRef]
- Kula, S.; Szłapa, A.; Małecki, J.G.; Maroń, A.; Matussek, M.; Schab-Balcerzak, E.; Siwy, M.; Domański, M.; Sojka, M.; Danikiewicz, W.; et al. Synthesis and photophysical properties of novel multisubstituted benzene and naphthalene derivatives with high 2D-p-conjugation. Optical. Mater. 2015, 47, 118–128. [Google Scholar] [CrossRef]
- Duret, G.; Le Fouler, V.; Bisseret, P.; Bizet, V.; Blanchard, N. Diels–Alder and Formal Diels–Alder Cycloaddition Reactions of Ynamines and Ynamides. Eur. J. Org. Chem. 2017, 46, 6816–6830. [Google Scholar] [CrossRef]
- Kong, X.; Zhang, G.; Yang, S.; Liu, X.; Fang, X. N-Heterocyclic Carbene-Catalyzed Umpolung of Alkynyl 1,2-Diketones. Adv. Synth. Catal. 2017, 359, 2729–2734. [Google Scholar] [CrossRef]
- Zhang, X.; Beaudry, C.M. Synthesis of Highly Substituted Phenols and Benzenes with Complete Regiochemical Control. Org. Lett. 2020, 22, 6086–6090. [Google Scholar] [CrossRef]
- Kula, S.; Szlapa-Kula, A.; Krompiec, S.; Schab-Balcerzak, E.; Chrobok, A.; Gancarz, P.; Filapek, M. New possibilities of 2-pyranone derivatives—Thermal, optical and electrochemical properties. Mater. Sci. Eng. B Solid State Mater. Adv. Technol. 2021, 263, 114820. [Google Scholar] [CrossRef]
- Ishibe, N.; Sunami, M.; Odani, M. Photoisomerization of 4H-Pyran-4-ones to 2H-Pyran-2-ones. J. Am. Chem. Soc. 1973, 95, 463–468. [Google Scholar] [CrossRef]
- Christl, M. Cycloadditions of 1,3,4-oxadiazin-6-ones. Gazz. Chim. Ital. 1986, 116, 1–18. [Google Scholar]
- Huang, J.; Li, L.; Chen, H.; Xiao, T.; He, Y.; Zhou, L. Synthesis of 3-Aryl-2-pyrones by Palladium-Catalyzed Cross-Coupling of Aryl Iodides with Cyclic Vinyldiazo Ester. J. Org. Chem. 2017, 82, 9204–9209. [Google Scholar] [CrossRef] [PubMed]
- Szłapa-Kula, A.; Kula, S.; Filapek, M.; Fabiańczyk, A.; Bujak, K.; Siwy, M.; Kotowicz, S.; Janeczek, H.; Smolarek, K.; Maćkowski, S.; et al. Synthesis, electrochemistry and optical properties with electroluminescence ability of new multisubstituted naphthalene derivatives with thiophene and carbazole motif. J. Luminesc. 2018, 196, 244–255. [Google Scholar] [CrossRef]
- Cai, Q. The [4+2] Cycloaddition of 2-Pyrone in Total Synthesis. Chin. J. Chem. 2019, 37, 946–976. [Google Scholar] [CrossRef]
- Meguro, T.; Chen, S.; Kanemoto, K.; Yoshida, S.; Hosoya, T. Modular Synthesis of Unsymmetrical Doubly-Ring-Fused Benzene Derivatives Based on a Sequential Ring Construction Strategy Using Oxadiazinones as a Platform Molecule. Chem. Lett. 2019, 48, 582–585. [Google Scholar] [CrossRef]
- Shi, J.; Li, L.; Li, Y. o-Silylaryl Triflates: A Journey of Kobayashi Aryne Precursors. Chem. Rev. 2021, 121, 3892–4044. [Google Scholar] [CrossRef]
- Nakayama, J.; Yamaoka, S.; Nakanishi, T.; Hoshino, M. 3,4-Di-tert-butylthiophene 1,1-Dioxide, a Convenient Precursor of o-Di-tert-butylbenzene and Its Derivatives. J. Am. Chem. Soc. 1988, 110, 6598–6599. [Google Scholar] [CrossRef]
- Nakayama, J.; Hasemi, R.; Yoshimura, K.; Sugihara, Y.; Yamaoka, S. Preparation of Congested Thiophenes Carrying Bulky Substituents on the 3- and 4-Positions and Their Conversion to the Benzene Derivatives. J. Org. Chem. 1998, 63, 4912–4924. [Google Scholar] [CrossRef]
- Nierle, J.; Kuck, D. Synthesis of a Benzoannelated Spheriphane (Globular Cyclophane) on the Way to Potential Precursors of C60-Fullerene. Synlett 2006, 18, 2914–2920. [Google Scholar]
- Lemal, D.M. Cycloaddition Chemistry of Tetrafluorothiophene S,S-Dioxide. J. Org. Chem. 2016, 81, 4931–4938. [Google Scholar] [CrossRef]
- Xiao, Y.; Mague, J.T.; Donahue, J.P.; Wilson, L.J.; Kraml, M.; Pascal, R.A., Jr. Synthesis and Structures of Polyphenylphenanthrenes. Chem. Eur. J. 2020, 26, 8458–8464. [Google Scholar] [CrossRef]
- Suh, S.-E.; Barros, S.A.; Chenoweth, D.M. Triple Aryne-Tetrazine Reaction Enabling Rapid Access to a New Class of Polyaromatic Heterocycles. Chem. Sci. 2015, 6, 5128–5132. [Google Scholar] [CrossRef] [PubMed]
- Suh, S.-E.; Chen, S.; Houk, K.N.; Chenoweth, D.M. The Mechanism of the Triple Aryne-Tetrazine Reaction Cascade: Theory and Experiment. Chem. Sci. 2018, 9, 7688–7693. [Google Scholar] [CrossRef] [PubMed]
- Fernández-García, J.M.; Evans, P.J.; Rivero, S.M.; Fernández, I.; García-Fresnadillo, D.; Perles, J.; Casado, J.; Martín, N. π-Extended Corannulene-Based Nanographenes: Selective Formation of Negative Curvature. J. Am. Chem. Soc. 2018, 140, 17188–17196. [Google Scholar] [CrossRef] [PubMed]






















































































































































































































































































Publisher’s Note: MDPI stays neutral with regard to jurisdictional claims in published maps and institutional affiliations. |
© 2021 by the authors. Licensee MDPI, Basel, Switzerland. This article is an open access article distributed under the terms and conditions of the Creative Commons Attribution (CC BY) license (https://creativecommons.org/licenses/by/4.0/).
Share and Cite
Krompiec, S.; Kurpanik-Wójcik, A.; Matussek, M.; Gołek, B.; Mieszczanin, A.; Fijołek, A. Diels–Alder Cycloaddition with CO, CO2, SO2, or N2 Extrusion: A Powerful Tool for Material Chemistry. Materials 2022, 15, 172. https://doi.org/10.3390/ma15010172
Krompiec S, Kurpanik-Wójcik A, Matussek M, Gołek B, Mieszczanin A, Fijołek A. Diels–Alder Cycloaddition with CO, CO2, SO2, or N2 Extrusion: A Powerful Tool for Material Chemistry. Materials. 2022; 15(1):172. https://doi.org/10.3390/ma15010172
Chicago/Turabian StyleKrompiec, Stanisław, Aneta Kurpanik-Wójcik, Marek Matussek, Bogumiła Gołek, Angelika Mieszczanin, and Aleksandra Fijołek. 2022. "Diels–Alder Cycloaddition with CO, CO2, SO2, or N2 Extrusion: A Powerful Tool for Material Chemistry" Materials 15, no. 1: 172. https://doi.org/10.3390/ma15010172
APA StyleKrompiec, S., Kurpanik-Wójcik, A., Matussek, M., Gołek, B., Mieszczanin, A., & Fijołek, A. (2022). Diels–Alder Cycloaddition with CO, CO2, SO2, or N2 Extrusion: A Powerful Tool for Material Chemistry. Materials, 15(1), 172. https://doi.org/10.3390/ma15010172

